Citation:
Zhang Pingzhu, Liu Huan, Wei Xiao, Ma Chen, Wang Qiwei, Li Xiaoliu. Synthesis of C-Glycosides Ribosyl-Acid and Ribosyl-Aldehyde[J]. Chinese Journal of Organic Chemistry,
;2016, 36(7): 1690-1695.
doi:
10.6023/cjoc201602003
-
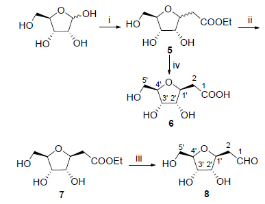
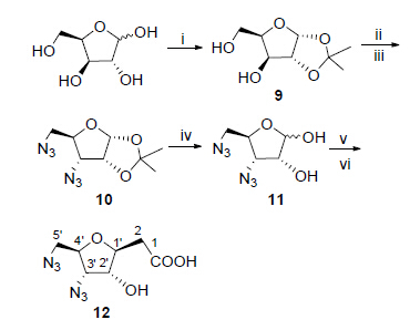
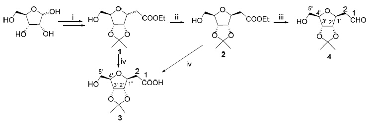
For exploring a simple and efficient synthetic method of C-glycosides, (2, 3-O-isopropylidene)-β-C-D-ribosyl ethyl acetate and (2, 3-O-isopropylidene)-β-C-D-ribosyl acetic acid were stereospecifically synthesized by a one-pot tandem Wittig-Michael addition reaction, and then treated with corresponding base, respectively. The acetates were reduced by DIBAL-H to obtain the corresponding glycosyl aldehyde. D-xylose was treated following the procedure of acetonide of 1, 2-position, trifluoroacetoxyation of 3, 5-position. The trifluoroacetoxyl groups were substituted by azido groups, followed by the one-pot tandem Wittig-Michael addition reaction, and then treated with corresponding base. 3, 5-Diazido-β-C-D-ribosyl acetic acid was obtained in high stereo specificity.
-
Keywords:
- C-glycosides,
- Wittig-Michael addition,
- ribosyl-acid,
- aldehyde,
- azides
-
-
-
[1]
Varki, A.; Cummings, R.; Esko, J.; Freeze, H.; Hart, G.; Marth, J. Essentials of Glycobiology, Lajolla, California, 2002, p. 57. (b) Science, 2001, 291(5512), the all articles. (c) Nature, 2007, 446(7139), the all articles.
-
[2]
Fraser-Reid, B. O.; Tatsuta, K.; Them, J. Glycoscience: Chemistry and Chemical Biology, 2nd ed., Springer, Berlin, 2008. (b) Wong, C. H. Carbohydrate-based Drug Discovery, WILEY-VCH, Weinheim, 2003.
-
[3]
Zou, W. Curr. Top. Med. Chem. 2005, 5(14), 1297. (b) Wang, J.; Kovác, P.; Sinäy, P.; Glaudemans, P. J. Carbohydr. Res. 1998, 308, 191.
-
[4]
Lalithaa, K.; Muthusamya, K.; Siva Prasada, Y.; Vemulab, P. K.; Nagarajana, S. Carbohydr. Res. 2015, 402, 158. (b) Clercq, E. D. J. Med. Chem. 2016, 59, 2301.(c) Hocek, M.; Pavel, K.; Stambaský, J. Chem. Rev. 2009, 109, 6729. (d) Moos, E. v.; Ben, R. N. Curr. Top. Med. Chem. 2005, 5(14), 1351.
-
[5]
Postema, M. H. D. Tetrahedron 1992, 48, 8545. (b) Liu, L.; McKee, M.; Postema, M. H. D. Curr. Org. Chem. 2001, 5, 1133.
-
[6]
von Itzstein, M.; Taylor, N. R. J. Med. Chem. 1994, 37, 616.
-
[7]
Ma, D. L.; Li, X. L.; Hao, L.; Zhang, P. Z.; Chen, h.; Zhao, Y. Chem. J. Chin. Univ. 2014, 355, 959 (in Chinese). (马东来, 李小六, 郝乐, 张平竹, 陈华, 赵影, 高等学校化学学报, 2014, 355, 959.)
-
[1]
-
-
-
[1]
Yan Kong , Wei Wei , Lekai Xu , Chen Chen . Electrochemical Synthesis of Organonitrogen Compounds from N-integrated CO2 Reduction Reaction. Acta Physico-Chimica Sinica, 2024, 40(8): 2307049-0. doi: 10.3866/PKU.WHXB202307049
-
[2]
Hao Wu , Zhen Liu , Dachang Bai . 1H NMR Spectrum of Amide Compounds. University Chemistry, 2024, 39(3): 231-238. doi: 10.3866/PKU.DXHX202309020
-
[3]
Qianlang Wang , Jijun Sun , Qian Chen , Quanqin Zhao , Baojuan Xi . The Appeal of Organophosphorus Compounds: Clearing Their Name. University Chemistry, 2025, 40(4): 299-306. doi: 10.12461/PKU.DXHX202405205
-
[4]
Chi Li , Jichao Wan , Qiyu Long , Hui Lv , Ying Xiong . N-Heterocyclic Carbene (NHC)-Catalyzed Amidation of Aldehydes with Nitroso Compounds. University Chemistry, 2024, 39(5): 388-395. doi: 10.3866/PKU.DXHX202312016
-
[5]
Ying Xiong , Guangao Yu , Lin Wu , Qingwen Liu , Houjin Li , Shuanglian Cai , Zhanxiang Liu , Xingwen Sun , Yuan Zheng , Jie Han , Xin Du , Chengshan Yuan , Qihan Zhang , Jianrong Zhang , Shuyong Zhang . Basic Operations and Specification Suggestions for Determination of Physical Constants of Organic Compounds. University Chemistry, 2025, 40(5): 106-121. doi: 10.12461/PKU.DXHX202503079
-
[6]
Yongjian Zhang , Fangling Gao , Hong Yan , Keyin Ye . Electrochemical Transformation of Organosulfur Compounds. University Chemistry, 2025, 40(5): 311-317. doi: 10.12461/PKU.DXHX202407035
-
[7]
Nan Xiao , Fang Sun . 二芳基硫醚化合物的构建及应用. University Chemistry, 2025, 40(6): 360-363. doi: 10.12461/PKU.DXHX202407099
-
[8]
Yerong Chen , Bingbin Yang , Xinglei He , Yuqi Lin , Keyin Ye . Enzyme-Directed Evolution Enables Bioconversion of Organosilicon Compounds. University Chemistry, 2025, 40(10): 121-129. doi: 10.12461/PKU.DXHX202411054
-
[9]
Geyang Song , Dong Xue , Gang Li . Recent Advances in Transition Metal-Catalyzed Synthesis of Anilines from Aryl Halides. University Chemistry, 2024, 39(2): 321-329. doi: 10.3866/PKU.DXHX202308030
-
[10]
Jiaming Xu , Yu Xiang , Weisheng Lin , Zhiwei Miao . Research Progress in the Synthesis of Cyclic Organic Compounds Using Bimetallic Relay Catalytic Strategies. University Chemistry, 2024, 39(3): 239-257. doi: 10.3866/PKU.DXHX202309093
-
[11]
Aidang Lu , Yunting Liu , Yanjun Jiang . Comprehensive Organic Chemistry Experiment: Synthesis and Characterization of Triazolopyrimidine Compounds. University Chemistry, 2024, 39(8): 241-246. doi: 10.3866/PKU.DXHX202401029
-
[12]
Xilin Zhao , Xingyu Tu , Zongxuan Li , Rui Dong , Bo Jiang , Zhiwei Miao . Research Progress in Enantioselective Synthesis of Axial Chiral Compounds. University Chemistry, 2024, 39(11): 158-173. doi: 10.12461/PKU.DXHX202403106
-
[13]
Hanxue LIU , Shijie LI , Meng REN , Xuling XUE , Hongke LIU . Design and antitumor properties of dehydroabietic acid functionalized cyclometalated iridium(Ⅲ) complex. Chinese Journal of Inorganic Chemistry, 2025, 41(8): 1483-1494. doi: 10.11862/CJIC.20250031
-
[14]
Xiaodong Chen , Yumin Zhang . An Improved Simulated Annealing Algorithm for Predicting the Molecular Formulas of Organic Compounds. University Chemistry, 2025, 40(9): 19-24. doi: 10.12461/PKU.DXHX202408095
-
[15]
Yijing GU , Huan PANG , Rongmei ZHU . Applications of nickel-based metal-organic framework compounds in supercapacitors. Chinese Journal of Inorganic Chemistry, 2025, 41(10): 2029-2038. doi: 10.11862/CJIC.20250186
-
[16]
Xiaofeng Zhu , Bingbing Xiao , Jiaxin Su , Shuai Wang , Qingran Zhang , Jun Wang . Transition Metal Oxides/Chalcogenides for Electrochemical Oxygen Reduction into Hydrogen Peroxides. Acta Physico-Chimica Sinica, 2024, 40(12): 2407005-0. doi: 10.3866/PKU.WHXB202407005
-
[17]
Jia Wang , Qing Qin , Zhe Wang , Xuhao Zhao , Yunfei Chen , Liqiang Hou , Shangguo Liu , Xien Liu . P-Doped Carbon-Supported ZnxPyOz for Efficient Ammonia Electrosynthesis under Ambient Conditions. Acta Physico-Chimica Sinica, 2024, 40(3): 2304044-0. doi: 10.3866/PKU.WHXB202304044
-
[18]
Jinfeng Chu , Lan Jin , Yu-Fei Song . Exploration and Practice of Flipped Classroom in Inorganic Chemistry Experiment: a Case Study on the Preparation of Inorganic Crystalline Compounds. University Chemistry, 2024, 39(2): 248-254. doi: 10.3866/PKU.DXHX202308016
-
[19]
Zhen Yao , Bing Lin , Youping Tian , Tao Li , Wenhui Zhang , Xiongwei Liu , Wude Yang . Visible-Light-Mediated One-Pot Synthesis of Secondary Amines and Mechanistic Exploration. University Chemistry, 2024, 39(5): 201-208. doi: 10.3866/PKU.DXHX202311033
-
[20]
Zhuoming Liang , Ming Chen , Zhiwen Zheng , Kai Chen . Multidimensional Studies on Ketone-Enol Tautomerism of 1,3-Diketones By 1H NMR. University Chemistry, 2024, 39(7): 361-367. doi: 10.3866/PKU.DXHX202311029
-
[1]
Metrics
- PDF Downloads(0)
- Abstract views(1115)
- HTML views(108)
Login In
DownLoad: