Citation:
Man WANG, Fei YU, Wu-Jiu JIANG, Yu-Xing TAN, Fu-Xing ZHANG, Dai-Zhi KUANG. Syntheses, Crystal Structures and Biological Activity of the Diorganotin 2-(2-(4-Methoxybenzoyl)hydrazono)-3-phenylpropanoic Carboxylate Complexes[J]. Chinese Journal of Structural Chemistry,
;2020, 39(11): 1965-1972.
doi:
10.14102/j.cnki.0254–5861.2011–2747
-
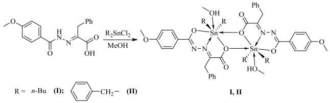
Diorganotin 2-(2-(4-methoxybenzoyl)hydrazono)-3-phenylpropanoic carboxylate complexes I {[p-CH3O-C6H4O(O)C=N-N=C(PhCH2)COO](n-Bu)2Sn(CH3OH)}2 and II {[p-CH3O-C6H4O(O)C=N-N=C(PhCH2)COO](PhCH2)2Sn(CH3OH)}2 have been synthesized. The complexes have been characterized by IR, 1H, 13C and 119Sn NMR spectra, HRMS, elemental analysis, thermal stability analysis and the crystal structures have been determined by X-ray diffraction. The crystal of complex I belongs to triclinic system, space group P
with a = 10.437(2), b = 11.576(3), c = 13.085(3) Å, α = 66.272(2)°, β = 86.920(3)°, γ = 73.367(3)°, Z = 2, V = 1383.3(5) Å3, Dc = 1.381 Mg·m–3, μ(MoKα) = 0.959 mm–1, F(000) = 592, R = 0.0233 and wR = 0.0644. The crystal of complex II is of triclinic system, space group P\begin{document}$ \overline 1 $\end{document} with a =10.446(1), b = 11.720(1), c = 13.063(2) Å, α = 84.190(1)°, β = 71.610(1)°, γ = 72.624(1)°, Z = 1, V = 1448.3(3) Å3, Dc = 1.475 Mg·m–3, μ(MoKα) = 0.925 mm–1, F(000) = 656, R = 0.0169 and wR = 0.0432. In vitro antitumor activities of both complexes were evaluated by MTT against three human cancer cell lines (NCI-H460, HepG2 and MCF7), and two complexes exhibited good antitumor activity. The interaction between complex I and calf thymus DNA were studied by UV-vis and fluorescence spectroscopy, the interaction of complex I with calf thymus DNA were intercalation.\begin{document}$ \overline 1 $\end{document} -
Keywords:
- diorganotin,
- carboxylate,
- synthesis,
- crystal structure,
- biological activity
-
-
-
[1]
Rosenberg, B.; Vancamp, L.; Trosko, J. E.; Mansour, V. H. Platinum compounds: a new class of potent antitumour agents. Nature 1969, 222, 385–386. doi: 10.1038/222385a0
-
[2]
Köberle, B.; Tomicic, M. T.; Usanova, S.; Kaina, B. Cisplatin resistance: preclinical findings and clinical implications. Bba-rev. Cancer 2010, 1806, 172–182.
-
[3]
Amable, L. Cisplatin resistance and opportunities for precision medicine. Pharmacol. Res. 2016, 106, 27–36. doi: 10.1016/j.phrs.2016.01.001
-
[4]
Kenny, R. G.; Marmion, C. J. Toward multi-targeted platinum and ruthenium drugs-a new paradigm in cancer drug treatment regimens? Chem. Rev. 2019, 119, 1058–1137. doi: 10.1021/acs.chemrev.8b00271
-
[5]
Banti, C. N.; Hadjikakou, S. K.; Sismanoglu, T.; Hadjiliadis, N. Anti-proliferative and antitumor activity of organotin(IV) compounds. An overview of the last decade and future perspectives. J. Inorg. Biochem. 2019, 194, 114–152. doi: 10.1016/j.jinorgbio.2019.02.003
-
[6]
Su, W.; Luo, Z. J.; Cui, H.; Tang, Z. F.; Li, P. Y.; Peng, B. H. Synthesis and cytotoxicity of the first arene ruthenium compound containing two thiosemicarbazone ligands. Chin. J. Struct. Chem. 2019, 38, 1543–1548.
-
[7]
Hong, M.; Geng, H. L.; Niu, M. J.; Wang, F.; Li, D. C.; Liu, J. F.; Yin, H. D. Organotin(IV) complexes derived from Schiff base N΄-[(1E)-(2-hydroxy-3-methoxyphenyl)methylidene]pyridine-4-carbohydrazone: synthesis, in vitro cytotoxicities and DNA/BSA interaction. Eur. J. Med. Chem. 2014, 86, 550–561. doi: 10.1016/j.ejmech.2014.08.070
-
[8]
Shang, X. M.; Meng, X. G.; Alegria, E. C. B. A.; Li, Q. S.; Guedes da Silva, M. F. C.; Kuznetsov, M. L.; Pombeiro, A. J. L. Syntheses, molecular structures, electrochemical behavior, theoretical study, and antitumor activities of organotin(IV) complexes containing 1-(4-chlorophenyl)-1-cyclopentanecarboxylato ligands. Inorg. Chem. 2011, 50, 8158–8167. doi: 10.1021/ic200635g
-
[9]
Sirajuddin, M.; Ali, S.; McKee, V.; Akhtar, N.; Andleeb, S.; Wadood, A. Spectroscopic characterizations, structural peculiarities, molecular docking study and evaluation of biological potential of newly designed organotin(IV) carboxylates. J. Photochem. Photobiol. B 2019, 197, 111516. doi: 10.1016/j.jphotobiol.2019.111516
-
[10]
Khan, A.; Parveen, S.; Khalid, A.; Shafi, S. Recent advancements in the anticancer potentials of phenylorganotin(IV) complexes. Inorg. Chim. Acta 2020, 505, 119464. doi: 10.1016/j.ica.2020.119464
-
[11]
Jiang, W. J.; Fan, S. J.; Zhou, Q.; Zhang, F. X.; Kuang, D. Z.; Tan, Y. X. Diversity of complexes based on p-nitrobenzoylhydrazide, benzoylformic acid and diorganotin halides or oxides self-assemble: cytotoxicity, the induction of apoptosis in cancer cells and DNA-binding properties. Bioorg. Chem. 2020, 94, 103402. doi: 10.1016/j.bioorg.2019.103402
-
[12]
Liu, J.; Li, Z. Q.; Yi, Y. Y.; Zhong, Y. X.; Yu, H. T.; Tan, Y. X.; Jiang, W. J. Syntheses, crystal structures and in vitro anticancer activity of four binuclear benzyltin complexes based on acylhydrazone ligand. Chin. J. Inorg. Chem. 2019, 35, 2200–2208.
-
[13]
Yu, H. T.; Tan, Y. X.; Kuang, D. Z.; Zhang, F. X.; Jiang, W. J. Synthesis, structure and biological activity of diphenyltin complexes based on O, N, O-tridentate ligands. Inorg. Chim. Acta 2019, 496, 119044. doi: 10.1016/j.ica.2019.119044
-
[14]
Li, Y. X.; Yu, H. T.; Zeng, H. T.; Liu, M. Q.; Kuang, D. Z.; Tan, Y. X.; Jiang, W. J. Two new dibenzyltin complexes based on the 2-oxo-3-phenylpropionic acid arylformylhydrazone: syntheses, crystal structures and biological activity. Chin. J. Struct. Chem. 2019, 38, 1947–1955.
-
[15]
Jiang, W. J.; Zhou, Q.; Liu, M. Q.; Zhang, F. X.; Kuang, D. Z.; Tan, Y. X. Microwave assisted synthesis of disubstituted benzyltin arylformylhydrazone complexes: anticancer activity and DNA-binding properties. Appl. Organomet. Chem. 2019, 33, e5092.
-
[16]
Sheldrick, G. M. SHELXL-97, a Program for Crystal Structure Refinement. Germany Göttingen: University of Göttingen 1997.
-
[17]
Pyle, A. M.; Rehmann, J. P.; Meshoyrer, R.; Kumar, C. V.; Turro, N. J.; Barton, J. K. Mixed-ligand complexes of ruthenium(II): factors governing binding to DNA. J. Am. Chem. Soc. 1989, 111, 3051–3058. doi: 10.1021/ja00190a046
-
[18]
Yan, C. Q.; Zhang, J. L.; Liang, T. G.; Li, Q. S. Diorganotin(IV) complexes with 4-nitro-N-phthaloyl-glycine: synthesis, characterization, antitumor activity and DNA-binding studies. Biomed. Pharmacother. 2015, 71, 119–127. doi: 10.1016/j.biopha.2015.02.027
-
[19]
Deacon, G. B.; Phillips, R. J. Relationships between the carbon-oxygen stretching frequencies of carboxylato complexes and the type of carboxylate coordination. Coordin. Chem. Rev. 1980, 33, 227–250. doi: 10.1016/S0010-8545(00)80455-5
-
[20]
Zhang, Z. J.; Zeng, H. T.; Liu, Y.; Kuang, D. Z.; Zhang, F. X.; Tan, Y. X.; Jiang, W. J. Synthesis, crystal structure and anticancer activity of the dibutyltin(IV)oxide complexes containing substituted salicylaldehyde-o-aminophenol Schiff base with appended donor functionality. Inorg. Nano-Met. Chem. 2018, 48, 486–494. doi: 10.1080/24701556.2019.1571513
-
[21]
Pretsch, E.; Bühlmann, P.; Badertscher, M. Structure Determination of Organic Compounds. Fourth ed. Berlin Heidelberg: Springer-Verlag 2009, 69–242.
-
[22]
Luo, B.; Yu, H. T.; Liu, M. Q.; Zhang, F. X.; Kuang, D. Z.; Tan, Y. X.; Jiang, W. J. Syntheses, crystal structures and biological activity of dibenzyltin complexes base on the substituted benzoyl hydrazine-pyruvic acid. Chin. J. Inorg. Chem. 2019, 35, 1212–1220.
-
[23]
Tan, Y. X.; Zhang, Z. J.; Feng, Y. L.; Yu, J. X.; Zhu, X. M.; Zhang, F. X.; Kuang, D. Z.; Jiang, W. J. Syntheses, crystal structures and biological activity of the 1D chain benzyltin complexes based on 2-oxo-propionic acid benzoyl hydrazone. J. Inorg. Organomet. P 2017, 27, 342–352. doi: 10.1007/s10904-016-0477-5
-
[24]
Tan, Y. X.; Zhang, Z. J.; Liu, Y.; Yu, J. X.; Zhu, X. M.; Kuang, D. Z.; Jiang, W. J. Synthesis, crystal structure and biological activity of the Schiff base organotin(IV) complexes based on salicylaldehyde-o-aminophenol. J. Mol. Struct. 2017, 1149, 874–881. doi: 10.1016/j.molstruc.2017.08.058
-
[25]
Tian, L. J.; Chen, L. X.; An, W. G.; Liu, X. C. Diorganotin complexes of N-[4-(diethylamino)salicylidene]-(L)-tryptophane: syntheses, structures and properties. Chin. J. Struct. Chem. 2019, 38, 1977–1985.
-
[26]
Liu, Y. Z.; Gao, H. Y.; Yi, X. G.; Li, D. P.; Li, Y. X. Crystal structures and DNA binding properties of 2-naphthoxyacetic acid Cu(II) complexes. Chin. J. Struct. Chem. 2019, 38, 1362–1369.
-
[27]
Zhao, Y.; Li, Z.; Li, H. H.; Wang, S. N.; Niu, M. J. Synthesis, crystal structure, DNA binding and in vitro cytotoxicity studies of Zn(II) complexes derived from amino-alcohol Schiff-bases. Inorg. Chim. Acta 2018, 482, 136–143. doi: 10.1016/j.ica.2018.06.008
-
[1]
-
-
-
[1]
Yao HUANG , Yingshu WU , Zhichun BAO , Yue HUANG , Shangfeng TANG , Ruixue LIU , Yancheng LIU , Hong LIANG . Copper complexes of anthrahydrazone bearing pyridyl side chain: Synthesis, crystal structure, anticancer activity, and DNA binding. Chinese Journal of Inorganic Chemistry, 2025, 41(1): 213-224. doi: 10.11862/CJIC.20240359
-
[2]
Liping GUO . Synthesis and crystal structure characterization of yttrium imido complex: The reactivity of 2-substituted-1-amino-o-carborane with yttrium dialkyl complex. Chinese Journal of Inorganic Chemistry, 2025, 41(7): 1409-1415. doi: 10.11862/CJIC.20250065
-
[3]
Jia JI , Zhaoyang GUO , Wenni LEI , Jiawei ZHENG , Haorong QIN , Jiahong YAN , Yinling HOU , Xiaoyan XIN , Wenmin WANG . Two dinuclear Gd(Ⅲ)-based complexes constructed by a multidentate diacylhydrazone ligand: Crystal structure, magnetocaloric effect, and biological activity. Chinese Journal of Inorganic Chemistry, 2025, 41(4): 761-772. doi: 10.11862/CJIC.20240344
-
[4]
Yingyue ZHANG , Liuqing KANG , Yating YANG , Xiaofen GUAN , Wenmin WANG . Crystal structure and antibacterial activity of two Gd2 complexes based on polydentate Schiff-base ligands. Chinese Journal of Inorganic Chemistry, 2025, 41(9): 1867-1877. doi: 10.11862/CJIC.20250100
-
[5]
Lulu DONG , Jie LIU , Hua YANG , Yupei FU , Hongli LIU , Xiaoli CHEN , Huali CUI , Lin LIU , Jijiang WANG . Synthesis, crystal structure, and fluorescence properties of Cd-based complex with pcu topology. Chinese Journal of Inorganic Chemistry, 2025, 41(4): 809-820. doi: 10.11862/CJIC.20240171
-
[6]
Chao LIU , Jiang WU , Zhaolei JIN . Synthesis, crystal structures, and antibacterial activities of two zinc(Ⅱ) complexes bearing 5-phenyl-1H-pyrazole group. Chinese Journal of Inorganic Chemistry, 2024, 40(10): 1986-1994. doi: 10.11862/CJIC.20240153
-
[7]
Xiaoxia WANG , Ya'nan GUO , Feng SU , Chun HAN , Long SUN . Synthesis, structure, and electrocatalytic oxygen reduction reaction properties of metal antimony-based chalcogenide clusters. Chinese Journal of Inorganic Chemistry, 2024, 40(6): 1201-1208. doi: 10.11862/CJIC.20230478
-
[8]
Xiaoling WANG , Hongwu ZHANG , Daofu LIU . Synthesis, structure, and magnetic property of a cobalt(Ⅱ) complex based on pyridyl-substituted imino nitroxide radical. Chinese Journal of Inorganic Chemistry, 2025, 41(2): 407-412. doi: 10.11862/CJIC.20240214
-
[9]
Kaimin WANG , Xiong GU , Na DENG , Hongmei YU , Yanqin YE , Yulu MA . Synthesis, structure, fluorescence properties, and Hirshfeld surface analysis of three Zn(Ⅱ)/Cu(Ⅱ) complexes based on 5-(dimethylamino) isophthalic acid. Chinese Journal of Inorganic Chemistry, 2024, 40(7): 1397-1408. doi: 10.11862/CJIC.20240009
-
[10]
Ruikui YAN , Xiaoli CHEN , Miao CAI , Jing REN , Huali CUI , Hua YANG , Jijiang WANG . Design, synthesis, and fluorescence sensing performance of highly sensitive and multi-response lanthanide metal-organic frameworks. Chinese Journal of Inorganic Chemistry, 2024, 40(4): 834-848. doi: 10.11862/CJIC.20230301
-
[11]
Ruiyan CHEN , Yanping HE , Jian ZHANG . Synthesis and third-order nonlinear optical property of Ti4L6 cage-based metal-organic framework. Chinese Journal of Inorganic Chemistry, 2025, 41(10): 2149-2156. doi: 10.11862/CJIC.20250177
-
[12]
Lu LIU , Huijie WANG , Haitong WANG , Ying LI . Crystal structure of a two-dimensional Cd(Ⅱ) complex and its fluorescence recognition of p-nitrophenol, tetracycline, 2, 6-dichloro-4-nitroaniline. Chinese Journal of Inorganic Chemistry, 2024, 40(6): 1180-1188. doi: 10.11862/CJIC.20230489
-
[13]
Xiumei LI , Yanju HUANG , Bo LIU , Yaru PAN . Syntheses, crystal structures, and quantum chemistry calculation of two Ni(Ⅱ) coordination polymers. Chinese Journal of Inorganic Chemistry, 2024, 40(10): 2031-2039. doi: 10.11862/CJIC.20240109
-
[14]
Xiumei LI , Linlin LI , Bo LIU , Yaru PAN . Syntheses, crystal structures, and characterizations of two cadmium(Ⅱ) coordination polymers. Chinese Journal of Inorganic Chemistry, 2025, 41(3): 613-623. doi: 10.11862/CJIC.20240273
-
[15]
Yukun CHEN , Kexin FENG , Bolun ZHANG , Wentao SONG , Jianjun ZHANG . Syntheses, crystal structures, and diametrically opposed mechanically-stimulated luminescence response of two Mg(Ⅱ) metal-organic frameworks. Chinese Journal of Inorganic Chemistry, 2025, 41(6): 1227-1234. doi: 10.11862/CJIC.20240448
-
[16]
Yan XU , Suzhi LI , Yan LI , Lushun FENG , Wentao SUN , Xinxing LI . Structure variation of cadmium naphthalene-diphosphonates with the changing rigidity of N-donor auxiliary ligands. Chinese Journal of Inorganic Chemistry, 2025, 41(2): 395-406. doi: 10.11862/CJIC.20240226
-
[17]
Xin MA , Ya SUN , Na SUN , Qian KANG , Jiajia ZHANG , Ruitao ZHU , Xiaoli GAO . A Tb2 complex based on polydentate Schiff base: Crystal structure, fluorescence properties, and biological activity. Chinese Journal of Inorganic Chemistry, 2024, 40(7): 1347-1356. doi: 10.11862/CJIC.20230357
-
[18]
Xinting XIONG , Zhiqiang XIONG , Panlei XIAO , Xuliang NIE , Xiuying SONG , Xiuguang YI . Synthesis, crystal structures, Hirshfeld surface analysis, and antifungal activity of two complexes Na(Ⅰ)/Cd(Ⅱ) assembled by 5-bromo-2-hydroxybenzoic acid ligands. Chinese Journal of Inorganic Chemistry, 2024, 40(9): 1661-1670. doi: 10.11862/CJIC.20240145
-
[19]
Jing WU , Puzhen HUI , Huilin ZHENG , Pingchuan YUAN , Chunfei WANG , Hui WANG , Xiaoxia GU . Synthesis, crystal structures, and antitumor activities of transition metal complexes incorporating a naphthol-aldehyde Schiff base ligand. Chinese Journal of Inorganic Chemistry, 2024, 40(12): 2422-2428. doi: 10.11862/CJIC.20240278
-
[20]
Lifang HE , Wenjie TANG , Yaoze LUO , Mingsheng LIANG , Jianxin TANG , Yuxuan WU , Fuxing ZHANG , Xiaoming ZHU . Synthesis, structure, and anticancer activity of two dialkyltin complexes constructed based on 2, 2′-bipyridin-6, 6′-dicarboxylic acid. Chinese Journal of Inorganic Chemistry, 2025, 41(8): 1601-1609. doi: 10.11862/CJIC.20250012
-
[1]
Metrics
- PDF Downloads(1)
- Abstract views(755)
- HTML views(12)
Login In
DownLoad: