Citation:
Wang Mengmeng, Zhang Qingqing, Yue Kai, Li Qingshan, Xu Fengbo. Synthesis and Insecticidal Activity of o-Carboxamidobenzamide Compounds Containing 2-(Substituted phenyl)oxazole Group[J]. Chinese Journal of Organic Chemistry,
;2017, 37(7): 1774-1780.
doi:
10.6023/cjoc201612030
-
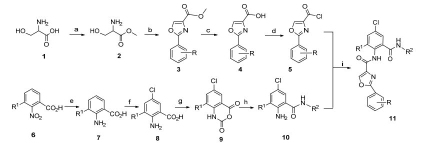
In order to study the insecticidal activity of o-carboxamidobenzamide compounds, to investigate the structure-activity relationships of these compounds, 2-amino-3-hydroxypropionic acid and substituted 2-nitrobenzoic acid were used as starting materials to synthesize 29 diamides target compounds containing 2-substituted phenyloxazole groups, the yields were in the range of 30% and 50%. The insecticidal activities of these compounds were investigated. To some extend, the title compounds showed insecticidal activity against oriental armyworm (Mythimna separata Walker) in vitro. 2-(2-bromophenyl)-N-(4-chloro-2-(methoxy carbamoyl)-6-methyl phenyl) oxazole-4-carbox-amide (compound 11p) showed the highest insecticidal activity among these compounds. The structure-activity relationship of these compounds was summarized and the compounds with high activity were obtained.
-
-
-
[1]
Liu, C. L. New Pestic. 2005, 44, 527(in Chinese).
-
[2]
Al-Terkait, F.; Charalambous, H. Chem. Mater. 2008, 20, 2829. doi: 10.1021/cm703641s
-
[3]
Hyoungsu, K.; Yongho, P.; Hong, J. Angew. Chem., Int. Ed. 2009, 48, 7577. doi: 10.1002/anie.v48:41
-
[4]
Nicolaou, K. C.; Jiang, X. F.; Lindsay-Scott, P. J.; Corbu, A.; Yamashiro, S.; Bacconi, A.; Fowler, V. M. Angew. Chem., Int. Ed. 2011, 50, 1139. doi: 10.1002/anie.v50.5
-
[5]
Skepper, C. K.; Quach, T.; Molinski, T. F. J. Am. Chem. Soc. 2010, 132, 10286. doi: 10.1021/ja1016975
-
[6]
Zhang, H. Z.; Zhou, C. H.; Geng, R. X.; Ji, Q. G. Chin. J. Org. Chem. 2011, 31, 1963(in Chinese).
-
[7]
Nagori, K.; Singh, M. K.; Alexander, A.; Kumar, T.; Dewangan, D.; Badwaik, H.; Tripathi, D. K. J. Pharm. Res. 2011, 2991.
-
[8]
Zhao, Q. Q.; Liu, S. H.; Li, Y. H.; Wang, Q. M. J. Agric. Food Chem. 2009, 57, 2849. doi: 10.1021/jf803632t
-
[9]
Lu, X. Y.; Liu, X. B.; Wan, B. J.; You, Q. D. Eur. J. Med. Chem. 2012, 49, 164. doi: 10.1016/j.ejmech.2012.01.007
-
[10]
Zhang, C. R.; Wang, L.; Ge, Y. L.; Ju, X. L. Chin. J. Org. Chem. 2007, 27, 1432(in Chinese).
-
[11]
Xu, S. S.; Zhang, M.; Zhang, L. Chin. J. Org. Chem. 2015, 35, 2595(in Chinese).
-
[12]
Tan, Y. D.; He, X. Y.; Rao, B. Q. Chin. J. Org. Chem. 2016, 36, 2449(in Chinese).
-
[13]
Danel, M.; Akram, H.; Roland, B. Heterocycl. Commun. 2005, 11, 343.
-
[14]
Graham, T. H. Org. Lett. 2010, 12, 3614. doi: 10.1021/ol101346w
-
[15]
Xiao, L. W.; Zhang, G. X.; Jing, X. M.; Zhou, Q. X.; Feng, R. Chin. J. Org. Chem. 2016, 36, 1000(in Chinese).
-
[16]
Lahm, G. P.; Selby, T. P.; Freudenberger, J. H.; Stevenson, T. M.; Myers, B. J.; Seburyamo, G.; Smith, B. K.; Flexner, L.; Clark. C. E.; Cordova, D. Bioorg. Med. Chem. Lett. 2005, 15, 4898. doi: 10.1016/j.bmcl.2005.08.034
-
[17]
Ou, J. J.; Zhu, X. K.; Wang, L.; Xu, C.; Liu, F.; Ren, L.; Xu, X. B.; Wang, Y.; Rui, C. H.; Liu, S. Z. J. Agricult. Food Chem. 2012, 60, 10942. doi: 10.1021/jf303376t
-
[18]
Eldo, J.; Heng, S.; Kantrowitz, E. R. Bioorg. Med. Chem. Lett. 2007, 17, 2086. doi: 10.1016/j.bmcl.2006.12.050
-
[1]
-
-
-
[1]
Hao Wu , Zhen Liu , Dachang Bai . 1H NMR Spectrum of Amide Compounds. University Chemistry, 2024, 39(3): 231-238. doi: 10.3866/PKU.DXHX202309020
-
[2]
Aidang Lu , Yunting Liu , Yanjun Jiang . Comprehensive Organic Chemistry Experiment: Synthesis and Characterization of Triazolopyrimidine Compounds. University Chemistry, 2024, 39(8): 241-246. doi: 10.3866/PKU.DXHX202401029
-
[3]
Feng Han , Fuxian Wan , Ying Li , Congcong Zhang , Yuanhong Zhang , Chengxia Miao . Comprehensive Organic Chemistry Experiment: Phosphotungstic Acid-Catalyzed Direct Conversion of Triphenylmethanol for the Synthesis of Oxime Ethers. University Chemistry, 2025, 40(3): 342-348. doi: 10.12461/PKU.DXHX202405181
-
[4]
Chi Li , Jichao Wan , Qiyu Long , Hui Lv , Ying Xiong . N-Heterocyclic Carbene (NHC)-Catalyzed Amidation of Aldehydes with Nitroso Compounds. University Chemistry, 2024, 39(5): 388-395. doi: 10.3866/PKU.DXHX202312016
-
[5]
Lili Jiang , Shaoyu Zheng , Xuejiao Liu , Xiaomin Xie . Copper-Catalyzed Oxidative Coupling Reactions for the Synthesis of Aryl Sulfones: A Fundamental and Exploratory Experiment for Undergraduate Teaching. University Chemistry, 2025, 40(7): 267-276. doi: 10.12461/PKU.DXHX202408004
-
[6]
Geyang Song , Dong Xue , Gang Li . Recent Advances in Transition Metal-Catalyzed Synthesis of Anilines from Aryl Halides. University Chemistry, 2024, 39(2): 321-329. doi: 10.3866/PKU.DXHX202308030
-
[7]
Yanan Liu , Yufei He , Dianqing Li . Preparation of Highly Dispersed LDHs-based Catalysts and Testing of Nitro Compound Reduction Performance: A Comprehensive Chemical Experiment for Research Transformation. University Chemistry, 2024, 39(8): 306-313. doi: 10.3866/PKU.DXHX202401081
-
[8]
Yanhui Zhong , Ran Wang , Zian Lin . Analysis of Halogenated Quinone Compounds in Environmental Water by Dispersive Solid-Phase Extraction with Liquid Chromatography-Triple Quadrupole Mass Spectrometry. University Chemistry, 2024, 39(11): 296-303. doi: 10.12461/PKU.DXHX202402017
-
[9]
Junyuan Zhang , Zhiwei Miao . 有机磷杀虫剂的前世今生. University Chemistry, 2025, 40(6): 129-138. doi: 10.12461/PKU.DXHX202408118
-
[10]
Nan Xiao , Fang Sun . 二芳基硫醚化合物的构建及应用. University Chemistry, 2025, 40(6): 360-363. doi: 10.12461/PKU.DXHX202407099
-
[11]
Qianlang Wang , Jijun Sun , Qian Chen , Quanqin Zhao , Baojuan Xi . The Appeal of Organophosphorus Compounds: Clearing Their Name. University Chemistry, 2025, 40(4): 299-306. doi: 10.12461/PKU.DXHX202405205
-
[12]
Yihao Zhao , Jitian Rao , Jie Han . Synthesis and Photochromic Properties of 3,3-Diphenyl-3H-Naphthopyran: Design and Teaching Practice of a Comprehensive Organic Experiment. University Chemistry, 2024, 39(10): 149-155. doi: 10.3866/PKU.DXHX202402050
-
[13]
Ying Xiong , Guangao Yu , Lin Wu , Qingwen Liu , Houjin Li , Shuanglian Cai , Zhanxiang Liu , Xingwen Sun , Yuan Zheng , Jie Han , Xin Du , Chengshan Yuan , Qihan Zhang , Jianrong Zhang , Shuyong Zhang . Basic Operations and Specification Suggestions for Determination of Physical Constants of Organic Compounds. University Chemistry, 2025, 40(5): 106-121. doi: 10.12461/PKU.DXHX202503079
-
[14]
Yongjian Zhang , Fangling Gao , Hong Yan , Keyin Ye . Electrochemical Transformation of Organosulfur Compounds. University Chemistry, 2025, 40(5): 311-317. doi: 10.12461/PKU.DXHX202407035
-
[15]
Yerong Chen , Bingbin Yang , Xinglei He , Yuqi Lin , Keyin Ye . Enzyme-Directed Evolution Enables Bioconversion of Organosilicon Compounds. University Chemistry, 2025, 40(10): 121-129. doi: 10.12461/PKU.DXHX202411054
-
[16]
Jiaming Xu , Yu Xiang , Weisheng Lin , Zhiwei Miao . Research Progress in the Synthesis of Cyclic Organic Compounds Using Bimetallic Relay Catalytic Strategies. University Chemistry, 2024, 39(3): 239-257. doi: 10.3866/PKU.DXHX202309093
-
[17]
Xilin Zhao , Xingyu Tu , Zongxuan Li , Rui Dong , Bo Jiang , Zhiwei Miao . Research Progress in Enantioselective Synthesis of Axial Chiral Compounds. University Chemistry, 2024, 39(11): 158-173. doi: 10.12461/PKU.DXHX202403106
-
[18]
Hanxue LIU , Shijie LI , Meng REN , Xuling XUE , Hongke LIU . Design and antitumor properties of dehydroabietic acid functionalized cyclometalated iridium(Ⅲ) complex. Chinese Journal of Inorganic Chemistry, 2025, 41(8): 1483-1494. doi: 10.11862/CJIC.20250031
-
[19]
Xiaodong Chen , Yumin Zhang . An Improved Simulated Annealing Algorithm for Predicting the Molecular Formulas of Organic Compounds. University Chemistry, 2025, 40(9): 19-24. doi: 10.12461/PKU.DXHX202408095
-
[20]
Yijing GU , Huan PANG , Rongmei ZHU . Applications of nickel-based metal-organic framework compounds in supercapacitors. Chinese Journal of Inorganic Chemistry, 2025, 41(10): 2029-2038. doi: 10.11862/CJIC.20250186
-
[1]
Metrics
- PDF Downloads(8)
- Abstract views(1457)
- HTML views(163)
Login In
DownLoad: