Citation:
Xiao Shiji, Shi Dabin, Yuan Zeli, Chen Yongzheng, Zhang Maosheng, Ding Lisheng, Zhou Yan. Two New Rearranged Lanostane Triterpenoids from Tsuga longibracteata[J]. Chinese Journal of Organic Chemistry,
;2016, 36(7): 1686-1689.
doi:
10.6023/cjoc201601035
-
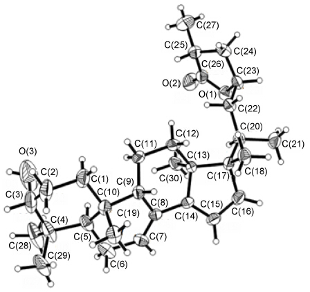
Two new rearranged lanostane triterpenoids, named tsugalide A (1) and tsugalide B (2), were isolated from the MeOH extract of the stem of Tsuga longibracteata Cheng. Their chemical structures of the new compounds were established on the basis of extensive 1D and 2D NMR spectroscopy, and the configuration of compound 1 was further confirmed by X-ray crystallography.
-
Keywords:
- pinaceae,
- Tsuga longibracteata,
- rearranged lanostane,
- triterpenoid
-
-
-
[1]
Zheng, W. J.; Fu, L. G. Flora of China, Vol. 7, Science Press, Beijing, 1978 (in Chinese). (郑万钧, 傅立国, 中国植物志, 第7卷, 科学出版社, 北京, 1978.)
-
[2]
Zhang, H. Y.; Zhang, Z. Y. The Chinese Traditional Medicine Resource Records, Science Press, Beijing, 1994 (in Chinese). (张惠源, 张志英, 中国中药资源志要, 科学出版社, 北京, 1994.)
-
[3]
Li, W. L.; Zhao, Y. Y.; Wu, J. L.; Zheng, H. C.; Zhang, H. Q. J. Plant Resour. Environ. 2001, 10, 54 (in Chinese). (李维林, 赵友谊, 吴菊兰, 郑汉臣, 张涵庆, 植物资源与环境学报, 2001, 10, 54.)
-
[4]
Fang, J. M.; Wei, K. M.; Cheng, Y. S. Phytochemistry 1985, 24, 1363.
-
[5]
Fang, J. M.; Wei, K. M.; Cheng, Y. S. J. Chin. Chem. Soc. 1985, 32, 75.
-
[6]
Fumio, K.; Kawai, S.; Ohashi, H. Phytochemistry 1997, 44, 1351.
-
[7]
Zhao, Y. X.; Luo, X. D.; Zhou, J. Acta Bot. Yunnanica 2004, 26, 229 (in Chinese). (赵友兴, 罗晓东, 周俊, 云南植物研究, 2004, 26, 229.)
-
[8]
Zhao, Y. X.; Li, C. S.; Luo, X. D.; Liu, Y. Q.; Zhou, J. Acta Bot. Yunnanica 2005, 27, 217 (in Chinese). (赵友兴, 李承森, 刘玉清, 罗晓东, 周俊, 云南植物研究, 2005, 27, 217.)
-
[9]
Wu, Z. Y.; Sun, H.; Zhou, Z. Q.; Peng, H.; Li, D. Z. Acta Bot. Yunnanica 2005, 27, 577 (in Chinese). (吴征镒, 孙航, 周浙昆, 彭华, 李德铢, 云南植物研究, 2005, 27, 577.)
-
[10]
Gao, H. Y.; Huang, J.; Sun, B. H.; Kuroyanagi, M.; Wu, L. J. Chin. Chem. Lett. 2008, 19, 1447.
-
[11]
Handa, M.; Murata, T.; Kobayashi, K.; Selenge, E.; Miyase, T.; Batkhuu, J. Phytochemistry 2013, 86, 168.
-
[12]
Xiao, S. J.; Chen, F.; Ding, L. S.; Zhou, Y. Chin. J. Nat. Med. 2015, 13, 65.
-
[13]
Xiong, J.; Huang, Y.; You, M.; Hu, J. F. Chin. J. Org. Chem. 2013, 33, 1304 (in Chinese). (熊娟, 黄亚, 唐宇, 尤梅, 胡金锋, 有机化学, 2013, 33, 1304.)
-
[1]
-
-
-
[1]
Fengmiao Yu , Yang Sheng , Chanyue Li , Bao Li . The Three Lives of Aspirin. University Chemistry, 2024, 39(9): 115-121. doi: 10.12461/PKU.DXHX202402033
-
[2]
Ruoxi Sun , Yiqian Xu , Shaoru Rong , Chunmiao Han , Hui Xu . The Enchanting Collision of Light and Time Magic: Exploring the Footprints of Long Afterglow Lifetime. University Chemistry, 2024, 39(5): 90-97. doi: 10.3866/PKU.DXHX202310001
-
[3]
Yuecheng ZHANG , Fan YANG , Shiyu ZHANG , Chengjun MA , Rui TIAN , Xuehua SUN , Haoyu LI , Lingbo SUN , Hongyan MA . B-doped carbon quantum dots with long-afterglow room-temperature phosphorescence: Applications in information encryption and humidity sensing. Chinese Journal of Inorganic Chemistry, 2025, 41(7): 1361-1370. doi: 10.11862/CJIC.20240415
-
[4]
Hongxia Yan , Rui Wu , Weixu Feng , Yan Zhao , Yi Yan . Innovation Inspired by Classical Chemistry: Luminescent Hyperbranched Polysiloxanes. University Chemistry, 2025, 40(4): 154-159. doi: 10.12461/PKU.DXHX202409010
-
[5]
Xiaojun Liu , Lang Qin , Yanlei Yu . Dynamic Manipulation of Photonic Bandgaps in Cholesteric Liquid Crystal Microdroplets for Applications. Acta Physico-Chimica Sinica, 2024, 40(5): 2305018-0. doi: 10.3866/PKU.WHXB202305018
-
[6]
Zhicheng JU , Wenxuan FU , Baoyan WANG , Ao LUO , Jiangmin JIANG , Yueli SHI , Yongli CUI . MOF-derived nickel-cobalt bimetallic sulfide microspheres coated by carbon: Preparation and long cycling performance for sodium storage. Chinese Journal of Inorganic Chemistry, 2025, 41(4): 661-674. doi: 10.11862/CJIC.20240363
-
[7]
Yajin Li , Huimin Liu , Lan Ma , Jiaxiong Liu , Dehua He . Photothermal Synthesis of Glycerol Carbonate via Glycerol Carbonylation with CO2 over Au/Co3O4-ZnO Catalyst. Acta Physico-Chimica Sinica, 2024, 40(9): 2308005-0. doi: 10.3866/PKU.WHXB202308005
-
[8]
Tingting Yu , Si Chen , Lianglong Sun , Tongtong Shi , Kai Sun , Xin Wang . Comprehensive Experimental Design for the Photochemical Synthesis, Analysis, and Characterization of Difluoropyrroles. University Chemistry, 2024, 39(11): 196-203. doi: 10.3866/PKU.DXHX202401022
-
[9]
Yinjie Xu , Suiqin Li , Lihao Liu , Jiahui He , Kai Li , Mengxin Wang , Shuying Zhao , Chun Li , Zhengbin Zhang , Xing Zhong , Jianguo Wang . Enhanced Electrocatalytic Oxidation of Sterols using the Synergistic Effect of NiFe-MOF and Aminoxyl Radicals. Acta Physico-Chimica Sinica, 2024, 40(3): 2305012-0. doi: 10.3866/PKU.WHXB202305012
-
[10]
Tongyan Yu , Pan Xu . Visible-Light Photocatalyzed Radical Rearrangement Reaction. University Chemistry, 2025, 40(7): 169-176. doi: 10.12461/PKU.DXHX202409070
-
[11]
Ruiqing LIU , Wenxiu LIU , Kun XIE , Yiran LIU , Hui CHENG , Xiaoyu WANG , Chenxu TIAN , Xiujing LIN , Xiaomiao FENG . Three-dimensional porous titanium nitride as a highly efficient sulfur host. Chinese Journal of Inorganic Chemistry, 2024, 40(5): 867-876. doi: 10.11862/CJIC.20230441
-
[12]
Qilu DU , Li ZHAO , Peng NIE , Bo XU . Synthesis and characterization of osmium-germyl complexes stabilized by triphenyl ligands. Chinese Journal of Inorganic Chemistry, 2024, 40(6): 1088-1094. doi: 10.11862/CJIC.20240006
-
[13]
Hongwei Ma , Hui Li . Three Methods for Structure Determination from Powder Diffraction Data. University Chemistry, 2024, 39(3): 94-102. doi: 10.3866/PKU.DXHX202310035
-
[14]
Liangyu Gong , Jie Wang , Fengyu Du , Lubin Xu , Chuanli Ma , Shihai Yan , Zhuwei Song , Fuheng Liu , Xiuzhong Wang . Construction and Practice of “One-Point, Two-Lines and Three-Sides” Innovative Experimental Platform. University Chemistry, 2024, 39(4): 26-32. doi: 10.3866/PKU.DXHX202308023
-
[15]
Wanmin Cheng , Juan Du , Peiwen Liu , Yiyun Jiang , Hong Jiang . Photoinitiated Grignard Reagent Synthesis and Experimental Improvement in Triphenylmethanol Preparation. University Chemistry, 2024, 39(5): 238-242. doi: 10.3866/PKU.DXHX202311066
-
[16]
Jin Yan , Chengxia Tong , Yajie Li , Yue Gu , Xuejian Qu , Shigang Wei , Wanchun Zhu , Yupeng Guo . Construction of a “Dual Support, Triple Integration” Chemical Safety Practical Education System. University Chemistry, 2024, 39(7): 69-75. doi: 10.12461/PKU.DXHX202405008
-
[17]
Zhuo WANG , Xiaotong LI , Zhipeng HU , Junqiao PAN . Three-dimensional porous carbon decorated with nano bismuth particles: Preparation and sodium storage properties. Chinese Journal of Inorganic Chemistry, 2025, 41(2): 267-274. doi: 10.11862/CJIC.20240223
-
[18]
Linghua Chen . 基于双联动“三学”模式的食品专业分析化学教学改革. University Chemistry, 2025, 40(8): 78-91. doi: 10.12461/PKU.DXHX202409095
-
[19]
Chenyue Huang , Hongfei Zheng , Ning Qin , Canpei Wang , Liguang Wang , Jun Lu . Single-Crystal Nickel-Rich Cathode Materials: Challenges and Strategies. Acta Physico-Chimica Sinica, 2024, 40(9): 2308051-0. doi: 10.3866/PKU.WHXB202308051
-
[20]
Xiaogang YANG , Xinya ZHANG , Jing LI , Huilin WANG , Min LI , Xiaotian WEI , Xinci WU , Lufang MA . Synthesis, structure, and photoelectric properties of Zinc(Ⅱ)-triphenylamine based metal-organic framework. Chinese Journal of Inorganic Chemistry, 2025, 41(10): 2078-2086. doi: 10.11862/CJIC.20250167
-
[1]
Metrics
- PDF Downloads(0)
- Abstract views(1647)
- HTML views(127)
Login In
DownLoad:
