Citation:
Hou Baolong, Ai Yun, Wang Cuiling, Zhang Ning, Yang Liu, Liu Zhulan, Liu Jianli. Design, Synthesis and Structure-Activity Relationship ofTryptanthrins as Antitumor Agents[J]. Chinese Journal of Organic Chemistry,
;2016, 36(1): 121-129.
doi:
10.6023/cjoc201507012
-
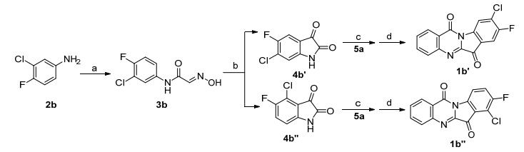
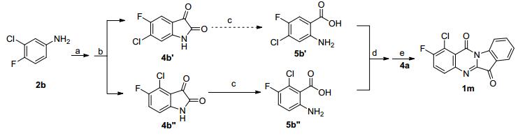
The isatin derivatives 4a~4f were prepared and underwent oxidative hydrolysis to give the anthranilic acid 5a~5d. A and/or D-ring substituted tryptanthrins were designed and synthesized from 4a~4f to 5a~5d. Then C-ring Schiff bases of tryptanthrin were synthesized by condensation of 6-carbonyl with hydrazine and hydroxylamine hydrochloride. Finally, the B-ring was replaced with piperazine to give 11H-indeno[1, 2-b]quinoxalin-11-one. 20 compounds were synthesized and their structures were confirmed by 1H NMR, IR and elemental analysis. To best of our knowledge, 13 of them were unknown in the literature. The antitumor activities of synthesized compounds were evaluated against A549 cell line in vitro. The preliminary results indicated that 1b, 1c, 1i, 1j, 1p and 1q showed good antitumor activity with the IC50 of 3.58, 0.99, 1.03, 2.10, 0.51 and 0.43 μmol·L-1, respectively. Structure-activity relationship showed that halogen substitution located in the D-ring enhanced the anti-tumor activity, while the same substitution located in the A ring reduced the activity. The anti-tumor activity disappeared when B-ring was replaced by piperazine, while there was no significant difference for tryptanthrin and its C-ring Schiff base.
-
Keywords:
- tryptanthrin,
- isatin,
- anthranilic acid,
- antitumor activity
-
-
-
[1]
Honda, G.; Tabata, M. Planta Med. 1979, 36, 85. doi: 10.1055/s-0028-1097245
-
[2]
Honda, G.; Tosirisuk, V.; Tabata, M. Planta Med. 1980, 38, 275. doi: 10.1055/s-2008-1074877
-
[3]
Henning, D.; Dietmar, B.; Matthias, H. Planta Med. 2002, 68, 152. doi: 10.1055/s-2002-20252
-
[4]
Schindler, W.; Zähner, H. Arch. Mikrobiol1971, 79, 187. doi: 10.1007/BF00408783
-
[5]
Yurngdong, J. Arch. Pharm. Res. 2013, 36, 517. doi: 10.1007/s12272-013-0091-9
-
[6]
Bandekar, P. P.; Roopnarine, K. A.; Parekh, V. J.; Mitchell, T. R.; Novak, M. J.; Sinden, R. R. J. Med. Chem. 2010, 53, 3558. doi: 10.1021/jm901847f
-
[7]
Takel, Y.; Kunikata, T.; Aga, M.; Inoue, S.; Ushio, S.; Iwaki, K.; Ikeda, M.; Kurimoto, M. J. Biol. Pharm. Bull. 2003, 26, 365. doi: 10.1248/bpb.26.365
-
[8]
Taterao, M.; Sachin, P.; Kumar, A.; Srinivasan, V. I. ARKIVOC 2008, xiv, 100.
-
[9]
Bhattacharjee, A. K.; Skanchy, D. J.; Jennings, B.; Hudson, T. H.; Brendle, J. J.; Werbovetz, K. A. Bioorg. Med. Chem. 2002, 10, 1979. doi: 10.1016/S0968-0896(02)00013-5
-
[10]
Sharma, V. M.; Prasanna, P.; Seshu, K. V. A.; Renuka, B.; Rao, C. V. L.; Kumar, G. S.; Narasimhulu, C. P.; Babu, P. A.; Puranik, R. C.; Subramanyam, D.; Venkateswarlu, A.; Rajagopal, S.; Kumar, K. B. S.; Rao, C. S.; Mamidi, N. V. S. R.; Deevi, D. S.; Ajaykumar, R.; Rajagopalan, R. Bioorg. Med. Chem. Lett. 2002, 12(17), 2303. doi: 10.1016/S0960-894X(02)00431-6
-
[11]
Yu, S. T.; Chern, J. W.; Chen, T. M.; Chiu, Y. F.; Chen, H. T.; Chen, Y. H. Acta Pharmacol. Sin. 2010, 31, 259. doi: 10.1038/aps.2009.198
-
[12]
Pathnia, A. S.; Kumar, S.; Guru, S. K.; Bhushan, S.; Sharma, P. R.; Aithagani, S. K.; Singh, P. P.; Vishwakarma, R. A.; Kumar, A.; Malik, F. PLoS One 2014, 9, e110411. doi: 10.1371/journal.pone.0110411
-
[13]
Hwang, J. M.; Oh, T.; Kaneko, T.; Upton, A. M.; Franzblau, S. G.; Ma, Z.; Cho, S. N.; Kim, P. J. Nat. Prod. 2013, 76, 354. doi: 10.1021/np3007167
-
[14]
Pergola, C.; Jazzar, B.; Rossi, A.; Northoff, H.; Hamburger, M.; Sautebin, L.; Werz, O. Br. J. Pharmacol. 2012, 165, 765. doi: 10.1111/j.1476-5381.2011.01605.x
-
[15]
Friedlander, N.; Roschdestwensky, P. Chem. Ber. 1915, 48, 1841. doi: 10.1002/(ISSN)1099-0682
-
[16]
Eguehi, S. ARKIVOC 2005, 11, 98.
-
[17]
Bergman, J.; Lindstrm, J. O.; Tilstam, U. Tetrahedron 1985, 41, 2879. doi: 10.1016/S0040-4020(01)96609-8
-
[18]
Yu, S. T.; Chern, J. W.; Chen, T. M.; Chiu, Y. F.; Chen, H. T.; Chen, Y. H. Acta Pharmacol. Sin. 2010, 31, 259. doi: 10.1038/aps.2009.198
-
[19]
Wang, C. L.; Hou, B. L.; Zhang, N.; Sun, Y. N.; Liu, J. L. Chem. J. Chin. Univ.2015, 36, 274 (in Chinese).
-
[20]
Wang, Z.; Wang, C. L.; Sun, Y. N.; Zhang, N.; Liu, Z. L.; Liu, J. L. Tetrahedron 2014, 70.
-
[21]
Gao, W. T.; Zhao, P. B.; Zhao, B. B.; Li, Y. Chin. J. Org. Chem. 2014, 34, 126 (in Chinese). doi: 10.6023/cjoc201307020
-
[22]
Wang, C. L.; Liu, Z. L.; Hou, B. L.; Wang, J.; Zhang, N.; Liu, J. L. J. Northwest Univ.(Nat. Sci. Ed.) 2011, 41, 817 (in Chinese).
-
[23]
Stiff, C.; Graber, D. R.; Thorarensen, A.; Wakefield, B. D.; Marotti, K. R.; Melchior, E. P.; Sweeney, M. T.; Han, F.; Rohrer, D. C.; Zurenkoc, G. E.; Romeroa, D. L. Bioorg. Med. Chem. Lett. 2008, 18, 6293. doi: 10.1016/j.bmcl.2007.08.041
-
[24]
Zhao, Y.; Ouyang, G. P.; Xu, W.M.; Jin, L.H.; Yuan, K. Chin. J. Org. Chem. 2010, 30, 1093 (in Chinese).
-
[25]
Zhou, W.; Liu, X. F.; Tu, Z. C.; Zhang, L. W.; K, X.; Bai, F.; Zhao, Z. J.; X, Y. F.; Deng, K.; Li, H. L. J. Med. Chem. 2013, 56, 7821. doi: 10.1021/jm401045n
-
[26]
Wu, C. H.; Coumar, M. S.; Chu, C. Y.; Lin, W. H.; Chen, Y. R.; Chen, C. T.; Shiao, H. Y.; Rafi, S.; Wang, S. Y.; Hsu, H.; Chen, C. H.; Chang, C. Y.; Chang, T. Y.; Lien, T. W.; Fang, M. Y.; Yeh, K. C.; Chen, C. P.; Yeh, T. K.; Hsieh, S. H.; Hsu, J. T. A.; Liao, C. C.; Chao, Y. S.; Hsieh, H. P. J. Med. Chem. 2010, 53, 7316. doi: 10.1021/jm100607r
-
[27]
Chen, Y.; Bai, S.; He, H. W.; Yang, G. Z. Chin. J. Org. Chem. 2014, 34, 2362 (in Chinese). doi: 10.6023/cjoc201405018
-
[28]
Zhou, L. H.; Tu, S. J.; Shi, D. Q. J. Chem. Res. 1998, 398.
-
[29]
Andreas, G.; Guenther, S.; Gerhard, W. DE 4114990, 1992 [Chem. Abstr. 1993, 119, 10457].
-
[30]
Bogdana, K.; Amber, C. N.; Kelsi, A. D.; Peter, G. Bioorg. Med. Chem. Lett. 2013, 23, 1032. doi: 10.1016/j.bmcl.2012.12.024
-
[31]
Manickam, B.; Raman, S.; Jayakumar, S. Tetrahedron Lett. 2014, 55, 5808. doi: 10.1016/j.tetlet.2014.08.084
-
[1]
-
-
-
[1]
Jing WU , Puzhen HUI , Huilin ZHENG , Pingchuan YUAN , Chunfei WANG , Hui WANG , Xiaoxia GU . Synthesis, crystal structures, and antitumor activities of transition metal complexes incorporating a naphthol-aldehyde Schiff base ligand. Chinese Journal of Inorganic Chemistry, 2024, 40(12): 2422-2428. doi: 10.11862/CJIC.20240278
-
[2]
Ping Song , Nan Zhang , Jie Wang , Rui Yan , Zhiqiang Wang , Yingxue Jin . Experimental Teaching Design on Synthesis and Antitumor Activity Study of Cu-Pyropheophorbide-a Methyl Ester. University Chemistry, 2024, 39(6): 278-286. doi: 10.3866/PKU.DXHX202310087
-
[3]
Xiaotong LU , Pan ZHANG , Zijie ZHAO , Lei HUANG , Hongwei ZUO , Lili LIANG . Antitumor and antibacterial activities of pyridyl Schiff base indium and dysprosium complexes. Chinese Journal of Inorganic Chemistry, 2025, 41(8): 1523-1532. doi: 10.11862/CJIC.20250073
-
[4]
Jiahao Zeng , Hui Chao . 诱导程序性细胞死亡的金属抗肿瘤药物研究. University Chemistry, 2025, 40(6): 145-159. doi: 10.12461/PKU.DXHX202406019
-
[5]
Jian Li , Yu Zhang , Rongrong Yan , Kaiyuan Sun , Xiaoqing Liu , Zishang Liang , Yinan Jiao , Hui Bu , Xin Chen , Jinjin Zhao , Jianlin Shi . Highly Efficient, Targeted, and Traceable Perovskite Nanocrystals for Photoelectrocatalytic Oncotherapy. Acta Physico-Chimica Sinica, 2025, 41(5): 100042-0. doi: 10.1016/j.actphy.2024.100042
-
[6]
Hanxue LIU , Shijie LI , Meng REN , Xuling XUE , Hongke LIU . Design and antitumor properties of dehydroabietic acid functionalized cyclometalated iridium(Ⅲ) complex. Chinese Journal of Inorganic Chemistry, 2025, 41(8): 1483-1494. doi: 10.11862/CJIC.20250031
-
[7]
Yongqing Kuang , Jie Liu , Jianjun Feng , Wen Yang , Shuanglian Cai , Ling Shi . Experimental Design for the Two-Step Synthesis of Paracetamol from 4-Hydroxyacetophenone. University Chemistry, 2024, 39(8): 331-337. doi: 10.12461/PKU.DXHX202403012
-
[8]
Ling Liu , Haibin Wang , Genrong Qiang . Curriculum Ideological and Political Design for the Comprehensive Preparation Experiment of Ethyl Benzoate Synthesized from Benzyl Alcohol. University Chemistry, 2024, 39(2): 94-98. doi: 10.3866/PKU.DXHX202304080
-
[9]
Yanhui Guo , Li Wei , Zhonglin Wen , Chaorong Qi , Huanfeng Jiang . Recent Progress on Conversion of Carbon Dioxide into Carbamates. Acta Physico-Chimica Sinica, 2024, 40(4): 2307004-0. doi: 10.3866/PKU.WHXB202307004
-
[10]
Yi DING , Peiyu LIAO , Jianhua JIA , Mingliang TONG . Structure and photoluminescence modulation of silver(Ⅰ)-tetra(pyridin-4-yl)ethene metal-organic frameworks by substituted benzoates. Chinese Journal of Inorganic Chemistry, 2025, 41(1): 141-148. doi: 10.11862/CJIC.20240393
-
[11]
Jinrong Bao , Jinglin Zhang , Wenxian Li , Xiaowei Zhu . 苯甲酸稀土配合物的制备及性能表征——基于应用化学专业人才培养的综合化学实验案例分析. University Chemistry, 2025, 40(8): 218-224. doi: 10.12461/PKU.DXHX202409142
-
[12]
Yanhui Zhong , Ran Wang , Zian Lin . Analysis of Halogenated Quinone Compounds in Environmental Water by Dispersive Solid-Phase Extraction with Liquid Chromatography-Triple Quadrupole Mass Spectrometry. University Chemistry, 2024, 39(11): 296-303. doi: 10.12461/PKU.DXHX202402017
-
[13]
Linjie ZHU , Xufeng LIU . Synthesis, characterization and electrocatalytic hydrogen evolution of two di-iron complexes containing a phosphine ligand with a pendant amine. Chinese Journal of Inorganic Chemistry, 2025, 41(5): 939-947. doi: 10.11862/CJIC.20240416
-
[14]
Yahui HAN , Jinjin ZHAO , Ning REN , Jianjun ZHANG . Synthesis, crystal structure, thermal decomposition mechanism, and fluorescence properties of benzoic acid and 4-hydroxy-2, 2′: 6′, 2″-terpyridine lanthanide complexes. Chinese Journal of Inorganic Chemistry, 2025, 41(5): 969-982. doi: 10.11862/CJIC.20240395
-
[15]
Qianping Li , Hua Guan , Changfeng Wan , Yonghai Song , Jianwen Jiang . 大学有机化学复习课项目式教学——以“液晶化合物4-正戊基苯甲酸-4′-正戊基苯酯的合成路线设计与产品制备”为例. University Chemistry, 2025, 40(8): 100-116. doi: 10.12461/PKU.DXHX202410070
-
[16]
Lifang HE , Wenjie TANG , Yaoze LUO , Mingsheng LIANG , Jianxin TANG , Yuxuan WU , Fuxing ZHANG , Xiaoming ZHU . Synthesis, structure, and anticancer activity of two dialkyltin complexes constructed based on 2, 2′-bipyridin-6, 6′-dicarboxylic acid. Chinese Journal of Inorganic Chemistry, 2025, 41(8): 1601-1609. doi: 10.11862/CJIC.20250012
-
[17]
Liang TANG , Jingfei NI , Kang XIAO , Xiangmei LIU . Synthesis and X-ray imaging application of lanthanide-organic complex-based scintillators. Chinese Journal of Inorganic Chemistry, 2024, 40(10): 1892-1902. doi: 10.11862/CJIC.20240139
-
[18]
Lihui Jiang , Wanrong Dong , Hua Yang , Yongqing Xia , Hongjian Peng , Jun Yuan , Xiaoqian Hu , Zihan Zeng , Yingping Zou , Yiming Luo . Study on Extraction of p-Hydroxyacetophenone. University Chemistry, 2024, 39(11): 259-268. doi: 10.12461/PKU.DXHX202402056
-
[19]
Xiuyun Wang , Jiashuo Cheng , Yiming Wang , Haoyu Wu , Yan Su , Yuzhuo Gao , Xiaoyu Liu , Mingyu Zhao , Chunyan Wang , Miao Cui , Wenfeng Jiang . Improvement of Sodium Ferric Ethylenediaminetetraacetate (NaFeEDTA) Iron Supplement Preparation Experiment. University Chemistry, 2024, 39(2): 340-346. doi: 10.3866/PKU.DXHX202308067
-
[20]
Yue Zhao , Yanfei Li , Tao Xiong . Copper Hydride-Catalyzed Nucleophilic Additions of Unsaturated Hydrocarbons to Aldehydes and Ketones. University Chemistry, 2024, 39(4): 280-285. doi: 10.3866/PKU.DXHX202309001
-
[1]
Metrics
- PDF Downloads(0)
- Abstract views(1866)
- HTML views(396)
Login In
DownLoad: