Citation:
Wang Wanjun, Li Huan, Pan Renming, Zhu Weihua. Molecular Design of High Energy Density Materials with Bis(3, 4, 5-substituted-pyrazolyl)methane Derivatives[J]. Chinese Journal of Organic Chemistry,
;2019, 39(5): 1362-1371.
doi:
10.6023/cjoc201812001
-
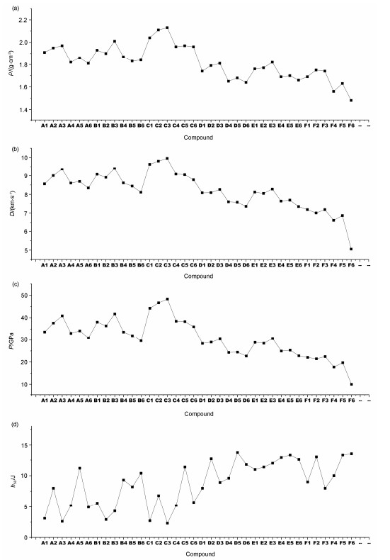
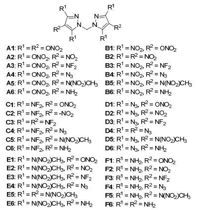
A series of bis(3, 4, 5-substituted pyrazolyl)methane derivatives were designed as candidates of high energy density materials (HEDMs). The heats of formation (HOFs), electronic structure, energetic properties and thermal stabilities were studied using density functional theory (DFT) method. The difluoroamino groups could increase energy gaps of electronic structure, density and detonation properties among the title compounds. Bis[3, 5-bis(difluoroamino)-4-nitropyrazolyl]methane (C2) had excellent properties of potential HEDM. Its crystal density (ρ, 2.11 g/cm3) and impact sensitivity (h50, 6.8 J) were even higher than those of hexanitrohexaazaisowurtzitane (CL-20), meanwhile its detonation velocity (D, 9.80 km/s) and detonation pressure (P, 46.62 GPa) were very close to CL-20.
-
-
-
[1]
Fried, L. E.; Manaa, M. R.; Pagoria, P. F.; Simpson, R. L. Annu. Rev. Mater. Res. 2001, 31, 291. doi: 10.1146/annurev.matsci.31.1.291
-
[2]
Strout, D. L. J. Phys. Chem. A 2004, 108, 10911.
-
[3]
Nguyen, M. T. Coord. Chem. Rev. 2003, 244, 93. doi: 10.1016/S0010-8545(03)00101-2
-
[4]
Xu, X. J.; Xiao, H. M.; Ju, X. H.; Gong, X. D.; Zhu, W. H. J. Phys. Chem. A 2006, 110, 5929. doi: 10.1021/jp0575557
-
[5]
Rice, B. M.; Byrd, E. F. C.; Mattson, W. D. Struct. Bonding (Berlin) 2007, 125, 85. doi: 10.1007/978-3-540-72202-1
-
[6]
Klap tke, T. M. Struct. Bonding (Berlin) 2007, 125, 153. doi: 10.1007/978-3-540-72202-1
-
[7]
Benson, F. R. The High Nitrogen Compounds, Wiley-Interscience, New York, 1984.
-
[8]
Huynh, M. H. V.; Hiskey, M. A.; Archuleta, J. G.; Roemer, E. L.; Gilardi, R. Angew Chem., Int. Ed. 2001, 43, 5658.
-
[9]
Zhou, Y.; Long, X. P.; Wang, X.; Shu, Y. J.; Tian, A. M. Chin. J. Energ. Mater. 2006, 14, 315(in Chinese). doi: 10.3969/j.issn.1006-9941.2006.04.020
-
[10]
Lei, Y. P.; Xu, S. L.; Yang, S. Q. Chem. Propell. Polym. Mater. 2007, 5, 1(in Chinese).
-
[11]
Neutz, J.; Grosshardt, O.; Schaufele, S.; Schuppler, H.; Schweikert, W. Propellants, Explos., Pyrotech. 2003, 28, 181. doi: 10.1002/(ISSN)1521-4087
-
[12]
Huynh, M. H. V.; Hiskey, M. A.; Hartline, E. L.; Montoya, D. P.; Gilardi, R. Angew. Chem., Int. Ed. 2004, 43, 4924. doi: 10.1002/(ISSN)1521-3773
-
[13]
Yu, Z. Y.; Chen, B. H.; Yu, J. Y.; Li, W. J. Chin. J. Energ. Mater. 2004, 12, 34(in Chinese). doi: 10.3969/j.issn.1006-9941.2004.01.009
-
[14]
Qiu, L.; Xiao, H. M.; Zhu, W. H.; Ju, X. H.; Gong, X. D. Chin. J. Chem. 2006, 24, 1538. doi: 10.1002/(ISSN)1614-7065
-
[15]
Chavez, D. E.; Hiskey, M. A.; Gilardi, R. D. Angew. Chem., Int. Ed. 2000, 39, 1791. doi: 10.1002/(SICI)1521-3773(20000515)39:10<1791::AID-ANIE1791>3.0.CO;2-9
-
[16]
Kerth, J.; Lobbecke, S. Propellants, Explos., Pyrotech. 2002, 27, 111. doi: 10.1002/1521-4087(200206)27:3<111::AID-PREP111>3.0.CO;2-O
-
[17]
Zhang, W. Q.; Zhang, J. H.; Deng, M. C.; Qi, X. J.; Nie, F. D.; Zhang, Q. H. Nat. Commun. 2017, 8, 181. doi: 10.1038/s41467-017-00286-0
-
[18]
Wang, Y.; Liu, Y. J. Song, S. W.; Yang, Z. J.; Qi, X. J.; Wang, K. C.; Liu, Y.; Zhang, Q. H.; Tian, Y. Nat. Commun. 2018, 9, 2444. doi: 10.1038/s41467-018-04897-z
-
[19]
Hervé, G.; Roussel, C.; Graindorge, H. Angew. Chem., Int. Ed. 2010, 49, 3177. doi: 10.1002/anie.v49:18
-
[20]
Li, Y. F.; Fan, X. W.; Wang, Z. Y.; Ju, X. H. J. Mol. Struc.: THEOCHEM 2009, 896, 96. doi: 10.1016/j.theochem.2008.11.004
-
[21]
Ravi, P.; Gore, G. M.; Tewari, S. P.; Sikder, A. K. Int. J. Quantum Chem. 2011, 111, 4352. doi: 10.1002/qua.22976
-
[22]
Ravi, P.; Gore, G. M.; Sikder, A. K.; Tewari, S. P. Int. J. Quantum Chem. 2012, 112, 1667. doi: 10.1002/qua.v112.6
-
[23]
Ravi, P.; Gore, G. M.; Tewari, S. P.; Sikder, A. K. Mol. Simulat. 2012, 38, 218. doi: 10.1080/08927022.2011.614242
-
[24]
Yin, P.; Parrish, D. A.; Shreeve, J. M. J. Am. Chem. Soc. 2015, 137, 4778. doi: 10.1021/jacs.5b00714
-
[25]
Ravi, P.; Gore, G. M.; Tewari, S. P.; Sikder, A. K. Propell. Explos. Pyrot. 2012, 37, 52. doi: 10.1002/prep.v37.1
-
[26]
Wang, Y. L.; Zhao, F. Q.; Ji, Y. P.; Pan, Q.; Yi, J. H.; An, T.; Wang, W.; Yu, T.; Lu, X. M. J. Anal. Appl. Pyrol. 2012, 98, 231. doi: 10.1016/j.jaap.2012.08.014
-
[27]
Ravi, P.; Gore, G. M.; Venkatesan, V.; Tewari, S. P.; Sikder, A. K. J. Hazard. Mater. 2010, 183, 859. doi: 10.1016/j.jhazmat.2010.07.106
-
[28]
Yin, P.; Mitchell, L. A.; Parrish, D. A.; Shreeve, J. M. Chem. Asian J. 2017, 12, 378. doi: 10.1002/asia.v12.3
-
[29]
He, C.; Zhang, J.; Parrish, D. A.; Shreeve, J. M. J. Mater. Chem. A 2013, 1, 2863. doi: 10.1039/c2ta01359b
-
[30]
Kumar, D.; Imler, G. H.; Parrish, D. A.; Shreeve, J. M. Chem. Eur. J. 2017, 23, 7876. doi: 10.1002/chem.201700786
-
[31]
Yin, P.; Zhang, J.; Parrish, D. A.; Shreeve, J. M. Chem. Eur. J. 2014, 20, 16529. doi: 10.1002/chem.201404991
-
[32]
Zhang, Y.; Parrish, D. A.; Shreeve, J. M. J. Mater. Chem. 2012, 22, 12659. doi: 10.1039/c2jm31535a
-
[33]
Fischer, D.; Gottfried, J. L.; Klap tke, T. M.; Karaghiosoff, K.; Stierstorfer, J.; Witkowski, T. G. Angew. Chem., Int. Ed. 2016, 55, 16132. doi: 10.1002/anie.201609267
-
[34]
Wu, Q.; Zhu, W. H.; Xiao, H. M. J. Mol. Model. 2013, 19, 2945. doi: 10.1007/s00894-013-1825-9
-
[35]
Pan, Y.; Li, J. S.; Cheng, B. B.; Zhu, W. H.; Xiao, H. M. Comput. Theor. Chem. 2012, 992, 110. doi: 10.1016/j.comptc.2012.05.013
-
[36]
Wu, Q.; Pan, Y.; Zhu, W. H.; Xiao, H. M. J. Mol. Model. 2013, 19, 1853. doi: 10.1007/s00894-013-1756-5
-
[37]
Lee, C.; Yang, W.; Parr, R. G. Phys. Rev. B:Matter Mater. Phys. 1988, 37, 785. doi: 10.1103/PhysRevB.37.785
-
[38]
Frisch, M. J.; Pople, J. A.; Binkley, J. S. J. Chem. Phys. 1984, 80, 3265. doi: 10.1063/1.447079
-
[39]
Frisch, M. J.; Trucks, G. W.; Schlegel, H. B.; Scuseria, G. E.; Robb, M. A.; Cheeseman, J. R.; Scalmani, G.; Barone, V.; Mennucci, B.; Petersson, G. A.; Nakatsuji, H.; Caricato, M.; Li, X.; Hratchian, H. P.; Izmaylov, A. F.; Bloino, J.; Zheng, G.; Sonnenberg, J. L.; Hada, M.; Ehara, M.; Toyota, K.; Fukuda, R.; Hasegawa, J.; Ishida, M.; Nakajima, T.; Honda, Y.; Kitao, O.; Nakai, H.; Vreven, T.; Montgomery, J. A., Jr.; Peralta, J. E.; Ogliaro, F.; Bearpark, M.; Heyd, J. J.; Brothers, E.; Kudin, K. N.; Staroverov, V. N.; Keith, T.; Kobayashi, R.; Normand, J.; Raghavachari, K.; Rendell, A.; Burant, J. C.; Iyengar, S. S.; Tomasi, J.; Cossi, M.; Rega, N.; Millam, J. M.; Klene, M.; Knox, J. E.; Cross, J. B.; Bakken, V.; Adamo, C.; Jaramillo, J.; Gomperts, R.; Stratmann, R. E.; Yazyev, O.; Austin, A. J.; Cammi, R.; Pomelli, C.; Ochterski, J. W.; Martin, R. L.; Morokuma, K.; Zakrzewski, V. G.; Voth, G. A.; Salvador, P.; Dannenberg, J. J.; Dapprich, S.; Daniels, A. D.; Farkas, O.; Foresman, J. B.; Ortiz, J. V.; Cioslowski, J.; Fox, D. J. Gaussian 09, Revision B.01, Gaussian, Inc., Wallingford CT, 2010.
-
[40]
Lu, T.; Chen, F. J. Comput. Chem. 2012, 33, 580. doi: 10.1002/jcc.v33.5
-
[41]
Muthurajan, H.; Sivabalan, R.; Talawar, M. B.; Anniyappan, M.; Venugopalan, S. J. Hazard. Mater. 2006, 133, 30. doi: 10.1016/j.jhazmat.2005.10.009
-
[42]
Chen, Z. X.; Xiao, J. M.; Xiao, H. M.; Chiu, Y. N. J. Phys. Chem. A 1999, 103, 8062. doi: 10.1021/jp9903209
-
[43]
Ju, X. H.; Li, Y. M.; Xiao, H. M. J. Phys. Chem. A 2005, 109, 934. doi: 10.1021/jp045071p
-
[44]
Ju, X. H.; Wang, X.; Bei, F. L. J. Comput. Chem. 2005, 26, 1263. doi: 10.1002/(ISSN)1096-987X
-
[45]
Curtiss, L. A.; Raghavachari, K.; Trucks, G. W.; Pople, J. A. J. Chem. Phys. 1991, 94, 7221. doi: 10.1063/1.460205
-
[46]
Curtiss, L. A.; Carpenter, J. E.; Raghavachari, K.; Pople, J. A. J. Chem. Phys. 1992, 96, 9030. doi: 10.1063/1.462261
-
[47]
Atkins, P. W. Physical Chemistry, Oxford University Press, Oxford, 1982.
-
[48]
Politzer, P.; Murry, J. S.; Grice, M. E.; DeSalvo, M.; Miller, E. Mol. Phys. 1997, 91, 923. doi: 10.1080/002689797171030
-
[49]
Politzer, P.; Murry, J. S. Cent. Eur. J. Energy Mater. 2011, 8, 209.
-
[50]
Byrd, E. F. C.; Rice, B. M. J. Phys. Chem. A 2006, 110, 1005. doi: 10.1021/jp0536192
-
[51]
Kamlet, M. J.; Jacobs, S. T. J. Chem. Phys. 1968, 48, 23. doi: 10.1063/1.1667908
-
[52]
Politzer, P.; Martines, J.; Murry, J. S.; Concha, M. C.; Toro-Labbé, A. Mol. Phys. 2009, 107, 2095. doi: 10.1080/00268970903156306
-
[53]
Pospíšil, M.; Vávra, P.; Concha, M. C.; Murry, J. S.; Politzer, P. J. Mol. Model. 2010, 16, 895. doi: 10.1007/s00894-009-0587-x
-
[54]
Benson, S. W. Thermochemical Kinetic, 2nd ed., Weily Interscience, New York, 1976.
-
[55]
Mills, I.; Cvitas, T.; Homann, K.; Kallay, N.; Kuchitsu, K. Quantities, Units, and Symbols in Physical Chemistry, Blackwell Scientific Publications, Oxford, 1988.
-
[56]
Blanksby, S. J.; Ellison, G. B. Acc. Chem. Res. 2003, 36, 255. doi: 10.1021/ar020230d
-
[57]
Scott, A. P.; Radom, L. J. Phys. Chem. 1996, 100, 16502. doi: 10.1021/jp960976r
-
[58]
Dean, J. A. LANGE's Handbook of Chemistry, 15th ed., Chapter 6, McGraw-Hill Book Co., New York, 1999.
-
[59]
Dean, J. A. LANGE's Handbook of Chemistry, 13th ed., Chapter 9, McGraw-Hill Book Co., New York, 1985.
-
[60]
Shen, C.; Wang, P.; Lu, M. J. Phys. Chem. A 2015, 119, 8250. doi: 10.1021/acs.jpca.5b04969
-
[1]
-
-
-
[1]
Zhengkun QIN , Zicong PAN , Hui TIAN , Wanyi ZHANG , Mingxing SONG . A series of iridium(Ⅲ) complexes with fluorophenyl isoquinoline ligand and low-efficiency roll-off properties: A density functional theory study. Chinese Journal of Inorganic Chemistry, 2025, 41(6): 1235-1244. doi: 10.11862/CJIC.20240429
-
[2]
Maitri Bhattacharjee , Rekha Boruah Smriti , R. N. Dutta Purkayastha , Waldemar Maniukiewicz , Shubhamoy Chowdhury , Debasish Maiti , Tamanna Akhtar . Synthesis, structural characterization, bio-activity, and density functional theory calculation on Cu(Ⅱ) complexes with hydrazone-based Schiff base ligands. Chinese Journal of Inorganic Chemistry, 2024, 40(7): 1409-1422. doi: 10.11862/CJIC.20240007
-
[3]
Qingyun Hu , Wei Wang , Junyuan Lu , He Zhu , Qi Liu , Yang Ren , Hong Wang , Jian Hui . High-throughput screening of high energy density LiMn1-xFexPO4 via active learning. Chinese Chemical Letters, 2025, 36(2): 110344-. doi: 10.1016/j.cclet.2024.110344
-
[4]
Xu Huang , Kai-Yin Wu , Chao Su , Lei Yang , Bei-Bei Xiao . Metal-organic framework Cu-BTC for overall water splitting: A density functional theory study. Chinese Chemical Letters, 2025, 36(4): 109720-. doi: 10.1016/j.cclet.2024.109720
-
[5]
Hao XU , Ruopeng LI , Peixia YANG , Anmin LIU , Jie BAI . Regulation mechanism of halogen axial coordination atoms on the oxygen reduction activity of Fe-N4 site: A density functional theory study. Chinese Journal of Inorganic Chemistry, 2025, 41(4): 695-701. doi: 10.11862/CJIC.20240302
-
[6]
Xinyu Ren , Hong Liu , Jingang Wang , Jiayuan Yu . Electrospinning-derived functional carbon-based materials for energy conversion and storage. Chinese Chemical Letters, 2024, 35(6): 109282-. doi: 10.1016/j.cclet.2023.109282
-
[7]
Renshu Huang , Jinli Chen , Xingfa Chen , Tianqi Yu , Huyi Yu , Kaien Li , Bin Li , Shibin Yin . Synergized oxygen vacancies with Mn2O3@CeO2 heterojunction as high current density catalysts for Li–O2 batteries. Chinese Journal of Structural Chemistry, 2023, 42(11): 100171-100171. doi: 10.1016/j.cjsc.2023.100171
-
[8]
Shunshun Jiang , Ji Zhang , Jing Wang , Shan-Tao Zhang . Excellent energy storage properties in non-stoichiometric Bi0.5Na0.5TiO3-based relaxor ferroelectric ceramics. Chinese Chemical Letters, 2024, 35(7): 108955-. doi: 10.1016/j.cclet.2023.108955
-
[9]
Huyi Yu , Renshu Huang , Qian Liu , Xingfa Chen , Tianqi Yu , Haiquan Wang , Xincheng Liang , Shibin Yin . Te-doped Fe3O4 flower enabling low overpotential cycling of Li-CO2 batteries at high current density. Chinese Journal of Structural Chemistry, 2024, 43(3): 100253-100253. doi: 10.1016/j.cjsc.2024.100253
-
[10]
Run Chai , Qiujie Wu , Yongchao Liu , Xiaohui Song , Xuyong Feng , Yi Sun , Hongfa Xiang . A 3D dual layer host with enhanced sodiophilicity as stable anode for high-energy sodium metal batteries. Chinese Chemical Letters, 2025, 36(6): 110007-. doi: 10.1016/j.cclet.2024.110007
-
[11]
Jie ZHAO , Sen LIU , Qikang YIN , Xiaoqing LU , Zhaojie WANG . Theoretical calculation of selective adsorption and separation of CO2 by alkali metal modified naphthalene/naphthalenediyne. Chinese Journal of Inorganic Chemistry, 2024, 40(3): 515-522. doi: 10.11862/CJIC.20230385
-
[12]
Jie ZHAO , Huili ZHANG , Xiaoqing LU , Zhaojie WANG . Theoretical calculations of CO2 capture and separation by functional groups modified 2D covalent organic framework. Chinese Journal of Inorganic Chemistry, 2025, 41(2): 275-283. doi: 10.11862/CJIC.20240213
-
[13]
Yupeng TANG , Haiying YANG , Fan JIN , Nan LI . Hydrogen storage properties of C6S6Li6: A density functional theory study. Chinese Journal of Inorganic Chemistry, 2025, 41(9): 1827-1839. doi: 10.11862/CJIC.20240460
-
[14]
Yunfei Shen , Long Chen . Gradient imprinted Zn metal anodes assist dendrites-free at high current density/capacity. Chinese Journal of Structural Chemistry, 2024, 43(10): 100321-100321. doi: 10.1016/j.cjsc.2024.100321
-
[15]
Zhilong Xie , Guohui Zhang , Ya Meng , Yefei Tong , Jian Deng , Honghui Li , Qingqing Ma , Shisong Han , Wenjun Ni . A natural nano-platform: Advances in drug delivery system with recombinant high-density lipoprotein. Chinese Chemical Letters, 2024, 35(11): 109584-. doi: 10.1016/j.cclet.2024.109584
-
[16]
Shuangliang Xie , Yuyue Chen , Qing He , Liang Chen , Jikun Yang , Shiqing Deng , Yimei Zhu , He Qi . Relaxor antiferroelectric-relaxor ferroelectric crossover in NaNbO3-based lead-free ceramics for high-efficiency large-capacitive energy storage. Chinese Chemical Letters, 2024, 35(7): 108871-. doi: 10.1016/j.cclet.2023.108871
-
[17]
Longsheng Zhan , Yuchao Wang , Mengjie Liu , Xin Zhao , Danni Deng , Xinran Zheng , Jiabi Jiang , Xiang Xiong , Yongpeng Lei . BiVO4 as a precatalyst for CO2 electroreduction to formate at large current density. Chinese Chemical Letters, 2025, 36(3): 109695-. doi: 10.1016/j.cclet.2024.109695
-
[18]
Hui Bian , Xinyi Yuan , Nan Zhang , Zhuo Xu , Juhong Lian , Ruibin Jiang , Junqing Yan , Deng Li , Shengzhong (Frank) Liu . Correlating vacancy-defect density with CO2 activation for promoted CO2 methanation over CsPbBr3 photocatalyst. Chinese Chemical Letters, 2025, 36(7): 111034-. doi: 10.1016/j.cclet.2025.111034
-
[19]
Mingxing Chen , Xue Li , Nian Liu , Zihe Du , Zhitao Wang , Jing Qi . A zinc-nitrate battery for efficient ammonia electrosynthesis and energy output by a high entropy hydroxide catalyst. Chinese Chemical Letters, 2025, 36(10): 111294-. doi: 10.1016/j.cclet.2025.111294
-
[20]
Bin Zhao , Heping Luo , Jiaqing Liu , Sha Chen , Han Xu , Yu Liao , Xue Feng Lu , Yan Qing , Yiqiang Wu . S-doped carbonized wood fiber decorated with sulfide heterojunction-embedded S, N-doped carbon microleaf arrays for efficient high-current-density oxygen evolution. Chinese Chemical Letters, 2025, 36(5): 109919-. doi: 10.1016/j.cclet.2024.109919
-
[1]
Metrics
- PDF Downloads(4)
- Abstract views(1111)
- HTML views(191)
Login In
DownLoad: