Citation:
Tang Kun, Zhang Pengchao, Wang Sheng, Qiu Na, Zhang Fuli. One-Step Synthesis of Novel Asymmetric Trimethine Indocyanine Fluorescent Dye and Fluorescent Labeling[J]. Chinese Journal of Organic Chemistry,
;2016, 36(7): 1700-1705.
doi:
10.6023/cjoc201511020
-
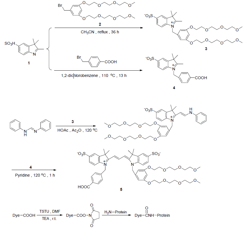
A novel water-soluble asymmetric trimethine cyanine dye which contains one nonionic hydrophilic group was first synthesized, which was prepared from one-step synthesis with N-carboxybenzyl-2, 3, 3-trimethyl-3H-indol-5-sulfonic acid, N, N′-diphenylformamidine and 2, 3, 3-trimethyl-3H-indol-5-sulfonic acid with PEG. The pure title compound could be obtained by using the self-made C18 reversed-phase chromatographic column. The structure of the product was identified by NMR and HRMS. The spectra character and photostability of this dye were detected, protein labeling of albumin bovine serum (BSA) and cell stain with this dye were investigated. The results showed that the yield of the target compound could reach 73% by simple synthesis and purification, the fluorescence quantum yield was 0.3, the D/P of protein labeling was 1.87. The dye could effectively distinguish between the fixed cells and living cells, because of the significant differences in the staining results.
-
-
-
[1]
Wang, K.; Liu, Z.-L.; Jiang, K. Acta Chim. Sinica 2014, 72, 590 (in Chinese). (王魁, 刘自力, 蒋凯, 化学学报, 2014, 72, 590.)
-
[2]
Zhang, S.-X.; Yang, X.-B.; Wen, X.-H.; Ding, S.-T.; Wang, A.-B. Chin. J. Org. Chem. 2014, 34, 223 (in Chinese). (张守鑫, 杨小兵, 温晓红, 丁松涛, 王安邦, 有机化学, 2014, 34, 223.)
-
[3]
Chen, X.-Y.; Guo, L.; Zheng, C.-G.; Gao, H.-Y.; Wang, H.-J.; Zhang, D. Chin. J. Org. Chem. 2012, 32, 1445 (in Chinese). (陈秀英, 郭琳, 郑昌戈, 高海燕, 王海军, 张丹, 有机化学, 2012, 32, 1445.)
-
[4]
Gao, L.-H.; Zhang, J.-F.; Sun, Q.-L.; Wang, K.-Z. Acta Chim. Sinica 2012, 70, 441 (in Chinese). (高丽华, 张金凤, 孙庆玲, 王科志, 化学学报, 2012, 70, 441.)
-
[5]
Park, J. W.; Kim, Y. S.; Lee, K. J. Bioconjugate Chem. 2012, 23, 350.
-
[6]
Stennett, E. M. S.; Ma, N.; Vaart, A. J. Phys. Chem. B 2014, 118, 152.
-
[7]
Kozer, N.; Barua, D.; Henderson, C.; Nice, E. C.; Burgess, A. W.; Hlavacek, W. S. Biochemistry 2014, 53, 2594.
- [8]
-
[9]
Song, B.; Liu, H.; Yu, C.-C.; Ma, W.-H.; Peng, X.-J. Acta Chim. Sinica 2010, 68, 2569 (in Chinese). (宋波, 刘浩, 余翠翠, 马文辉, 彭孝军, 化学学报, 2010, 68, 2569.)
-
[10]
Song, F.-L.; Wang, L.; Qiao, X.-Q.; Wang, B.-S.; Sun, S.-G.; Fan, J.-L.; Zhang, L.-H.; Peng, X.-J. Org. Biomol. Chem. 2010, 8, 4249.
-
[11]
Tang, K.; Qiu, N.; Wu, P.; Jia, C.-H.; Wang, S.; Zhang, F.-L. Chin. J. Appl. Chem. 2014, 31, 1256 (in Chinese). (汤昆, 邱娜, 吴品, 贾春辉, 王升, 张付利, 应用化学, 2014, 31, 1256.)
-
[12]
Pauli, J.; Grabolle, M.; Brehm, R. B.; Spieles, M. Bioconjugate Chem. 2011, 22, 1298.
-
[13]
Shen, B.-F.; Chen, Z. L.; Liu, M.-P. Recombinant Antibody, Science Press, Beijing, 2005, pp. 440-441 (in Chinese). (沈倍奋, 陈志南, 刘民培, 重组抗体, 科学出版社, 北京, 2005, p. 440-441.)
-
[14]
Vasilev, A.; Deligeorgiev, T.; Kaloyanova, S. Color Technol. 2010, 127, 69.
-
[15]
Oushiki, D.; Kojima, H.; Terai, T.; Arita, M.; Hanaoka, K.; Urano, Y.; Nagano, T. J. Am. Chem. Soc. 2010, 132, 2795.
-
[16]
Rio, Y.; Nicoud, J. F.; Rehspringer, J. L.; Nierengarten, J. F. Tetrahedron Lett. 2000, 41, 10207.
-
[17]
Wen, J.-F.; Liu, R.-T. Sci. Technol. Eng. 2012, 12, 1185 (in Chinense). (温俊峰, 刘日涛, 科学技术与工程, 2012, 12, 1185.)
-
[1]
-
-
-
[1]
Jianjun Liu , Xue Yang , Chi Zhang , Xueyu Zhao , Zhiwei Zhang , Yongmei Chen , Qinghong Xu , Shao Jin . Preparation and Fluorescence Characterization of CdTe Semiconductor Quantum Dots. University Chemistry, 2024, 39(7): 307-315. doi: 10.3866/PKU.DXHX202311031
-
[2]
Xinyi Hong , Tailing Xue , Zhou Xu , Enrong Xie , Mingkai Wu , Qingqing Wang , Lina Wu . Non-Site-Specific Fluorescent Labeling of Proteins as a Chemical Biology Experiment. University Chemistry, 2024, 39(4): 351-360. doi: 10.3866/PKU.DXHX202310010
-
[3]
Xinran Zhang , Siqi Liu , Yichi Chen , Qingli Zou , Qinghong Xu , Yaqin Huang . From Protein to Energy Storage Materials: Edible Gelatin Jelly Electrolyte. University Chemistry, 2025, 40(7): 255-266. doi: 10.12461/PKU.DXHX202408104
-
[4]
Feng Lu , Tao Wang , Qi Wang . Preparation and Characterization of Water-Soluble Silver Nanoclusters: A New Design and Teaching Practice in Materials Chemistry Experiment. University Chemistry, 2025, 40(4): 375-381. doi: 10.12461/PKU.DXHX202406005
-
[5]
Yanxi LIU , Mengjia XU , Haonan CHEN , Quan LIU , Yuming ZHANG . A fluorescent-colorimetric probe for peroxynitrite-anion-imaging in living cells. Chinese Journal of Inorganic Chemistry, 2025, 41(6): 1112-1122. doi: 10.11862/CJIC.20240423
-
[6]
Siyi ZHONG , Xiaowen LIN , Jiaxin LIU , Ruyi WANG , Tao LIANG , Zhengfeng DENG , Ao ZHONG , Cuiping HAN . Targeting imaging and detection of ovarian cancer cells based on fluorescent magnetic carbon dots. Chinese Journal of Inorganic Chemistry, 2024, 40(8): 1483-1490. doi: 10.11862/CJIC.20240093
-
[7]
Pengli GUAN , Renhu BAI , Xiuling SUN , Bin LIU . Trianiline-derived aggregation-induced emission luminogen probe for lipase detection and cell imaging. Chinese Journal of Inorganic Chemistry, 2025, 41(9): 1817-1826. doi: 10.11862/CJIC.20250058
-
[8]
Zeyu XU , Anlei DANG , Bihua DENG , Xiaoxin ZUO , Yu LU , Ping YANG , Wenzhu YIN . Evaluation of the efficacy of graphene oxide quantum dots as an ovalbumin delivery platform and adjuvant for immune enhancement. Chinese Journal of Inorganic Chemistry, 2024, 40(6): 1065-1078. doi: 10.11862/CJIC.20240099
-
[9]
Peiran ZHAO , Yuqian LIU , Cheng HE , Chunying DUAN . A functionalized Eu3+ metal-organic framework for selective fluorescent detection of pyrene. Chinese Journal of Inorganic Chemistry, 2024, 40(4): 713-724. doi: 10.11862/CJIC.20230355
-
[10]
Zhaoxin LI , Ruibo WEI , Min ZHANG , Zefeng WANG , Jing ZHENG , Jianbo LIU . Advancements in the construction of inorganic protocells and their cell mimic and bio-catalytical applications. Chinese Journal of Inorganic Chemistry, 2024, 40(12): 2286-2302. doi: 10.11862/CJIC.20240235
-
[11]
Shuyu Liu , Xiaomin Sun , Bohan Song , Gaofeng Zeng , Bingbing Du , Chongshen Guo , Cong Wang , Lei Wang . Design and Fabrication of Phospholipid-Vesicle-based Artificial Cells towards Biomedical Applications. University Chemistry, 2024, 39(11): 182-188. doi: 10.12461/PKU.DXHX202404113
-
[12]
Shipeng WANG , Shangyu XIE , Luxian LIANG , Xuehong WANG , Jie WEI , Deqiang WANG . Piezoelectric effect of Mn, Bi co-doped sodium niobate for promoting cell proliferation and bacteriostasis. Chinese Journal of Inorganic Chemistry, 2024, 40(10): 1919-1931. doi: 10.11862/CJIC.20240094
-
[13]
Peng GENG , Guangcan XIANG , Wen ZHANG , Haichuang LAN , Shuzhang XIAO . Hollow copper sulfide loaded protoporphyrin for photothermal-sonodynamic therapy of cancer cells. Chinese Journal of Inorganic Chemistry, 2024, 40(10): 1903-1910. doi: 10.11862/CJIC.20240155
-
[14]
Jiahao Zeng , Hui Chao . 诱导程序性细胞死亡的金属抗肿瘤药物研究. University Chemistry, 2025, 40(6): 145-159. doi: 10.12461/PKU.DXHX202406019
-
[15]
Yufang GAO , Nan HOU , Yaning LIANG , Ning LI , Yanting ZHANG , Zelong LI , Xiaofeng LI . Nano-thin layer MCM-22 zeolite: Synthesis and catalytic properties of trimethylbenzene isomerization reaction. Chinese Journal of Inorganic Chemistry, 2024, 40(6): 1079-1087. doi: 10.11862/CJIC.20240036
-
[16]
Di WU , Ruimeng SHI , Zhaoyang WANG , Yuehua SHI , Fan YANG , Leyong ZENG . Construction of pH/photothermal dual-responsive delivery nanosystem for combination therapy of drug-resistant bladder cancer cell. Chinese Journal of Inorganic Chemistry, 2024, 40(9): 1679-1688. doi: 10.11862/CJIC.20240135
-
[17]
Li'na ZHONG , Jingling CHEN , Qinghua ZHAO . Synthesis of multi-responsive carbon quantum dots from green carbon sources for detection of iron ions and L-ascorbic acid. Chinese Journal of Inorganic Chemistry, 2025, 41(4): 709-718. doi: 10.11862/CJIC.20240280
-
[18]
Xinyu ZENG , Guhua TANG , Jianming OUYANG . Inhibitory effect of Desmodium styracifolium polysaccharides with different content of carboxyl groups on the growth, aggregation and cell adhesion of calcium oxalate crystals. Chinese Journal of Inorganic Chemistry, 2024, 40(8): 1563-1576. doi: 10.11862/CJIC.20230374
-
[19]
Tiejin Chen , Xiaokuang Xue , Jian Li , Minhui Cui , Yongliang Hao , Mianqi Xue , Haihua Xiao , Jiechao Ge , Pengfei Wang . Membrane-anchoring nanoengineered carbon dots as a pyroptosis amplifier for robust tumor photodynamic-immunotherapy. Acta Physico-Chimica Sinica, 2025, 41(10): 100113-0. doi: 10.1016/j.actphy.2025.100113
-
[20]
Bing LIU , Huang ZHANG , Hongliang HAN , Changwen HU , Yinglei ZHANG . Visible light degradation of methylene blue from water by triangle Au@TiO2 mesoporous catalyst. Chinese Journal of Inorganic Chemistry, 2024, 40(5): 941-952. doi: 10.11862/CJIC.20230398
-
[1]
Metrics
- PDF Downloads(0)
- Abstract views(1265)
- HTML views(218)
Login In
DownLoad: