Citation:
	            
		            Yan Yingkun, Xu Qiao, Gao Yang, Liu Hui, Tang Xiaorong. Synthesis and Study on Insecticidal Activity of New Heterocyclic Chalcone Derivatives[J]. Chinese Journal of Organic Chemistry,
							;2018, 38(7): 1763-1771.
						
							doi:
								10.6023/cjoc201712027
						
					
				
					 
				
	        
- 
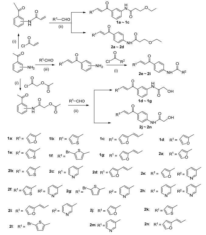
	                	Twenty one new heterocyclic chalcone derivatives were synthesized by the Claisen-Schmidt condensation and ammonolysis of acyl chloride using heterocyclic aldehyde and amino substituted acetophenone as well as acyl chloride as raw materials. The laboratorial bioassay of the insecticidal activity of the synthesized compounds was performed using Aphis craccivora and Pieris rapae as targets. The results showed that most of them had significant insecticidal activity against the two pests. Among them, the median lethal concentration (LC50) of compound 2l was 1.6 μg/mL against Aphis craccivora, whose insecticidal efficacy was superior to imidacloprid with LC50 of 1.8 μg/mL. The insecticidal efficacy of 1b, 1f, 2j and 2n was also close to imidacloprid against Aphis craccivora. The LC50 values of compounds 1f and 2m against Aphis craccivora and Pieris rapae were 6.6 μg/mL and 8.5 μg/mL, respectively and their insecticidal activity exceeded β-cypermethrin, whose LC50 was 9.2 μg/mL.
- 
	                	  
- 
	                	
- 
			
                    [1]
                
			Ruan, L. L.; Fan, R. J.; Liu, X. H.; Chen, J.; Weng, J. Q. Chin. J. Org. Chem. 2015, 35, 1166 (in Chinese). 
 
- 
			
                    [2]
                
			Anuradha, V.; Pullela, V.; Srinivas, R.; Ranga, R. K.; Manjulatha, M. G.; Purohit, J.; Adhusudana, R. Bioorg. Med. Chem. 2006, 14, 6820. doi: 10.1016/j.bmc.2006.06.048 
 
- 
			
                    [3]
                
			Formagio, A. S. N.; Tonin, L. T D.; Foglio, M. A.; Madjarof, C.; Carvalho. J. E. D.; Costa, W. F. D.; Cardoso, F. P.; Sarragiotto, M. H. Bioorg. Med. Chem. 2008, 16, 9660. doi: 10.1016/j.bmc.2008.10.008 
 
- 
			
                    [4]
                
			Xe, F.; Liu, T. T.; Yang, G.; Yuan, J.; Kong, X. L.; Xu, T. M.; Tan, C. X. Chin. J. Org. Chem. 2013, 33, 2596 (in Chinese). 
 
- 
			
                    [5]
                
			Babasaheb, P.; Bandgar, S. S.; Gawande, J. Bioorg. Med. Chem. 2010, 18, 2060. doi: 10.1016/j.bmc.2009.12.077 
 
- 
			
                    [6]
                
			Rupak, K. K.; Sarma, N. R.; Jadab, C. S. J. Steroids 2013, 78, 321. doi: 10.1016/j.steroids.2012.12.003 
 
- 
			
                    [7]
                
			Yin, B. T.; Yan, C. Y.; Peng, X. M.; Zhang, S. L.; Rasheed, S.; Geng, R. X.; Zhou, C. H. Eur. J. Med. Chem. 2014, 71, 148. doi: 10.1016/j.ejmech.2013.11.003 
 
- 
			
                    [8]
                
			Tavares, C.; Susana, J.; Alves, T. A.; Juliana C. G.; Elaine, S. F.; Cisalpino, P. S.; Adailton, J.; Giovanni, F.; Caramori, R. P.; Hugo, T. S.; Mara, E. F.; Braibante, M. G. J. Eur. J. Med. Chem. 2011, 46, 4448. doi: 10.1016/j.ejmech.2011.07.019 
 
- 
			
                    [9]
                
			Hsieh, C. T.; Hsieh, T. J.; Mohamed, E. S.; Chuang, D. W.; Tsai, Y. H.; Yen, C. T.; Wu, S. F.; Wu, Y. C.; Chang, F. R. Bioorg. Med. Chem. Lett. 2012, 22, 3912. doi: 10.1016/j.bmcl.2012.04.108 
 
- 
			
                    [10]
                
			Dai, H.; Liu, J. B.; Miao, W. K.; Wu, S. S.; Zhang, X.; Wang, T. T.; Fang, J. X. Chin. J. Org. Chem. 2011, 31, 1943 (in Chinese). 
 
- 
			
                    [11]
                
			Shang, E. C.; Liu, C. L.; Du, Y. J. Chem. Ind. Eng. Prog. 1996, 5, 11 (in Chinese). doi: 10.3321/j.issn:1000-6613.1996.05.003 
 
- 
			
                    [12]
                
			Yang, J. C.; Dai, R. H.; Liu, Y. P.; Wu, Q.; Liu, C. L. Chin. J. Pestic. 2011, 50, 625 (in Chinese). doi: 10.3969/j.issn.1006-0413.2011.09.001 
 
- 
			
                    [13]
                
			Wang, Z. J.; Liu, B.; Li, Y. H.; Zhao, W. G. Chin. J. Org. Chem. 2011, 31, 317 (in Chinese). 
 
- 
			
                    [14]
                
			Wang, H. S.; Zhao, W. X. Chin. J. Org. Chem. 2013, 33, 1822 (in Chinese). 
 
- 
			
                    [15]
                
			Sheng, G Z.; Zhang, W. Chin. J. Org. Chem. 2013, 33, 2271 (in Chinese). 
 
- 
			
                    [16]
                
			Leroux P. J. J. Pestic. Sci. 1996, 47, 191. doi: 10.1002/(SICI)1096-9063(199606)47:2<>1.0.CO;2-7 
 
- 
			
                    [17]
                
			Smiley, R. W.; Wilkins, D. E. Klepper, E. L. Plant Dis. 1990, 74, 782. doi: 10.1094/PD-74-0782 
 
- 
			
                    [18]
                
			Kataria, H. R.; Verma, P. R.; Racow, G. J. Ann. Appl. Biol. 1993, 123:247. doi: 10.1111/aab.1993.123.issue-2 
 
- 
			
                    [19]
                
			Nakagawa, Y.; Henrich, V. Bioorg. Med. Chem. Lett. 2009, 276, 6128. 
 
- 
			
                    [20]
                
			Xu, Z. H.; Li, J. K. Jiangsu Agric. Sci. 2015, 45, 5 (in Chinese). 
 
- 
			
                    [21]
                
			Wang, J. B.; Tan, F. R.; Wang, L. G. Acta Agric. Shanghai 2009, 25, 131(in Chinese). 
 
- 
			
                    [22]
                
			Catto, A.; Motta, G.; Tajana, A.; Cazzulani, P.; Nardi, D.; Leonardi, A. J. Med. Chem. 1987, 30, 16. 
 
- 
			
                    [23]
                
			Karaman, I.; Gezegen, H.; Guerdere, M. B.; Dingil, A.; Ceylan, M. Chem. Biodiversity 2010, 2, 400. 
 
- 
			
                    [24]
                
			Zhang, Z. B. Toxicity Determination of Insecticides, Science Press, Beijing, 1988. 
 
- 
			
                    [1]
                
			
- 
	                	
						  
- 
	                	
- 
				[1]
				Qiang HU , Zhiqi CHEN , Zhong CHEN , Xu WANG , Weina WU . Pyridinium-chalcone-based ClO- fluorescent probe: Preparation and biological imaging applications. Chinese Journal of Inorganic Chemistry, 2025, 41(9): 1789-1795. doi: 10.11862/CJIC.20250086 
- 
				[2]
				Hong RAO , Yang HU , Yicong MA , Chunxin LÜ , Wei ZHONG , Lihua DU . Synthesis and in vitro anticancer activity of phenanthroline-functionalized nitrogen heterocyclic carbene homo- and heterobimetallic silver/gold complexes. Chinese Journal of Inorganic Chemistry, 2024, 40(12): 2429-2437. doi: 10.11862/CJIC.20240275 
- 
				[3]
				Bin SUN , Heyan JIANG . Glucose-modified bis-Schiff bases: Synthesis and bio-activities in Alzheimer′s disease therapy. Chinese Journal of Inorganic Chemistry, 2025, 41(7): 1338-1350. doi: 10.11862/CJIC.20240428 
- 
				[4]
				Junyuan Zhang , Zhiwei Miao . 有机磷杀虫剂的前世今生. University Chemistry, 2025, 40(6): 129-138. doi: 10.12461/PKU.DXHX202408118 
- 
				[5]
				Chi Li , Jichao Wan , Qiyu Long , Hui Lv , Ying Xiong . N-Heterocyclic Carbene (NHC)-Catalyzed Amidation of Aldehydes with Nitroso Compounds. University Chemistry, 2024, 39(5): 388-395. doi: 10.3866/PKU.DXHX202312016 
- 
				[6]
				Guojie Xu , Fang Yu , Yunxia Wang , Meng Sun . Introduction to Metal-Catalyzed β-Carbon Elimination Reaction of Cyclopropenones. University Chemistry, 2024, 39(8): 169-173. doi: 10.3866/PKU.DXHX202401060 
- 
				[7]
				Jianjun LI , Mingjie REN , Lili ZHANG , Lingling ZENG , Huiling WANG , Xiangwu MENG . UV-assisted degradation of tetracycline hydrochloride by MnFe2O4@activated carbon activated persulfate. Chinese Journal of Inorganic Chemistry, 2024, 40(10): 1869-1880. doi: 10.11862/CJIC.20240187 
- 
				[8]
				Quanliang Chen , Zhaohui Zhou . Research on the Active Site of Nitrogenase over Fifty Years. University Chemistry, 2024, 39(7): 287-293. doi: 10.3866/PKU.DXHX202310133 
- 
				[9]
				Haitang WANG , Yanni LING , Xiaqing MA , Yuxin CHEN , Rui ZHANG , Keyi WANG , Ying ZHANG , Wenmin WANG . Construction, crystal structures, and biological activities of two LnⅢ3 complexes. Chinese Journal of Inorganic Chemistry, 2024, 40(8): 1474-1482. doi: 10.11862/CJIC.20240188 
- 
				[10]
				Yukai Jiang , Yihan Wang , Yunkai Zhang , Yunping Wei , Ying Ma , Na Du . Characterization and Phase Diagram of Surfactant Lyotropic Liquid Crystal. University Chemistry, 2024, 39(4): 114-118. doi: 10.3866/PKU.DXHX202309033 
- 
				[11]
				Jiayu Gu , Siqi Wang , Jun Ling . Kinetics of Living Copolymerization: A Brief Discussion. University Chemistry, 2025, 40(4): 100-107. doi: 10.12461/PKU.DXHX202406012 
- 
				[12]
				Zhiyang Li , Hui Deng , Xinqi Cai , Zhuo Chen . Magnetic Core/Shell-Capsules Locally Neutralize Gastric Acid for Efficient Delivery of Active Probiotics. Acta Physico-Chimica Sinica, 2024, 40(7): 2306051-0. doi: 10.3866/PKU.WHXB202306051 
- 
				[13]
				Ruiqin Feng , Ye Fan , Yun Fang , Yongmei Xia . Strategy for Regulating Surface Protrusion of Gold Nanoflowers and Their Surface-Enhanced Raman Scattering. Acta Physico-Chimica Sinica, 2024, 40(4): 2304020-0. doi: 10.3866/PKU.WHXB202304020 
- 
				[14]
				Congqi Zhu , Bo Liu , Ruchun Li . Dual active sites enhancing alkaline H2-production performance. Acta Physico-Chimica Sinica, 2025, 41(11): 100146-0. doi: 10.1016/j.actphy.2025.100146 
- 
				[15]
				Jingjing QING , Fan HE , Zhihui LIU , Shuaipeng HOU , Ya LIU , Yifan JIANG , Mengting TAN , Lifang HE , Fuxing ZHANG , Xiaoming ZHU . Synthesis, structure, and anticancer activity of two complexes of dimethylglyoxime organotin. Chinese Journal of Inorganic Chemistry, 2024, 40(7): 1301-1308. doi: 10.11862/CJIC.20240003 
- 
				[16]
				Chunmei GUO , Weihan YIN , Jingyi SHI , Jianhang ZHAO , Ying CHEN , Quli FAN . Facile construction and peroxidase-like activity of single-atom platinum nanozyme. Chinese Journal of Inorganic Chemistry, 2024, 40(9): 1633-1639. doi: 10.11862/CJIC.20240162 
- 
				[17]
				Congying Lu , Fei Zhong , Zhenyu Yuan , Shuaibing Li , Jiayao Li , Jiewen Liu , Xianyang Hu , Liqun Sun , Rui Li , Meijuan Hu . Experimental Improvement of Surfactant Interface Chemistry: An Integrated Design for the Fusion of Experiment and Simulation. University Chemistry, 2024, 39(3): 283-293. doi: 10.3866/PKU.DXHX202308097 
- 
				[18]
				Ping Song , Nan Zhang , Jie Wang , Rui Yan , Zhiqiang Wang , Yingxue Jin . Experimental Teaching Design on Synthesis and Antitumor Activity Study of Cu-Pyropheophorbide-a Methyl Ester. University Chemistry, 2024, 39(6): 278-286. doi: 10.3866/PKU.DXHX202310087 
- 
				[19]
				Changqing MIAO , Fengjiao CHEN , Wenyu LI , Shujie WEI , Yuqing YAO , Keyi WANG , Ni WANG , Xiaoyan XIN , Ming FANG . Crystal structures, DNA action, and antibacterial activities of three tetranuclear lanthanide-based complexes. Chinese Journal of Inorganic Chemistry, 2024, 40(12): 2455-2465. doi: 10.11862/CJIC.20240192 
- 
				[20]
				Jing WU , Puzhen HUI , Huilin ZHENG , Pingchuan YUAN , Chunfei WANG , Hui WANG , Xiaoxia GU . Synthesis, crystal structures, and antitumor activities of transition metal complexes incorporating a naphthol-aldehyde Schiff base ligand. Chinese Journal of Inorganic Chemistry, 2024, 40(12): 2422-2428. doi: 10.11862/CJIC.20240278 
 
- 
				[1]
				
Metrics
- PDF Downloads(18)
- Abstract views(1612)
- HTML views(231)
 
  Login In
Login In
 
											 
	                     
	                     
	                     
	                     DownLoad:
DownLoad: