Citation: Mubarak H. Shaikh, Dnyaneshwar D. Subhedar, Vijay M. Khedkar, Prakash C. Jha, Firoz A. Kalam Khan, Jaiprakash N. Sangshetti, Bapurao B. Shingate. 1, 2, 3-Triazole tethered acetophenones: Synthesis, bioevaluation and molecular docking study[J]. Chinese Chemical Letters, ;2016, 27(7): 1058-1063. doi: 10.1016/j.cclet.2016.03.014 shu

1, 2, 3-Triazole tethered acetophenones: Synthesis, bioevaluation and molecular docking study

  • Corresponding author: Bapurao B. Shingate, bapushingate@gmail.com
  • Received Date: 29 November 2015
    Revised Date: 19 February 2016
    Accepted Date: 7 March 2016
    Available Online: 17 July 2016

Figures(3)

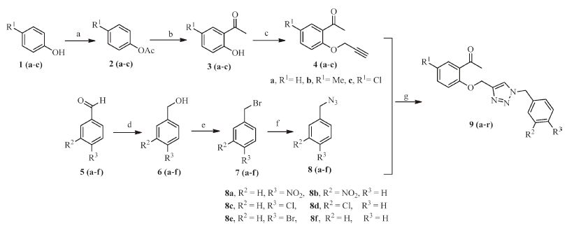
  • A small focused library of eighteen new 1, 2, 3-triazole tethered acetophenones has been efficiently prepared via click chemistry approach and evaluated for their antifungal and antioxidant activity. The antifungal activity was evaluated against five human pathogenic fungal strains: Candida albicans, Fusarium oxysporum, Aspergillus flavus, Aspergillus niger, and Cryptococcus neoformans. Among the synthesized compounds, 9c, 9i, and 9p found to be more potent antifungal agents that the reference standard. These 1, 2, 3-triazole based derivatives were also evaluated for antioxidant activity, and compound 9h was found to be the most potent antioxidant as compared to the standard drug. Furthermore, molecular docking study of the newly synthesized compounds was performed and results showed good binding mode in the active site of fungal C. albicans enzyme P450 cytochrome lanosterol 14a-demethylase. Moreover, the synthesized compounds were also analyzed for ADME properties and showed potential as good oral drug candidates.
  • 加载中
    1. [1]

      D.J. Sheehan, C.A. Hitchcock, C.M. Sibley. Current and emerging azole antifungal agents[J]. Clin. Microbiol. Rev., 1999,12:40-79.  

    2. [2]

      R. Cha, J.D. Sobel. Fluconazole for the treatment of candidiasis:, 15 years experience[J]. Expert Rev. Anti Infect. Ther., 2004,2:357-366. doi: 10.1586/14787210.2.3.357

    3. [3]

      N.H. Georgopapadakou, T.J. Walsh. Antifungal agents: chemotherapeutic targets and immunologic strategies[J]. Antimicrob. Agents Chemother., 1996,40:279-291.  

    4. [4]

      (a) M.A. Pfaller, S.A. Messer, R.J. Hollis, et al., In vitro activities of posaconazole (Sch 56592) compared with those of itraconazole and fluconazole against 3685 clinical isolates of Candida spp. and Cryptococcus neoformans, Antimicrob. Agents Chemother. 45 (2001) 2862-2864; (b) L. Jeu, F.J. Piacenti, A.G. Lyakhovetskiy, et al., Voriconazole, Clin. Ther. 25 (2003) 1321-1381; (c) G.I. Lepesheva, N.G. Zaitseva, W.D. Nes, et al., CYP51 from trypanosoma cruzi: a phyla-specific residue in the B0 helix defines substrate preferences of sterol 14ademethylase, J. Biol. Chem. 281 (2006) 3577-3585.

    5. [5]

      (a) V.D. Bock, H. Hiemstra, J.H. van Maarseveen, Cu(I)-catalyzed alkyne-azide click cycloadditions from a mechanistic and synthetic perspective, Eur. J. Org. Chem. 2006 (2006) 51-68; (b) J.E. Moses, A.D. Moorhouse, The growing applications of click chemistry, Chem. Soc. Rev. 36 (2007) 1249-1262; (c) M. Meldal, C.W. Tornoe, Cu-catalyzed azide-alkyne cycloaddition, Chem. Rev. 108 (2008) 2952-3015; (d) J.E. Hein, V.V. Fokin, Copper-catalyzed azide-alkyne cycloaddition (CuAAC) and beyond: new reactivity of copper(I) acetylides, Chem. Soc. Rev. 39 (2010) 1302-1315.

    6. [6]

      W.H. Binder, C. Kluger. Azide/alkyne click reactions: applications in material science and organic synthesis[J]. Curr. Org. Chem., 2006,10:1791-1815. doi: 10.2174/138527206778249838

    7. [7]

      R.G. Lima-Neto, N.N.M. Cavalcante, R.M. Srivastava, et al., Synthesis of 1, 2, 3-triazole derivatives and in vitro antifungal evaluation on candida strains, Molecules 17 (2012) 5882-5892.

    8. [8]

      N. Boechat, V.F. Ferreira, S.B. Ferreira, et al., Novel 1, 2, 3-triazole derivatives for use against Mycobacterium tuberculosis H37Rv (ATCC 27294) strain, J. Med. Chem. 54 (2011) 5988-5999.

    9. [9]

      S.G. Agalave, R.S. Maujan, V.S. Pore. Click chemistry:, 1, 2, 3-triazoles as pharmacophores[J]. Chem. Asian J., 2011,6:2696-2718. doi: 10.1002/asia.v6.10

    10. [10]

      M.R. Senger, L.C.A. Gomes, S.B. Ferreira. Kinetics studies on the inhibition mechanism of pancreatic α-amylase by glycoconjugated, 1H-1, 2, 3-triazoles: a new class of inhibitors with hypoglycemiant activity[J]. Chem. Biol. Chem., 2012,13:1584-1593. doi: 10.1002/cbic.v13.11

    11. [11]

      M.J. Genin, D.A. Allwine, D.J. Anderson. Substituent effects on the antibacterial activity of nitrogen-carbon-linked (azolylphenyl)oxazolidinones with expanded activity against the fastidious gram-negative organisms haemophilus influenzae and moraxella catarrhalis[J]. J. Med. Chem., 2000,43:953-970. doi: 10.1021/jm990373e

    12. [12]

      R.J. Bochis, J.C. Chabala, E. Harris, et al., Benzylated 1, 2, 3-triazoles as anticoccidiostats, J. Med. Chem. 34 (1991) 2843-2852.

    13. [13]

      J.L. Kelley, C.S. Koble, R.G. Davis, et al., 1-(Fluorobenzyl)-4-amino-1H-1, 2, 3-triazolo[ 4, 5-c]pyridines: synthesis and anticonvulsant activity, J. Med. Chem. 38 (1995) 4131-4134.

    14. [14]

      R. Raj, P. Singh, P. Singh. Azide-alkyne cycloaddition en route to, 1H-1, 2, 3-triazole-tethered 7-chloroquinoline-isatin chimeras: synthesis and antimalarial evaluation[J]. Eur. J. Med. Chem., 2013,62:590-596. doi: 10.1016/j.ejmech.2013.01.032

    15. [15]

      A.K. Jordao, P.P. Afonso, V.F. Ferreira. Antiviral evaluation of N-amino-1, , 2, 3-triazoles against cantagalo virus replication in cell culture[J]. Eur. J. Med. Chem., 2009,44:3777-3783. doi: 10.1016/j.ejmech.2009.04.046

    16. [16]

      B.L. Wilkinson, H. Long, E. Sim. Synthesis of arabino glycosyl triazoles as potential inhibitors of mycobacterial cell wall biosynthesis[J]. Bioorg. Med. Chem. Lett., 2008,18:6265-6267. doi: 10.1016/j.bmcl.2008.09.082

    17. [17]

      M. Kume, T. Kubota, Y. Kimura, et al., Orally active cephalosporins II. Synthesis and structure activity relationships of new 7-β-[(Z)-2-(2-aminothiazol-4-yl)-2-hydroxyiminoacetamido]-cephalosporins with 1, 2, 3-triazole in C-3 side chain, J. Antibiot. 46 (1993) 177-192.

    18. [18]

      P. Liu, X. Xu, L. Chen. Discovery and SAR study of hydroxyacetophenone derivatives as potent, non-steroidal farnesoid X receptor (FXR) antagonists[J]. Bioorg. Med. Chem., 2014,22:1596-1607. doi: 10.1016/j.bmc.2014.01.032

    19. [19]

      R. Ballini, L. Barboni, D. Fiorini. One pot synthesis of, 3, 5-alkylated acetophenone and methyl benzoate derivatives via an anionic domino process[J]. Chem. Commun., 2005,36:2633-2634.

    20. [20]

      A. Bali, K. Sharma, A. Bhalla, S. Bala, et al., Synthesis, evaluation and computational studies on a series of acetophenone based 1-(aryloxypropyl)-4-(chloroaryl) piperazines as potential atypical antipsychotics, Eur. J.Med. Chem.45 (2010) 2656-2662.

    21. [21]

      (a) S. Katade, U. Phalgune, S. Biswas, et al., Microwave studies on synthesis of biologically active chalcone derivatives, Indian J. Chem., Sect. B 47 (2008) 927-931; (b) V. Kotra, S. Ganapaty, R.S. Adapa, Synthesis of a new series of quinolinyl chalcones as anticancer and anti-inflammatory agents, Indian J. Chem., Sect. B 49 (2010) 1109-1116.

    22. [22]

      N.A. Jinzeel, Synthesis, characterization and evaluation the biological activity of new heterocycle compounds derived from 4-Aminoacetophenone, Chem. Mater. Res. 7 (2015) 48-52.

    23. [23]

      (a) M.H. Shaikh, D.D. Subhedar, L. Nawale, et al., 1, 2, 3-Triazole derivatives as antitubercular agents; synthesis, biological evaluation and molecular docking study, Med. Chem. Commun. 6 (2015) 1104-1116; (b) M.H. Shaikh, D.D. Subhedar, M. Arkile, et al., Synthesis and bioactivity of novel triazole incorporated benzothiazinone derivatives as antitubercular and antioxidant agent, Bioorg. Med. Chem. Lett. 26 (2016) 561-569; (c) M.H. Shaikh, D.D. Subhedar, F.A.K. Khan, et al., 1, 2, 3-Triazole incorporated coumarin derivatives as a potential antifungal and antioxidant agents, Chin. Chem. Lett. 27 (2016) 295-301; (d) A.P.G. Nikalje, M.S. Ghodke, F.A.K. Khan, J.N. Sangshetti, CAN catalyzed onepot synthesis and docking study of some novel substituted imidazole coupled 1, 2, 4-triazole-5-carboxylic acids as antifungal agents, Chin. Chem. Lett. 26 (2015) 108-112; (e) J.N. Sangshetti, F.A.K. Khan, R.S. Chouthe, et al., Synthesis, docking and ADMET prediction of novel 5-((5-substituted-1-H-1, 2, 4-triazol-3-yl)methyl)-4, 5, 6, 7-tetrahydrothieno[ 3, 2-c]pyri-dine as antifungal agents, Chin. Chem. Lett. 25 (2014) 1033-1038.

    24. [24]

      D. Greenwood, R.C.B. Slack, J.F. Peutherer, Medical Microbiology, 14th ed., ELBS, London, 1992.

    25. [25]

      M. Burits, F. Bucar. Antioxidant activity of nigella sativa essential oil[J]. Phytother. Res., 2000,14:323-328. doi: 10.1002/(ISSN)1099-1573

    26. [26]

      (a) Schrodinger Suite 2015-4 QM-Polarized Ligand Docking protocol; Glide version 6.9, Schrodinger, LLC, New York, NY, 2015; Jaguar version 9.0, Schrodinger, LLC New York, NY, 2015; QSite version 6.9, Schrodinger, LLC, New York NY, 2015. (b) RA. Friesner, R.B. Murphy, M.P. Repasky, et al., Extra precision glide: docking and scoring incorporating a model of hydrophobic enclosure for protein-ligand complexes, J. Med. Chem. 49 (2006) 6177-6196, and related references cited theirin.

    27. [27]

      (a) C.A. Lipinski, L. Lombardo, B.W. Dominy, et al., Experimental and computational approaches to estimate solubility and permeability in drug discovery and development settings, Adv. Drug Delivery Rev. 46 (2001) 3-26; (b) Molinspiration Chemoinformatics Brastislava, Slovak Republic, Available from: <http://www.molinspiration.com/cgi-bin/properties> 2014. (c) YH. Zhao, M.H. Abraham, J. Le, et al., Rate limited steps of human oral absorption and QSAR studies, Pharm. Res. 19 (2002) 1446-1457.

    28. [28]

      S.G. Alvarez, M.T. Alvarez. A practical procedure for the synthesis of alkyl azides at ambient temperature in dimethyl sulfoxide in high purity and yield[J]. Synthesis, 1997,4:413-414.  

    29. [29]

      Drug-likeness and molecular property prediction, available from: <http://www.molsoft.com/mprop/>.

    30. [30]

      P. Ertl, B. Rohde, P. Selzer. Fast calculation of molecular polar surface area as a sum of fragment based contributions and its application to the prediction of drug transport properties[J]. J. Med. Chem., 2000,43:3714-3717. doi: 10.1021/jm000942e

  • 加载中
    1. [1]

      Qiang LuoJinfeng SunZhibo LiBin LiuJianxun Ding . Thermo-sensitive poly(amino acid) hydrogel mediates cytoprotection through an antioxidant mechanism. Chinese Chemical Letters, 2025, 36(7): 110433-. doi: 10.1016/j.cclet.2024.110433

    2. [2]

      Yi-Ru BaiQing-Chuan DuanDong-Jie SengYing XuHong-Bo RenJie ZhangDan-Dan ShenLi YangHong-Min LiuShuo Yuan . A comprehensive review of small molecule drugs approved by the FDA in 2024: Advance and prospect. Chinese Chemical Letters, 2025, 36(10): 111025-. doi: 10.1016/j.cclet.2025.111025

    3. [3]

      Jiajie GuJiaxiang GuLei Yu . Selenium and Alzheimer's disease. Chinese Chemical Letters, 2025, 36(8): 110727-. doi: 10.1016/j.cclet.2024.110727

    4. [4]

      Zhi-Peng ZhouXin WeiMing YanZhi-Guo WangRui HongJia-Zhuang Xu . Multifunctional selenium nanoparticles/gelatin-based nanocomposite hydrogel adhesive for accelerated full-thickness wound healing. Chinese Chemical Letters, 2025, 36(9): 111400-. doi: 10.1016/j.cclet.2025.111400

    5. [5]

      Yao ZouDifei GongHaiguang YangHongmei YuGuorong HeNingbo GongLianhua FangGuanhua DuYang Lu . Prediction, screening, characterization, antioxidant and antihypoxic effects of multi-component zwitterionic cocrystals of dietary flavonoids with picolinic acid. Chinese Chemical Letters, 2025, 36(9): 110768-. doi: 10.1016/j.cclet.2024.110768

    6. [6]

      Zhi Zhou Yu-E Lian Yuqing Li Hui Gao Wei Yi . New Insights into the Molecular Mechanism Behind Clinical Tragedies of “Cephalosporin with Alcohol”. University Chemistry, 2025, 40(3): 42-51. doi: 10.12461/PKU.DXHX202403104

    7. [7]

      Liqiang Hao Boyi Nie Ziping Wan Jianghua Qiu . The Role of SOD in Skincare: A Chemical Science Popularization Experiment. University Chemistry, 2025, 40(7): 241-248. doi: 10.12461/PKU.DXHX202409084

    8. [8]

      Jiarong ZHUXiaohua ZHANGXinting XIONGXuliang NIEXiuying SONGMiaomiao ZHANGDayong PENGXiuguang YI . Crystal structure, Hirshfeld surface analysis, and antifungal activity of five complexes based on 2,5-bis(carboxymethoxy)terephthalic acid. Chinese Journal of Inorganic Chemistry, 2025, 41(11): 2358-2370. doi: 10.11862/CJIC.20250150

    9. [9]

      Yanfen PENGXinyue WANGTianbao LIUXiaoshuo WUYujing WEI . Syntheses and luminescence of four Cd(Ⅱ)/Zn(Ⅱ) complexes constructed by 1,3‐bis(4H‐1,2,4‐triazole)benzene. Chinese Journal of Inorganic Chemistry, 2025, 41(7): 1416-1426. doi: 10.11862/CJIC.20250018

    10. [10]

      Bing XieQi JiangFang ZhuYaoyao LaiYueming ZhaoWei HePei Yang . Transdermal delivery of amphotericin B using deep eutectic solvents for antifungal therapy. Chinese Chemical Letters, 2025, 36(5): 110508-. doi: 10.1016/j.cclet.2024.110508

    11. [11]

      Yun-Feng LiuHui-Fang DuYa-Hui ZhangZhi-Qin LiuXiao-Qian QiDu-Qiang LuoFei Cao . Chaeglobol A, an unusual octocyclic sterol with antifungal activity from the marine-derived fungus Chaetomium globosum HBU-45. Chinese Chemical Letters, 2025, 36(3): 109858-. doi: 10.1016/j.cclet.2024.109858

    12. [12]

      Hao LiHanzhi LuLinlin HuXueli ZhangHua ShaoFulun LiYanfei Shen . Dynamic surface-enhanced Raman spectroscopy-based metabolic profiling: A novel pathway to overcoming antifungal resistance. Chinese Chemical Letters, 2025, 36(7): 110342-. doi: 10.1016/j.cclet.2024.110342

    13. [13]

      Jiahui LiQiao ShiYing XueMingde ZhengLong LiuTuoyu GengDaoqing GongMinmeng Zhao . The effects of in ovo feeding of selenized glucose on liver selenium concentration and antioxidant capacity in neonatal broilers. Chinese Chemical Letters, 2024, 35(6): 109239-. doi: 10.1016/j.cclet.2023.109239

    14. [14]

      Guizhi ZhuJunrui TanLongfei TanQiong WuXiangling RenChanghui FuZhihui ChenXianwei Meng . Growth of CeCo-MOF in dendritic mesoporous organosilica as highly efficient antioxidant for enhanced thermal stability of silicone rubber. Chinese Chemical Letters, 2025, 36(1): 109669-. doi: 10.1016/j.cclet.2024.109669

    15. [15]

      Xicheng LiDong MoShoushan HuMeng PanMeng WangTingyu YangChangxing QuYujia WeiJianan LiHanzhi DengZhongwu BeiTianying LuoQingya LiuYun YangJun LiuJun WangZhiyong Qian . A Pt@ZIF-8/ALN-ac/GelMA composite hydrogel with antibacterial, antioxidant, and osteogenesis for periodontitis. Chinese Chemical Letters, 2025, 36(9): 110674-. doi: 10.1016/j.cclet.2024.110674

    16. [16]

      Shiqi XuZi YeShuang ShangFengge WangHuan ZhangLianguo ChenHao LinChen ChenFang HuaChong-Jing Zhang . Pairs of thiol-substituted 1,2,4-triazole-based isomeric covalent inhibitors with tunable reactivity and selectivity. Chinese Chemical Letters, 2024, 35(7): 109034-. doi: 10.1016/j.cclet.2023.109034

    17. [17]

      Yan ChengHua-Peng RuanYan PengLonghe LiZhenqiang XieLang LiuShiyong ZhangHengyun YeZhao-Bo Hu . Magnetic, dielectric and luminescence synergetic switchable effects in molecular material [Et3NCH2Cl]2[MnBr4]. Chinese Chemical Letters, 2024, 35(4): 108554-. doi: 10.1016/j.cclet.2023.108554

    18. [18]

      Yunzhe ZhengSi SunJiali LiuQingyu ZhaoHeng ZhangJing ZhangPeng ZhouZhaokun XiongChuan-Shu HeBo Lai . Application of machine learning for material prediction and design in the environmental remediation. Chinese Chemical Letters, 2025, 36(9): 110722-. doi: 10.1016/j.cclet.2024.110722

    19. [19]

      Zhaoyong KangShen LiYan LiJingfeng SongYangrui PengYihua Chen . Small molecular inhibitors and degraders targeting STAT3 for cancer therapy: An updated review (from 2022 to 2024). Chinese Chemical Letters, 2025, 36(7): 110447-. doi: 10.1016/j.cclet.2024.110447

    20. [20]

      Keke HanWenjun RaoXiuli YouHaina ZhangXing YeZhenhong WeiHu Cai . Two new high-temperature molecular ferroelectrics [1,5-3.2.2-Hdabcni]X (X = ClO4, ReO4). Chinese Chemical Letters, 2024, 35(6): 108809-. doi: 10.1016/j.cclet.2023.108809

Metrics
  • PDF Downloads(5)
  • Abstract views(1551)
  • HTML views(38)

通讯作者: 陈斌, bchen63@163.com
  • 1. 

    沈阳化工大学材料科学与工程学院 沈阳 110142

  1. 本站搜索
  2. 百度学术搜索
  3. 万方数据库搜索
  4. CNKI搜索
Address:Zhongguancun North First Street 2,100190 Beijing, PR China Tel: +86-010-82449177-888
Powered By info@rhhz.net

/

DownLoad:  Full-Size Img  PowerPoint
Return