Citation:
Gao Yanian, Zhang Mengye, Qian Haiyan, Xie Qianwen, Chen Ming, Xu Shuangshuang, Rong Liangce. A Rapid and Green Synthesis of 8-Aryl-5, 7, 7-tricyanoisoquinoline Derivatives at Room Temperature under Solvent-Free and Catalyst-Free Conditions[J]. Chinese Journal of Organic Chemistry,
;2016, 36(7): 1706-1711.
doi:
10.6023/cjoc201512025
-
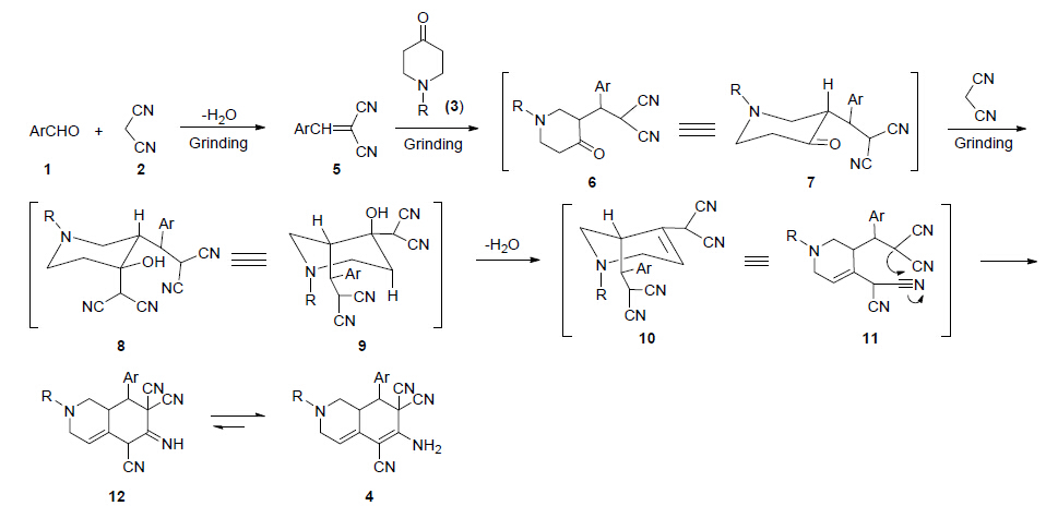
A facile and rapid synthesis of 8-aryl-5, 7, 7-tricyanoisoquinoline derivatives from the reaction of aromatic aldehydes, malononitrile, and N-substituted-4-piperidones at room temperature under solvent-free and catalyst-free conditions. The N-ethylpiperidin-4-one was first used for the synthesis of 6-amino-2-ethyl-8-aryl-2, 3, 8, 8a-tetrahydroisoquinoline-5, 7, 7(1H)-tricarbonitrile derivatives. This method offers several advantages in terms of its mild conditions, available raw materials, simple operation, high yields, short reaction time and green process. The products were identified by IR, 1H NMR and HRMS. The reported method is the efficient approach for the synthesis of isoquinoline derivatives.
-
-
-
[1]
Bentley, K. W. Nat. Prod. Rep. 2004, 21, 395. (b) Bentley, K. W. Nat. Prod. Rep. 2006, 23, 444. (c) Bhadra, K.; Kumar, G. S. Med. Res. Rev. 2011, 31, 821.
- [2]
-
[3]
Pictet, A.; Spengler, T. Ber. Dtsch. Chem. Ges. 1911, 44, 2030.
-
[4]
Roy, S.; Roy, S.; Neuenswander, B.; Hill, D. Larock, R. C. J. Comb. Chem. 2009, 11, 1061.
-
[5]
Shi, Z.; Koester, D. C.; Boultadakis-Arapinis, M.; Glorius, F. J. Am. Chem. Soc. 2013, 135, 12204.
-
[6]
Villuendas, P.; Urriolabeitia, E. P. J. Org. Chem. 2013, 78, 5254.
-
[7]
Niu, Y. N.; Yan, Z. Y.; Gao, G. L.; Wang, H. L.; Shu, X. Z.; Ji, K. G.; Liang, Y. M. J. Org. Chem. 2009, 74, 2893. (b) Ohta, Y.; Kubota, Y.; Watabe, T.; Chiba, H.; Oishi, S.; Fujii, N.; Ohno, H. J. Org. Chem. 2009, 74, 6299. (c) Zhang, Z. W.; Lin, A.; Yang, J. J. Org. Chem. 2014, 79, 704. (d) Chuang, S. C.; Gandeepan, P.; Cheng, C. H. Org. Lett. 2013, 15, 5750.
-
[8]
-
[9]
Wang, X. S.; Wu, J. R.; Li, Q.; Zhang, M. M.; J. Heterocycl. Chem. 2009, 46, 1355.
-
[10]
Cui, S. L.; Lin, X. F.; Wang, Y. G. J. Org. Chem. 2005, 70, 2866.
-
[11]
Rong, L. C.; Han, H. X.; Jiang, H.; Tu, S. J. Synth. Commun. 2008, 38, 3530.
-
[12]
Victory, P.; Alvarez-Larena, A.; Germain, G.; Kessels, R.; Piniella, J. F.; VidaI-Ferran, A. Tetrahedron 1995, 51, 235.
-
[1]
-
-
-
[1]
Yurong Tang , Yunren Shi , Yi Xu , Bo Qin , Yanqin Xu , Yunfei Cai . Innovative Experiment and Course Transformation Practice of Visible-Light-Mediated Photocatalytic Synthesis of Isoquinolinone. University Chemistry, 2024, 39(5): 296-306. doi: 10.3866/PKU.DXHX202311087
-
[2]
Huijuan Liao , Yulin Xiao , Dong Xue , Mingyu Yang , Jianyang Dong . Synthesis of 1-Benzyl Isoquinoline via the Minisci Reaction. University Chemistry, 2025, 40(7): 294-299. doi: 10.12461/PKU.DXHX202409092
-
[3]
Tao Cao , Fang Fang , Nianguang Li , Yinan Zhang , Qichen Zhan . Green Synthesis of p-Hydroxybenzonitrile Catalyzed by Spinach Extracts under Red-Light Irradiation: Research and Exploration of Innovative Experiments for Pharmacy Undergraduates. University Chemistry, 2024, 39(5): 63-69. doi: 10.3866/PKU.DXHX202309098
-
[4]
Feng Sha , Xinyan Wu , Ping Hu , Wenqing Zhang , Xiaoyang Luan , Yunfei Ma . Design of Course Ideology and Politics for the Comprehensive Organic Synthesis Experiment of Benzocaine. University Chemistry, 2024, 39(2): 110-115. doi: 10.3866/PKU.DXHX202307082
-
[5]
Chi Li , Jichao Wan , Qiyu Long , Hui Lv , Ying Xiong . N-Heterocyclic Carbene (NHC)-Catalyzed Amidation of Aldehydes with Nitroso Compounds. University Chemistry, 2024, 39(5): 388-395. doi: 10.3866/PKU.DXHX202312016
-
[6]
Renxiu Zhang , Xin Zhao , Yunfei Zhang . Application of Electrochemical Synthesis in the Teaching of Organic Chemistry. University Chemistry, 2025, 40(4): 174-180. doi: 10.12461/PKU.DXHX202406116
-
[7]
Jinyao Du , Xingchao Zang , Ningning Xu , Yongjun Liu , Weisi Guo . Electrochemical Thiocyanation of 4-Bromoethylbenzene. University Chemistry, 2024, 39(6): 312-317. doi: 10.3866/PKU.DXHX202310039
-
[8]
Xiaofeng Xia , Jielian Zhu . Innovative Comprehensive Experimental Design: Synthesis of 6-Fluoro-N-benzoyl Tetrahydroquinoline. University Chemistry, 2024, 39(10): 344-352. doi: 10.12461/PKU.DXHX202405063
-
[9]
Yongqing Kuang , Jie Liu , Jianjun Feng , Wen Yang , Shuanglian Cai , Ling Shi . Experimental Design for the Two-Step Synthesis of Paracetamol from 4-Hydroxyacetophenone. University Chemistry, 2024, 39(8): 331-337. doi: 10.12461/PKU.DXHX202403012
-
[10]
