Citation:
Wang Lijun, Lau Choiwan, Xiong Juan, Hu Jinfeng. Further Chemical Constituents from the Rare Chloranthaceae Plant Chloranthus sessilifolius[J]. Chinese Journal of Organic Chemistry,
;2016, 36(7): 1677-1680.
doi:
10.6023/cjoc201602002
-
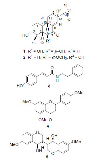
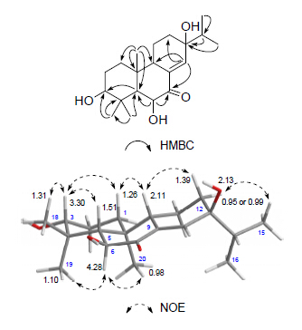
Two diterpenoids and a few miscellaneous components (one phenethylpropanoid, one flavonoid, and one lignan) were isolated from the MeOH extract of the whole plant of the rare Chloranthaceae plant Chloranthus sessilifolius during a further phytochemical reinvestigation. Based on their spectroscopic data (i.e., IR, UV, 1D/2D NMR, ECD, and HR-ESIMS) and/or comparing with those reported physicochemical data in related literature, the structures were determined to be (3R, 5S, 6S, 9S, 10S, 13S)-3, 6, 13-trihydroxy-ent-abieta-8(14)-en-7-one (1), 3α, 15-dihydroxy-13α-methoxy-ent-abieta-8(14)-en-7-one (2), p-coumaroyl-β-phenethyl amine (3), narigenin trimethyl ether (4), and (3R, 4R, 3'R, 4'R)-6, 6'-dimethoxy-3, 4, 3', 4'-tetrahydro-2H, 2H'-[3, 3']-bichromenyl-4, 4'-diol (5). Among them, compound 1 is new, while compounds 3~5 were isolated from the Chloranthus genus for the first time.
-
-
-
[1]
Editorial committee Flora of China, Science Press, Beijing, 1982, Vol. 20, pp. 80-96 (in Chinese). (编委会, 中国植物志, 科学出版社, 北京, 1982, Vol. 20, pp. 80-96.)
-
[2]
Wang, A. R.; Song, H. C.; An, H. M.; Huang, Q.; Luo, X.; Dong, J. Y. Chem. Biodiversity 2015, 2, 451.
-
[3]
Wang, L. J.; Xiong, J.; Liu, S. T.; Liu, X. H.; Hu, J.-F. Chem. Biodiversity 2014, 11, 919.
-
[4]
Liu, S. T.; Xiong, J.; Tang, Y.; Wang, W. X.; Bui, V. B.; Ma, G. L.; Huang, Y.; Zhao, Y.; Yang, G. X.; Hu, J.-F. Chem. Biodiversity 2014, 11, 904.
-
[5]
Xiong, J.; Liu, S. T.; Tang, Y.; Wang, W. X.; Bui, V. B.; Zhao, Y.; Fan, H.; Yang, G. X.; Hu, J.-F. Phytochem. Lett. 2013, 6, 586.
-
[6]
Wang, D. Q. Lishizhen Med. Mater. Med. Res. 1991, 2, 140 (in Chinese). (王德群, 时珍国药研究, 1991, 2, 140.)
-
[7]
Wang, L. J.; Xiong, J.; Liu, S. T.; Pan, L. L.; Yang, G. X.; Hu, J.-F. J. Nat. Prod. 2015, 78, 1635.
-
[8]
Wang, L. J.; Xiong, J.; Lau, C.; Pan, L. L.; Hu, J.-F. J. Asian Nat. Prod. Res. 2015, 17, 1220.
-
[9]
Xie, C. F.; Sun, L. M.; Liao, K. Liu, S.; Wang, M. C.; Xu, J.; Bartlam, M.; Guo, Y. Q. J. Nat. Prod. 2015, 78, 2800.
-
[10]
Sinz, A.; Matusch, R.; Van Eläcker, F.; Santisuk, T.; Chaichana, S.; Reutrakul, V. Phytochemistry 1999, 50, 1069.
-
[11]
Seidel, V.; Bailleul, F.; Waterman, P. G. Phytochemistry 2000, 55, 439.
-
[12]
Sielinou, V. T.; Vardamides, J. C.; Nkengfack, A. E.; Laatsch, H. Phytochem. Lett. 2012, 5, 409.
-
[1]
-
-
-
[1]
Weiliang Wang , Zijing Yu , Jingyuan Li , Hong Shang . The Debate between Traditional Chinese Medicine and Western Medicine. University Chemistry, 2024, 39(9): 109-114. doi: 10.12461/PKU.DXHX202402001
-
[2]
Yuan Zhuang , Wenhui Li , Jie Li . Curriculum Reform of “Chemical Composition Analysis of Materials” under Background of First-Class Discipline Construction. University Chemistry, 2025, 40(5): 283-290. doi: 10.12461/PKU.DXHX202407070
-
[3]
Tingting Yu , Si Chen , Lianglong Sun , Tongtong Shi , Kai Sun , Xin Wang . Comprehensive Experimental Design for the Photochemical Synthesis, Analysis, and Characterization of Difluoropyrroles. University Chemistry, 2024, 39(11): 196-203. doi: 10.3866/PKU.DXHX202401022
-
[4]
Lijun Dong , Pengcheng Du , Guangnong Lu , Wei Wang . Exploration and Practice of Independent Design Experiments in Inorganic and Analytical Chemistry: A Case Study of “Preparation and Composition Analysis of Tetraammine Copper(II) Sulfate”. University Chemistry, 2024, 39(4): 361-366. doi: 10.3866/PKU.DXHX202310041
-
[5]
Xiuyun Wang , Jiashuo Cheng , Yiming Wang , Haoyu Wu , Yan Su , Yuzhuo Gao , Xiaoyu Liu , Mingyu Zhao , Chunyan Wang , Miao Cui , Wenfeng Jiang . Improvement of Sodium Ferric Ethylenediaminetetraacetate (NaFeEDTA) Iron Supplement Preparation Experiment. University Chemistry, 2024, 39(2): 340-346. doi: 10.3866/PKU.DXHX202308067
-
[6]
Xiaolei Jiang , Fangdong Hu . Exploring the Mirror World in Organic Chemistry: the Teaching Design of “Enantiomers” from the Perspective of Curriculum and Ideological Education. University Chemistry, 2024, 39(10): 174-181. doi: 10.3866/PKU.DXHX202402052
-
[7]
Gonglan Ye , Xia Yin , Feng Xu , Peng Yang , Yingpeng Wu , Huilong Fei . Innovations in “Four-in-One” Inorganic Chemistry Education. University Chemistry, 2024, 39(8): 136-141. doi: 10.3866/PKU.DXHX202401071
-
[8]
Zhexue Lu , Ping Wu , Huihui Li , Libai Wen . 四“味”一体的无机及分析化学课程思政. University Chemistry, 2025, 40(6): 333-340. doi: 10.12461/PKU.DXHX202405196
-
[9]
Yingying Chen , Di Xu , Congmin Wang . Exploration and Practice of the “Four-Level, Three-Linkage” General Chemistry Course System. University Chemistry, 2024, 39(8): 119-125. doi: 10.3866/PKU.DXHX202401057
-
[10]
Fangdong Hu , Xiaolei Jiang . Research and Practice of the “Integration of Theory and Practice Drives Innovation” Teaching Mode in Inorganic Chemistry under the Background of “Four New” Construction. University Chemistry, 2024, 39(11): 1-8. doi: 10.3866/PKU.DXHX202402013
-
[11]
Chen Hu , Yu Wu , Lianqing Chen , Tao Huang , Chunya Li , Lin Li , Bingguang Zhang , Peng Mei . 基于“三位一体四融合”策略的化学实验室安全课程创新与探索. University Chemistry, 2025, 40(8): 25-32. doi: 10.12461/PKU.DXHX202410088
-
[12]
Liangzhen Hu , Li Ni , Ziyi Liu , Xiaohui Zhang , Bo Qin , Yan Xiong . A Green Chemistry Experiment on Electrochemical Synthesis of Benzophenone. University Chemistry, 2024, 39(6): 350-356. doi: 10.3866/PKU.DXHX202312001
-
[13]
Jianfeng Yan , Yating Xiao , Xin Zuo , Caixia Lin , Yaofeng Yuan . Comprehensive Chemistry Experimental Design of Ferrocenylphenyl Derivatives. University Chemistry, 2024, 39(4): 329-337. doi: 10.3866/PKU.DXHX202310005
-
[14]
Hongxia Yan , Rui Wu , Weixu Feng , Yan Zhao , Yi Yan . Innovation Inspired by Classical Chemistry: Luminescent Hyperbranched Polysiloxanes. University Chemistry, 2025, 40(4): 154-159. doi: 10.12461/PKU.DXHX202409010
-
[15]
Xiaoyang Li , Xiaowei Huang , Yimeng Zhang , Huan Liu , Shao Jin , Junpeng Zhuang . Comprehensive Chemical Experiments on the Synthesis of 1,3-Dibromo-5,5-Dimethylhydantoin and Its Application as a Brominating Reagent. University Chemistry, 2025, 40(7): 286-293. doi: 10.12461/PKU.DXHX202408035
-
[16]
Jichao XU , Ming HU , Xichang CHEN , Chunhui WANG , Leichen WANG , Lingyi ZHOU , Xing HE , Xiamin CHENG , Su JING . Construction and hydrogen peroxide-activated chemodynamic activity of ferrocene?benzoselenadiazole conjugate. Chinese Journal of Inorganic Chemistry, 2025, 41(8): 1495-1504. doi: 10.11862/CJIC.20250144
-
[17]
Hanxue LIU , Shijie LI , Meng REN , Xuling XUE , Hongke LIU . Design and antitumor properties of dehydroabietic acid functionalized cyclometalated iridium(Ⅲ) complex. Chinese Journal of Inorganic Chemistry, 2025, 41(8): 1483-1494. doi: 10.11862/CJIC.20250031
-
[18]
Xiqing Liang , Tian Zhao , Jiawei Li , Haohui Tan , Hai Chen , Liyan Zeng . Pentaerythritol’s Journey of Making Friends. University Chemistry, 2025, 40(10): 175-185. doi: 10.12461/PKU.DXHX202412009
-
[19]
Xipu He , Wengui Duan , Guishan Lin . Reform and Practice of Organic Chemistry Teaching for Non-Chemistry Major under the Four New Construction: Taking the Organic Chemistry Course Reform of Biological Science Major at Guangxi University as an Example. University Chemistry, 2025, 40(7): 42-47. doi: 10.12461/PKU.DXHX202408021
-
[20]
Shuhui Li , Rongxiuyuan Huang , Yingming Pan . Electrochemical Synthesis of 2,5-Diphenyl-1,3,4-Oxadiazole: A Recommended Comprehensive Organic Chemistry Experiment. University Chemistry, 2025, 40(5): 357-365. doi: 10.12461/PKU.DXHX202407028
-
[1]
Metrics
- PDF Downloads(0)
- Abstract views(1376)
- HTML views(196)
Login In
DownLoad: