Citation: Wu Si-Xue, Zhang Yi-Kun, Shi Hong-Wei, Yan Jie. Iodine-catalyzed N-sulfonylation of benzotriazoles with sodium sulfinates under mild conditions[J]. Chinese Chemical Letters, ;2016, 27(9): 1519-1522. doi: 10.1016/j.cclet.2016.03.024 shu

Iodine-catalyzed N-sulfonylation of benzotriazoles with sodium sulfinates under mild conditions

  • Corresponding author: Yan Jie, jieyan87@zjut.edu.cn
  • Received Date: 27 January 2016
    Revised Date: 2 March 2016
    Accepted Date: 7 March 2016
    Available Online: 24 September 2016

Figures(2)

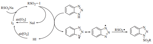
  • A new and convenient procedure is developed for the preparation of N-sulfonylbenzotriazoles from sodium sulfinates and benzotriazoles using molecular iodine as catalyst via the S-N bond formation reaction. This catalytic radical sulfonylation proceeds efficiently in air at room temperature under neutral conditions, and in short reaction time, to afford the corresponding N-sulfonylbenzotriazoles in good yields, thus extending the catalytic application of molecular iodine in organic synthesis.
  • 加载中
    1. [1]

      Finkbeiner P., Nachtsheim B.J.. Iodine in modern oxidation catalysis[J]. Synthesis, 2013,45:979-999. doi: 10.1055/s-00000084

    2. [2]

      Zhao J., Li P., Xia C.. Direct N-acylation of azoles via a metal-free catalyzed oxidative cross-coupling strategy[J]. Chem. Commun., 2014,50:4751-4754. doi: 10.1039/c4cc01587h

    3. [3]

      Guo S., Yu J.T., Dai Q.. The Bu4NI-catalyzed alfa-acyloxylation of ketones with benzylic alcohols[J]. Chem. Commun., 2014,50:6240-6242. doi: 10.1039/c4cc01652a

    4. [4]

      Wu X.F., Gong J.L., Qi X.. A powerful combination:recent achievements on using TBAI and TBHP as oxidation system[J]. Org. Biomol. Chem., 2014,12:5807-5817. doi: 10.1039/C4OB00276H

    5. [5]

      Jia Z., Nagano T., Li X.. Iodide-ion-catalyzed carbon-carbon bond-forming cross-dehydrogenative coupling for the synthesis of indole derivatives[J]. Eur. J. Org. Chem., 2013:858-861.  

    6. [6]

      Zeng L.Y., Yi W.B., Cai C.. Three-component domino synthesis of 2-arylquinazoline-4-amines in one pot by activating an sp3 C-H bond in a nonmetal catalytic oxidation system[J]. Eur. J. Org. Chem., 2012:559-566.  

    7. [7]

      Froehr T., Sindlinger C.P., Kloeckner U.. A metal-free amination of benzoxazoles-the first example of an iodide-catalyzed oxidative amination of heteroarenes[J]. Org. Lett., 2011,13:3754-3757. doi: 10.1021/ol201439t

    8. [8]

      Lamani M., Prabhu K.R.. Iodine-catalyzed amination of benzoxazoles:a metal-free route to 2-aminobenzoxazoles under mild conditions[J]. J. Org. Chem., 2011,76:7938-7944. doi: 10.1021/jo201402a

    9. [9]

      Reddy K.R., Maheswari C.U., Venkateshwar M.. Oxidative amidation of aldehydes and alcohols with primary amines catalyzed by KI-TBHP[J]. Eur. J. Org. Chem., 2008:3619-3622.  

    10. [10]

      Liotta D.. New organoselenium methodology[J]. Acc. Chem. Res., 1984,17:28-34. doi: 10.1021/ar00097a005

    11. [11]

      Tang S., Wu Y., Liao W.. Revealing the metal-like behavior of iodine:an iodide-catalysed radical oxidative alkenylation[J]. Chem. Commun., 2014,50:4496-4499. doi: 10.1039/c4cc00644e

    12. [12]

      Lin Y.M., Lu G.P., Cai C.. Odorless, one-pot regio-and stereoselective iodothiolation of alkynes with sodium arenesulfinates under metal-free conditions in water[J]. Org. Lett., 2015,17:3310-3313. doi: 10.1021/acs.orglett.5b01488

    13. [13]

      Kariya A., Yamaguchi T., Nobuta T.. Molecular-iodine-catalyzed aerobic oxidative synthesis of β-hydroxy sulfones from alkenes[J]. RSC Adv., 2014,4:13191-13194. doi: 10.1039/c3ra47863g

    14. [14]

      Katrun P., Hongthong S., Hlekhlai S.. Iodine-PPh3-mediated C3-sulfenylation of indoles with sodium sulfinates[J]. RSC Adv., 2014,4:18933-18938. doi: 10.1039/c4ra02607a

    15. [15]

      Gao W.C., Zhao J.J., Hu F.. I2-mediated sulfonylation and Na2SO3-mediated deacylation:a general protocol for the synthesis of β-keto sulfones and bdicarbonyl sulfones[J]. RSC Adv., 2015,5:25222-25228. doi: 10.1039/C5RA03826J

    16. [16]

      Katrun P., Mueangkaew C., Pohmakotr M.. Regioselective C2 sulfonylation of indoles mediated by molecular iodine[J]. J. Org. Chem., 2014,79:1778-1785. doi: 10.1021/jo402831k

    17. [17]

      Xiao F.H., Chen H., Xie H.. Iodine-catalyzed regioselective 2-sulfonylation of indoles with sodium sulfinates[J]. Org. Lett., 2014,16:50-53. doi: 10.1021/ol402987u

    18. [18]

      Xiao F.H., Xie H., W. S.. Iodine-catalyzed regioselective sulfenylation of indoles with sodium sulfinates[J]. Adv. Synth. Catal., 2014,356:364-368. doi: 10.1002/adsc.201300773

    19. [19]

      Yang K., Ke M., Lin Y.G.. Sulfonamide formation from sodium sulfinates and amines or ammonia under metal-free conditions at ambient temperature[J]. Green Chem., 2015,17:1395-1399. doi: 10.1039/C4GC02236J

    20. [20]

      Pan X.J., Gao J., Liu J.. Synthesis of sulfonamides via I2-mediated reaction of sodium sulfinates with amines in an aqueous medium at room temperature[J]. Green Chem., 2015,17:1400-1403. doi: 10.1039/C4GC02115K

    21. [21]

      Wei W., Liu C.L., Yang D.S.. Metal-free direct construction of sulfonamides via iodine-mediated coupling reaction of sodium sulfinates and amines at room temperature[J]. Adv. Synth. Catal., 2015,357:987-992. doi: 10.1002/adsc.v357.5

    22. [22]

      Chonchanok B., Danupat B., Sirilata Y.. Iodine-catalyzed oxidative amination of sodium sulfinates:a convenient approach to the synthesis of sulfonamides under mild conditions[J]. Eur. J. Org. Chem., 2015:1575-1582.  

    23. [23]

      Katritzky A.R., Zhang G., Wu J.. 1-Phenylsulfonylbenzotriazole:a novel and convenient reagent for the preparation of benzenesulfonamides and aryl benzenesulfonates[J]. Synth. Commun., 1999,24:205-216.  

    24. [24]

      Katritzky A.R., He H.Y., Suzuki K.. N-Acylbenzotriazoles:neutral acylating reagents for the preparation of primary, secondary, and tertiary amides[J]. J. Org. Chem., 2000,65:8210-8213. doi: 10.1021/jo000792f

    25. [25]

      Katritzky A.R., Shobana N., Pernak J.. Sulfonyl derivatives of benzotriazole:Part 1. A novel approach to the activation of carboxylic acids[J]. Tetrahedron, 1992,48:7817-7822. doi: 10.1016/S0040-4020(01)80459-2

    26. [26]

      Katritzky A.R., Abdel-Fattah A.A.A., Vakulenko A.V.. N-Sulfonylbenzotriazoles as advantageous reagents for C-sulfonylation[J]. J. Org. Chem., 2005,70:9191-9197. doi: 10.1021/jo051157i

    27. [27]

      Hergert L.Y., Nieto M.J., Becerra M.C.. Synthesis of N-benzenesulfonylbenzotriazole derivatives, and evaluation of their antimicrobial activity[J]. Lett. Drug Des. Discov., 2008,5:313-318. doi: 10.2174/157018008784912108

    28. [28]

      Soundararajan R., R. T.. Balasubramanian, Novel synthesis of potential biocides[J]. Chem. Ind. (Lond.), 1985,392.  

    29. [29]

      Neikova N., Simov D., Karparov A.. 1-(Benzenesulfonyl)benzotriazoles and intermediate products with antiviral activity, Farmatsiya (Sofia[J]. Bulgaria), 1981,31:48-53.

    30. [30]

      Purygin P.P., Ivanov I.P., Laletina Z.P.. Synthesis and biological activity of N, N'-sulfuryldibenzotriazole[J]. Khim. Farm. Zh., 1983,17:792-793.

    31. [31]

      Katritzky A.R., Rodriguez-Garcia V., Nair S.K.. A general and efficient synthesis of sulfonylbenzotriazoles from N-chlorobenzotriazole and sulfinic acid salts[J]. J. Org. Chem., 2004,69:1849-1852. doi: 10.1021/jo035515y

    32. [32]

      Truce W.E., Wolf G.C.. Adducts ofsulfonyl iodides with acetylenes[J]. J. Org. Chem., 1971,36:1727-1732. doi: 10.1021/jo00812a001

    33. [33]

      Correa C.M.M.D.S., Waters W.A.. Reactions of the free toluene-p-sulphonyl radical. Part I. Diagnostic reactions of free radicals[J]. J. Chem. Soc. C, 1968:1874-1879.  

  • 加载中
    1. [1]

      Fangling Cui Zongjie Hu Jiayu Huang Xiaoju Li Ruihu Wang . MXene-based materials for separator modification of lithium-sulfur batteries. Chinese Journal of Structural Chemistry, 2024, 43(7): 100337-100337. doi: 10.1016/j.cjsc.2024.100337

    2. [2]

      Manqi Zhao Heting Hou Dehua He Huimin Liu Shaoyuan Sun Dezheng Li Chao Wang Yiming Lei . Vanadium-based catalysts for propane direct dehydrogenation to propylene: Modification strategies and research direction. Chinese Journal of Structural Chemistry, 2025, 44(11): 100709-100709. doi: 10.1016/j.cjsc.2025.100709

    3. [3]

      Shuai LiLiuting ZhangFuying WuYiqun JiangXuebin Yu . Efficient catalysis of FeNiCu-based multi-site alloys on magnesium-hydride for solid-state hydrogen storage. Chinese Chemical Letters, 2025, 36(1): 109566-. doi: 10.1016/j.cclet.2024.109566

    4. [4]

      Jinge ZhuAiling TangLeyi TangPeiqing CongChao LiQing GuoZongtao WangXiaoru XuJiang WuErjun Zhou . Chlorination of benzyl group on the terminal unit of A2-A1-D-A1-A2 type nonfullerene acceptor for high-voltage organic solar cells. Chinese Chemical Letters, 2025, 36(1): 110233-. doi: 10.1016/j.cclet.2024.110233

    5. [5]

      Xiao-Hong YiChong-Chen Wang . Metal-organic frameworks on 3D interconnected macroporous sponge foams for large-scale water decontamination: A mini review. Chinese Chemical Letters, 2024, 35(5): 109094-. doi: 10.1016/j.cclet.2023.109094

    6. [6]

      Haodong WangXiaoxu LaiChi ChenPei ShiHouzhao WanHao WangXingguang ChenDan Sun . Novel 2D bifunctional layered rare-earth hydroxides@GO catalyst as a functional interlayer for improved liquid-solid conversion of polysulfides in lithium-sulfur batteries. Chinese Chemical Letters, 2024, 35(5): 108473-. doi: 10.1016/j.cclet.2023.108473

    7. [7]

      Longlong GengHuiling LiuWenfeng ZhouYong-Zheng ZhangHongliang HuangDa-Shuai ZhangHui HuChao LvXiuling ZhangSuijun Liu . Construction of metal-organic frameworks with unsaturated Cu sites for efficient and fast reduction of nitroaromatics: A combined experimental and theoretical study. Chinese Chemical Letters, 2024, 35(8): 109120-. doi: 10.1016/j.cclet.2023.109120

    8. [8]

      Manoj Kumar SarangiL․D PatelGoutam RathSitansu Sekhar NandaDong Kee Yi . Metal organic framework modulated nanozymes tailored with their biomedical approaches. Chinese Chemical Letters, 2024, 35(11): 109381-. doi: 10.1016/j.cclet.2023.109381

    9. [9]

      Mengxiang ZhuTao DingYunzhang LiYuanjie PengRuiping LiuQuan ZouLeilei YangShenglei SunPin ZhouGuosheng ShiDongting Yue . Graphene controlled solid-state growth of oxygen vacancies riched V2O5 catalyst to highly activate Fenton-like reaction. Chinese Chemical Letters, 2024, 35(12): 109833-. doi: 10.1016/j.cclet.2024.109833

    10. [10]

      Fengxing LiangYongzheng ZhuNannan WangMeiping ZhuHuibing HeYanqiu ZhuPeikang ShenJinliang Zhu . Recent advances in copper-based materials for robust lithium polysulfides adsorption and catalytic conversion. Chinese Chemical Letters, 2024, 35(11): 109461-. doi: 10.1016/j.cclet.2023.109461

    11. [11]

      Haijiang GongQingtan ZengShili GaiYaqian DuJing ZhangQingyu WangHe DingLichun WuAnees Ahmad AnsariPiaoping Yang . Enzyme-based colorimetric signal amplification strategy in lateral flow immunoassay. Chinese Chemical Letters, 2025, 36(5): 110059-. doi: 10.1016/j.cclet.2024.110059

    12. [12]

      Li-Min CuiWei-Hui FangJian Zhang . Polyoxometalates containing aluminum atoms. Chinese Chemical Letters, 2025, 36(10): 110386-. doi: 10.1016/j.cclet.2024.110386

    13. [13]

      Giulia BrufaniEdoardo BazzicaYanlong GuFrancesco MaurielloLuigi Vaccaro . Csp2–H functionalization as an efficient catalytic route to carbazoles. Chinese Chemical Letters, 2026, 37(1): 111545-. doi: 10.1016/j.cclet.2025.111545

    14. [14]

      Jingying WangJianhui ZhaoShaopo WangJingjie YuNing Li . Single-atom catalysts for CO2-to-methanol conversion: A critical review. Chinese Chemical Letters, 2026, 37(2): 111859-. doi: 10.1016/j.cclet.2025.111859

    15. [15]

      Xiang LiBeibei ZhangZhixiang WangXiangyu Chen . Organocatalyzed iodine-mediated reversible-deactivation radical polymerization via photoinduced charge transfer complex catalysis. Chinese Chemical Letters, 2025, 36(6): 110383-. doi: 10.1016/j.cclet.2024.110383

    16. [16]

      Jinchen LiTangxin XiaoKai DiaoZhouyu WangLeyong Wang . Supramolecular catalysis enabled by chiral molecular cages with anion-π interaction capability. Chinese Chemical Letters, 2026, 37(1): 111796-. doi: 10.1016/j.cclet.2025.111796

    17. [17]

      Xiaogang Liu Mengyu Chen Yanyan Li Xiantao Ma . Experimental Reform in Applied Chemistry for Cultivating Innovative Competence: A Case Study of Catalytic Hydrogen Production from Liquid Formaldehyde Reforming at Room Temperature. University Chemistry, 2025, 40(7): 300-307. doi: 10.12461/PKU.DXHX202408007

    18. [18]

      Ran YuChen HuRuili GuoRuonan LiuLixing XiaCenyu YangJianglan Shui . Catalytic Effect of H3PW12O40 on Hydrogen Storage of MgH2. Acta Physico-Chimica Sinica, 2025, 41(1): 100001-0. doi: 10.3866/PKU.WHXB202308032

    19. [19]

      Shiyan Cheng Yonghong Ruan Lei Gong Yumei Lin . Research Advances in Friedel-Crafts Alkylation Reaction. University Chemistry, 2024, 39(10): 408-415. doi: 10.12461/PKU.DXHX202403024

    20. [20]

      Conghui WangLei XuZhenhua JiaTeck-Peng Loh . Recent applications of macrocycles in supramolecular catalysis. Chinese Chemical Letters, 2024, 35(4): 109075-. doi: 10.1016/j.cclet.2023.109075

Metrics
  • PDF Downloads(4)
  • Abstract views(1458)
  • HTML views(30)

通讯作者: 陈斌, bchen63@163.com
  • 1. 

    沈阳化工大学材料科学与工程学院 沈阳 110142

  1. 本站搜索
  2. 百度学术搜索
  3. 万方数据库搜索
  4. CNKI搜索
Address:Zhongguancun North First Street 2,100190 Beijing, PR China Tel: +86-010-82449177-888
Powered By info@rhhz.net

/

DownLoad:  Full-Size Img  PowerPoint
Return