Liangzhen Hu , Li Ni , Ziyi Liu , Xiaohui Zhang , Bo Qin , Yan Xiong . A Green Chemistry Experiment on Electrochemical Synthesis of Benzophenone. University Chemistry, 2024, 39(6): 350-356. doi: 10.3866/PKU.DXHX202312001
-
[11]
Yanglin Jiang , Mingqing Chen , Min Liang , Yige Yao , Yan Zhang , Peng Wang , Jianping Zhang . Experimental and Theoretical Investigations of Solvent Polarity Effect on ESIPT Mechanism in 4′-N,N-diethylamino-3-hydroxybenzoflavone. Acta Physico-Chimica Sinica, 2025, 41(2): 2309027-0. doi: 10.3866/PKU.WHXB202309027
-
[12]
Xiyuan Zhang , Rui Dong , Yang Yang , Jiapeng Ding , Zhiwei Miao . Palladium-Catalyzed Tandem Cyclization of 4-Vinylbenzoxazinone and Indene-2-carbaldehyde: A Comprehensive Organic Chemistry Experiment. University Chemistry, 2025, 40(9): 361-367. doi: 10.12461/PKU.DXHX202410062
-
[13]
Lirui Shen , Kun Liu , Ying Yang , Dongwan Li , Wengui Chang . Synthesis and Application of Decanedioic Acid-N-Hydroxysuccinimide Ester: Exploration of Teaching Reform in Comprehensive Applied Chemistry Experiment. University Chemistry, 2024, 39(8): 212-220. doi: 10.3866/PKU.DXHX202312035
-
[14]
Qianping Li , Hua Guan , Changfeng Wan , Yonghai Song , Jianwen Jiang . 大学有机化学复习课项目式教学——以“液晶化合物4-正戊基苯甲酸-4′-正戊基苯酯的合成路线设计与产品制备”为例. University Chemistry, 2025, 40(8): 100-116. doi: 10.12461/PKU.DXHX202410070
-
[15]
Yahui HAN , Jinjin ZHAO , Ning REN , Jianjun ZHANG . Synthesis, crystal structure, thermal decomposition mechanism, and fluorescence properties of benzoic acid and 4-hydroxy-2, 2′: 6′, 2″-terpyridine lanthanide complexes. Chinese Journal of Inorganic Chemistry, 2025, 41(5): 969-982. doi: 10.11862/CJIC.20240395
-
[16]
Minna Ma , Yujin Ouyang , Yuan Wu , Mingwei Yuan , Lijuan Yang . Green Synthesis of Medical Chemiluminescence Reagents by Photocatalytic Oxidation. University Chemistry, 2024, 39(5): 134-143. doi: 10.3866/PKU.DXHX202310093
-
[17]
Caixia Lin , Ting Liu , Zhaojiang Shi , Hong Yan , Keyin Ye , Yaofeng Yuan . Innovative Experiment of Electrochemical Dearomative Spirocyclization of N-Acyl Sulfonamides. University Chemistry, 2025, 40(4): 359-366. doi: 10.12461/PKU.DXHX202406107
-
[18]
Cong-Bin Ji , Ding-Xiong Xie , Mei Chen , Ye-Ying Lan , Bao-Hua Zhang , Ji-Ying Yang , Zheng-Hui Kang , Shu-Jie Chen , Yu-Wei Zhang , Yun-Lin Liu . Green synthesis of 2-trifluoromethylquinoline skeletons via organocatalytic N-[(α-trifluoromethyl)vinyl]isatins CN bond activation. Chinese Chemical Letters, 2025, 36(7): 110598-. doi: 10.1016/j.cclet.2024.110598
-
[19]
Jianyu Qin , Yuejiao An , Yanfeng Zhang . In Situ Assembled ZnWO4/g-C3N4 S-Scheme Heterojunction with Nitrogen Defect for CO2 Photoreduction. Acta Physico-Chimica Sinica, 2024, 40(12): 2408002-0. doi: 10.3866/PKU.WHXB202408002
-
[20]
Yifeng TAN , Ping CAO , Kai MA , Jingtong LI , Yuheng WANG . Synthesis of pentaerythritol tetra(2-ethylthylhexoate) catalyzed by h-MoO3/SiO2. Chinese Journal of Inorganic Chemistry, 2024, 40(11): 2155-2162. doi: 10.11862/CJIC.20240147
-
[1]
Metrics
- PDF Downloads(0)
- Abstract views(1035)
- HTML views(126)
Login In
DownLoad: