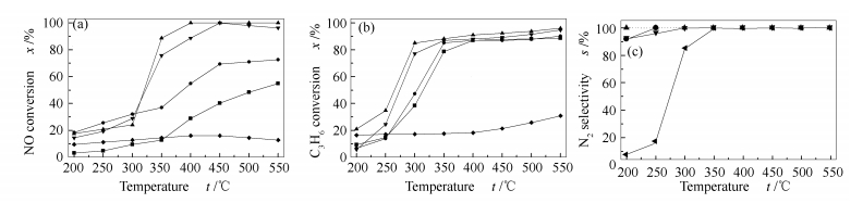
图1
不同催化剂取得的NO和C3H6转化率及N2选择性随反应温度的变化
Figure1.
NO conversion to N2(a), C3H6 conversion (b), N2 selectivity(c) over Fe/Al-PILC with different iron loading
English
-
近年来,火力发电等燃煤工业和燃油机动车辆向大气环境中排放的氮氧化物(NOx)日益增加。NOx主要由NO(>90%)和NO2组成。NOx不仅严重影响生态环境,而且威胁人类健康。因此,NOx污染的防治与控制引起了全世界的高度关注。自Iwamoto等[1]和Held等[2]在1990年报道Cu-ZSM-5能够在富氧条件下催化碳氢燃料选择性还原NOx以来,HC-SCR作为极具发展潜力的烟气脱硝技术受到人们的关注,研究人员对诸如贵金属、分子筛、金属氧化物等不同催化剂的HC-SCR特性开展了多方面的研究工作[3-6]。贵金属催化剂成本较高,活性窗口较窄,不适合大规模固定源NOx的治理。分子筛催化剂如Cu/ZSM-5、Fe/ZSM-5等都能催化烃类燃料还原NO,但脱硝活性受烟气中SO2和H2O影响较大。金属氧化物催化剂如Cu/Al2O3、Ga2O3/ZrO2等在中高温区具有较高的HC-SCR脱硝活性,但受SO2影响较大。
柱撑黏土催化剂有较低的反应温度和较好的抗硫抗水性能。以蒙脱土为原料制备的柱撑黏土具有较大的孔径和规整的孔道结构,并且能同时形成Brønsted酸和Lewis酸,非常适合作为SCR催化剂载体[7]。Vaughan等[8]在1979年用无机聚合阳离子制备层柱蒙脱土作为催化剂和吸附剂后, 各类柱撑蒙脱土接踵被合成。Lin等[9]制备2%Cu/SO42-/Al-Ce-PILC催化剂,在350 ℃催化C3H6还原NO的转化率达到56%。Dorado等[10]在不同pH值条件下制备了Cu/Fe-PILC,负载6.2%Cu2+催化剂在260 ℃时催化C3H6时NOx转化为N2的转化率为53.9%。Yang等[11]制备了三种柱撑黏土(Al-PILC、Zr-PILC、Ti-PILC),分别负载Cu、Fe、Ce、Co、Ag、Ga元素制成不同的催化剂,研究表明,Cu-Ti-PILC在300 ℃时催化C2H4最高取得40%的NO转化率,且受H2O和SO2的影响非常小。Lu等[12]研究了Cu-Ti-PILC催化C3H6还原NO的特性,结果表明,在250 ℃时NO的转化率为55%。这些柱撑黏土催化剂虽然都有SCR脱硝活性,但还原NO的效率相对较低。
实验室前期研究表明,烃类(C1-3)在金属铁表面能够持久高效地还原NO[13-16],且不受烟气中H2O和SO2的影响[17, 18]。然而,烃类在氧化铁表面还原NO的主要缺点是其有效反应温度较高,需要在850 ℃以上才能使NO还原率高于90%,不利于实际工程应用。为降低反应温度,本实验将选择蒙脱土为载体制备铝离子为层间阳离子的Al-PILC,用浸渍法负载铁离子作为催化活性金属离子,获得Fe/Al-PILC催化剂,用多种分析技术对催化剂的物理化学基本性质进行表征,并研究其选择性催化C3H6还原NO的性能。
1 实验部分
1.1 催化剂的制备
铝交联剂的制备:在室温下,将NaOH溶液(1.6 mol/L)滴加到AlCl3溶液(0.8 mol/L)中,使得OH-/Al3+=2.0,搅拌2 h,然后静置老化24 h,获得铝溶胶,作为交联剂。
Al-PILC的制备:将交联剂缓慢加入到已预搅拌24 h的1%蒙脱土悬浮溶液中,Al3+/clay比例为10 mmol/g,在室温搅拌下,交联反应24 h后,离心分离,去离子水洗涤至无Cl-,水浴蒸干,500 ℃煅烧5 h得到Al-PILC。
催化剂Fe/Al-PILC的制备:室温下,将Al-PILC载体浸入不同浓度的硝酸铁溶液中,缓慢搅拌24 h,在110 ℃干燥12 h,在500 ℃煅烧5 h。最后得到m Fe/Al-PILC(m为催化剂中铁的质量分数)。
1.2 催化剂的活性
在固定床微型反应器上进行丙烯选择性催化还原NO的活性测试,反应器内径为8 mm,催化剂填装量为0.4 g,反应温度为200-550 ℃,每一个温度点稳定20 min,采用的模拟烟气以He为平衡气,由体积分数分别为0.05%NO、0.3%C3H6、1%O2、0.02%SO2、7%H2O的气体组成,气体总流量为200 mL/min,对应的反应空速为15 000 h-1。NO和NO2通过烟气分析仪(德国RBR,ECOM-J2KN)对其进行在线检测。N2用GC-4000A气相色谱检测,色谱柱为5A分子筛填充柱,检测器为热导池检测器(TCD);C3H6同样用气相色谱检测,色谱柱为毛细柱,检测器为氢火焰检测器(FID)。
1.3 催化剂的表征
N2吸附-脱附表征:催化剂比表面积以及孔分布采用比表面积测定仪(Micromeritics TristarⅡ3020)测试,利用BET方程计算催化剂的比表面积, 采用BJH方法计算催化剂总的脱附孔容、平均孔径以及孔径分布,测试前催化剂在300 ℃脱气处理3 h, 以N2为吸附质,于-196 ℃进行测定。
XRD表征:X射线衍射(XRD)在X射线衍射仪上进行(Cu Kα辐射源,镍单色器,5°-80°扫描,扫描速率2°/min,管电压和管电流分别为40 kV和30 mA)。
ICP表征:采用电感耦合等离子体发射光谱(Prodigy-ICP)波长为:165-800 nm,分辨率:≤0.005 nm(As在200 nm处),精密度(RSD)(n=10):<1.0%,可测定70多种金属和非金属元素的含量。
H2-TPR表征:采用自组装的程序升温还原仪器,配置气相色谱仪(GC-4000A)。催化剂用量为100 mg,实验前催化剂先于300 ℃在高纯N2(20 mL/min)下处理30 min,待降至室温后切换H2/N2(20 mL/min,5%H2),升温速率为5 ℃/min,检测器为TCD。
Uv-vis表征:紫外吸收光谱(Uv-vis)实验在紫外可见近红外光谱仪(UV3600)上完成,在吸光度为200-800 nm采用积分球以漫反射方式测定。
吡啶吸附红外光谱(Py-FTIR):测试在美国PE公司FT-IR Frontier型仪器上进行,催化剂吸附吡啶前先在氧气中升温至500 ℃,并恒温处理1 h,抽真空后降温至一定温度采集催化剂背景。降温至100 ℃,吸附吡啶15 min后抽真空,分别在170、300 ℃的温度下采集谱图。
2 结果与讨论
2.1 催化剂的活性
Fe/Al-PILC系列催化剂的活性评价结果见图 1。由图 1可知,Fe/Al-PILC催化剂与Al-PILC相比,在反应温度范围内有更高的NO转化率。以9Fe/Al-PILC为例,当温度低于300 ℃时,在Fe/Al-PILC上C3H6还原NO效率很低,在300-400 ℃还原效率迅速上升,在400 ℃效率达到最高100%,继续升温到550 ℃,NO的还原效率仍然保持最高值, 而Al-PILC催化剂上NO转化率最高仅为16.13%,说明添加Fe后的催化剂活性得到显著提高。同时,在实验温度范围内,Fe/Al-PILC显示出较高的C3H6转化率和N2选择性,C3H6转化率可达90%以上,300 ℃后N2选择性可达100%。而Al-PILC在350 ℃以下有较低的N2选择性,C3H6转化率最高为30.89%。可见,Fe的掺杂还能提高C3H6转化率和N2选择性。
图1
不同催化剂取得的NO和C3H6转化率及N2选择性随反应温度的变化
Figure1.
NO conversion to N2(a), C3H6 conversion (b), N2 selectivity(c) over Fe/Al-PILC with different iron loading
由图 1(a)可知,当催化剂样品中Fe负载量(质量分数)从4%增加到9%时,在整个活性温度窗口NO的转化率有所提高,当铁负载量增加到13%时,NO转化率有所下降。9Fe/Al-PILC催化剂对应的C3H6转化效率是最高的,其他负载量的Fe/Al-PIL催化剂也有相似的C3H6转化率曲线,明显高于Al-PILC催化剂。不同催化剂的NO还原效率高低排序为9Fe/Al-PILC>13Fe/Al-PILC>6Fe/Al-PILC>4Fe/Al-PILC>Al-PILC。
在实际的燃煤烟气中都含有水蒸气和SO2。研究表明,分子筛负载金属离子催化HC还原NO的性能受水蒸气和SO2的影响而严重削弱[19-23]。García等[24]在研究Cu-Fe-PILC催化C3H6还原NO中,存在10%水蒸气时,NO还原率从55%下降至33%,催化剂受H2O的影响较大。为了考察SO2和水蒸气对本研究的催化剂脱硝活性的影响,对催化剂进行水热老化和高温硫化处理[25]:新鲜催化剂在含有7%H2O的N2(200 mL/min)中,500 ℃下反应24 h,得到水热老化后的样品;在0.02% SO2气氛中,500 ℃下反应24 h,得到高温硫化后的样品。然后使用处理后的催化剂在固定床微反应器中进行了C3H6-SCR的活性实验,结果见图 2。
由图 2(a)可知,水热老化和高温硫化后的样品的脱硝性能与原始催化剂相比,NO的转化率差别不大,在400 ℃时仍能取得超过90%的NO转化率。图 2(b)、图 2 (c)为350和400 ℃对9Fe/Al-PILC进行SO2和水蒸气阶跃应答毒化实验的研究结果。在通入0.02% SO2和7% H2O后,在400 ℃时NO的脱除效率分别下降了12.1%和7.58%,350 ℃的NO脱除效率分别下降了8.46%和4.23%。切断SO2后,NO脱除效率回升,说明吸附在催化剂表面的SO2逐步脱附使活性位点再生。切断H2O后,NO脱除效率回升,说明这是物理吸附造成的催化剂失活。结果表明,Fe/Al-PILC受水蒸气的影响较小,而SO2虽然能使其催化性能下降,但SO2去除后其催化活性可一定程度恢复,Fe/Al-PILC具有一定的抗水蒸气和SO2的能力。
2.2 运行参数对催化剂性能的影响
为了进一步考察运行参数对催化剂活性的影响,对9Fe/Al-PILC催化剂在不同NO浓度、不同空速条件及其稳定性进行了实验。
由图 3可知,当NO浓度由0.05%提高到0.1%时,9Fe/Al-PILC催化剂的最高NO脱除效率从100%降低到82.35%,当NO浓度进一步提高到0.15%时,NO最高转化率降低为55%,表明催化剂在NO浓度为0.05%-0.1%波动,NO最高转化率能保持80%以上。
图 4为对9Fe/Al-PILC催化剂在不同空速条件下的脱硝活性测试结果。由图 4可知,当空速从15 000 h-1提高到22 000 h-1时,9Fe/Al-PILC催化剂的最高NO转化率从100%降低到73.81%,当空速进一步增大到30 000 h-1时,NO最高转化率降低为42.86%,表明催化剂在空速15 000-22 000 h-1波动,NO最高转化率能保持70%以上。
催化剂在长时间较高温度下工作,对其稳定性有较高的要求。图 5为9Fe/Al-PILC在0.05%NO、0.3%C3H6、1%O2,空速为15 000 h-1的条件下催化剂活性实验。由图 5可知,催化剂在8 h内,400 ℃脱硝效率由98.7%降低到54.5%,350 ℃脱硝效率由84.4%降低到64.9%,催化剂表面因积炭而部分失活。当烟气中有H2O时(实际的烟气中都含有H2O),积炭会和H2O反应,从而消除积炭。图 2(c)的结果表明,在有7%的H2O条件下,连续6 h的实验中,NO转化率仅下降了7.58%。
催化剂的活性与其物理化学性质有关,故通过N2吸附-脱附、X射线衍射(XRD)、H2的程序升温还原(H2-TPR)、紫外可见光谱(Uv-vis)、吡啶吸附红外光谱(Py-FTIR)等手段对催化剂进行表征。
2.3 比表面积和孔结构表征
表 1为不同催化剂BET比表面积、孔容和平均孔径的测试结果。由表 1可知,相比于Al-PILC,负载Fe后的催化剂比表面积、孔容和平均孔径都有所下降,通过浸渍法可以将活性组分很好地负载于Al-PILC表面。随着Fe含量的增加,9Fe/Al-PILC比4Fe/Al-PILC催化剂的比表面积增大,孔径变小,而孔容基本不变。13Fe/Al-PILC的比表面积和孔容较小,表明Fe含量的进一步增加,使Fe2O3发生团聚,催化剂比表面积减小和反应活性相的表面有效度下降,从而导致催化剂活性降低。在活性测试中,9Fe/Al-PILC表现出最好的脱硝活性,可能是催化剂有较大的比表面积和较适宜的孔结构,有利于气体反应的吸附,说明比表面积是催化剂活性的影响因素之一。
Catalyst Fe w/ (mg·g-1) ABET /(m2·g-1) Pore volume v/(cm3·g-1) Pore diameter d/nm Al-PILC 188 0.328 5.61 4Fe/Al-PILC 40.19 164 0.258 5.52 9Fe/Al-PILC 92.54 186 0.264 4.91 13Fe/Al-PILC 131.19 65 0.097 4.84 图 6(a)为催化剂以及载体的N2吸附-脱附等温线。由图 6(a)可知,所有样品的吸附等温线的形状都基本相似, 属于Ⅳ型吸附等温线,脱附等温线中的滞后环属于H3型。说明这些催化剂具有微孔和介孔结构[26]。在p/p0为0.4-0.45,样品的脱附曲线出现一个明显的拐点,此处吸附曲线和脱附曲线接近完全闭合,是因为被堵塞的孔结构发生复杂的毛细管收缩导致的[27]。负载活性组分后的催化剂保持了Al-PILC层状结构的特征,表明浸渍法负载活性组分不会破坏Al-PILC的孔道结构,Al-PILC良好的热稳定性是催化剂具备稳定催化活性的重要保障。
图 6(b)为催化剂以及载体的BJH孔径分布。由图 6(b)可知,载体和负载铁离子的催化剂孔径分布都集中在3-5 nm,孔径分布均匀。相比于4Fe/Al-PILC和13Fe/Al-PILC,9Fe/Al-PILC催化剂的介孔量更多,从而增大了催化剂的比表面积,提高了催化剂活性。
2.4 XRD表征
图 7为催化剂的XRD谱图。Dorado等[28]和Chmielarz等[29]报道,各个结构单元层之间的距离即层间距d(001),其特征峰出现在9°附近。结构单元层的无序堆积性由二维(hk)晶面衍射表达,此特征峰出现在18°和35°附近。由图 7可知,在8.9°(d=1.00 nm)出现了蒙脱土的(001)晶面的特征峰,在17.8°出现了蒙脱土的二维(hk)晶面的特征峰,19.8°为hk (02)和(01)耦合峰,35.0°处衍射峰(d=0.26 nm)为hk (13)和(20)耦合峰。26.6°是石英杂质101晶面(Q)衍射峰,27.9°处归属白硅石杂质(C)的衍射峰[30]。蒙脱土经Al交联后,特征衍射峰向小角方向移动到6.7°,d (001)增大到1.31 nm,说明蒙脱土规整的片层结构被撑开,交联柱撑有效,蒙脱土的层状结构没有破坏,在9°、18°和35°附近依旧出现了蒙脱土的(001)晶面和二维(hk)晶面的特征峰。生成的Al2O3一部分作为层间柱矗立于各个单元层间,另一部分以独自的Al2O3形式覆盖在蒙脱土表面,使蒙脱土特征峰的峰强下降。负载铁离子后,在XRD谱图中没有观测到Fe2O3或其他形式的铁化合物晶格特征衍射峰,说明铁物种可能高度分散或以无定形态存在。
2.5 H2-TPR表征
实验对催化剂进行H2-TPR表征研究催化剂还原性能,结果见图 8。由图 8可知,谱图与分析纯Fe2O3相似,分析纯Fe2O3的H2-TPR谱图由较小峰面积的低温峰(455 ℃)和较大峰面积的高温峰(790 ℃)组成[31],图 8中催化剂较低的低温峰(260 ℃附近)对应Fe2O3→Fe3O4的还原,较宽的高温峰(350 ℃附近)对应Fe3O4→Fe的还原[32]。从还原峰的起峰温度看,Fe/Al-PILC样品的高低温峰均比纯Fe2O3向低温方向移动,表明分布在载体上的Fe2O3比纯Fe2O3有更强的中高温还原能力。催化剂在350 ℃附近的还原峰峰形很宽,表明Fe/Al-PILC的还原是一个较慢的过程,催化剂的还原活性主要体现为Fe2O3物相的还原性能。对于其他峰的归属,Oliveira等[33]研究矿石层中α-Fe2O3的H2-TPR谱图,认为高温650和740 ℃的还原峰分别对应矿石结构中Fe3+→Fe0和Fe2+→Fe0的还原。Long等[26]研究Fe-TiO2-PILC时也曾报道,605 ℃还原峰是由于TiO2、SiO2、Al2O3、MgO、CaO和Na2O等物种对铁的还原,434和370 ℃的峰对应Fe3+→Fe2+。所以Fe/Al-PILC中低温峰460 ℃对应矿石结构Fe2O3→Fe3O4,520和595 ℃对应Fe3O4→FeO的还原。高温峰680、715、770 ℃对应矿石结构中的Fe3+和Fe2+还原成Fe0。
2.6 Uv-vis表征
图 9为催化剂的紫外吸收光谱谱图。
据Brandenberger等[34]报道,波长在200-300 nm的吸收峰归属于单核Fe3+物种,300-400 nm的吸收峰归属于铁氧低聚物种FexOy,大于400 nm的吸收峰归属于催化剂表面的Fe2O3物种。对吸收谱进行分峰处理,可得知4Fe/Al-PILC催化剂中单核Fe3+物种含量较多,而9Fe/Al-PILC催化剂中铁氧低聚物种FexOy较多。随着铁负载量的增加,单核Fe3+物种含量减少,铁氧低聚物种FexOy和催化剂表面的Fe2O3物种增多。结合催化剂活性测试实验来看,单核Fe3+物种和低聚FexOy可能主要影响中低温SCR活性,而表面Fe2O3物种对高温SCR性能影响较大。Fierro等[35]报道,当铁负载量增大时,形成较大的FexOy纳米颗粒会促进还原剂选择性生成CO2,从而导致SCR效率下降。9Fe/Al-PILC表现出最好的催化活性,可能是存在较多的铁氧低聚物种FexOy。
2.7 吡啶吸附红外光谱(Py-FTIR)
图 10为170和300 ℃时催化剂的Py-FTIR谱图。由图 10可知,吡啶吸附温度为170 ℃时,在1 450、1 490、1 545、1 620处均出现吸收峰;温度为300 ℃时,1 450、1 490、1 620处出现吸收峰。Datka等[36]报道,在1 440-1 460 cm-1和1 535-1 550 cm-1处会产生催化剂表面Lewis酸和Brønsted酸中心与吡啶分子Py形成的PyL和PyH+物种特征吸收峰。Chmielarz等[29]也报道,1 450和1 620 cm-1谱带归属于Lewis酸的特征峰,1 545 cm-1谱带归属于Brønsted酸的特征峰,1 490 cm-1谱带是B酸和L酸的共同峰。
表 2为不同催化剂的B酸和L酸含量,由表 2可知,催化剂表面的B酸为弱酸中心。9Fe/Al-PILC的B酸和L酸含量明显高于4Fe/Al-PILC。结合催化剂活性测试实验,9Fe/Al-PILC催化剂活性最好,与其酸含量较多有关。Sultana等[37]报道B酸可以在低温时活化烃从而促进NOx的消除。Perdigon-Melon等[38]报道,L酸可以促进部分氧化的烃与NOx的反应。根据Lewis酸碱理论可知,Lewis酸是由配位体中心的金属离子引起的,是电子受体,可以和电子供体结合。NO和硝酸盐是典型的电子供体,可以和Lewis酸结合形成配位体。催化剂表面的L酸中心是NO和C3H6反应的主要催化活性中心。
Sample 170 ℃ desorption /(mmol·g-1) 300 ℃ desorption /(mmol·g-1) B L B L Al-PILC 0.005 12 0.051 29 0 0.035 80 4Fe/Al-PILC 0.003 97 0.025 80 0 0.011 40 9Fe/Al-PILC 0.006 91 0.046 95 0 0.034 43 3 结论
实验采用溶胶法对蒙脱土进行了铝交联柱撑,从而制得Al-PILC载体,然后采用浸渍法负载铁作为活性组分,制得Fe/Al-PILC催化剂。在脱硝活性测试中,9Fe/Al-PILC催化剂在400 ℃时脱硝效率保持98%以上,温度升高至550 ℃时仍保持最高脱硝活性;并且抗硫抗水蒸气性能很好,在0.02%SO2或7%水蒸气时,NO转化率仍高达83%以上,此方法制备的Fe/Al-PILC催化剂具有良好的中高温催化活性且温度窗口较宽。但此催化剂在8 h内表面因积炭而部分失活,存在一定缺陷,在催化剂稳定性、催化寿命等方面与工业应用还有一定距离。
-
Table 1. Physical property of different catalysts
Catalyst Fe w/ (mg·g-1) ABET /(m2·g-1) Pore volume v/(cm3·g-1) Pore diameter d/nm Al-PILC 188 0.328 5.61 4Fe/Al-PILC 40.19 164 0.258 5.52 9Fe/Al-PILC 92.54 186 0.264 4.91 13Fe/Al-PILC 131.19 65 0.097 4.84 Table 2. Brønsted and Lewis acid content of different catalysts
Sample 170 ℃ desorption /(mmol·g-1) 300 ℃ desorption /(mmol·g-1) B L B L Al-PILC 0.005 12 0.051 29 0 0.035 80 4Fe/Al-PILC 0.003 97 0.025 80 0 0.011 40 9Fe/Al-PILC 0.006 91 0.046 95 0 0.034 43 -
扫一扫看文章
计量
- PDF下载量: 0
- 文章访问数: 0
- HTML全文浏览量: 0

下载:
下载: