应用化学   2016, Vol. 33 Issue (9): 1073-1078   PDF    
Article Options
  • PDF
  • Full Text HTML
  • Abstract
  • Figures
  • References
  • History
  • Received: 2015-12-14
  • Revised: 2016-03-02
  • Accepted: 2016-04-01
  • 扩展功能
    把本文推荐给朋友
    加入引用管理器
    Email Alert
    RSS
    本文作者相关文章
    杨玲英
    曾庆友
    杨道茂
    化学-酶催化制备天然丹参素
    杨玲英, 曾庆友, 杨道茂     
    华侨大学化工学院 福建 厦门 361021
    摘要: 丹参素是中药丹参的水溶性化学成分之一,具有很多潜在的药理活性。以3,4-二羟基苯甲醛和乙酰甘氨酸为原料,经Erlenmeyer反应并开环得到α-乙酰氨基-β-(3,4-二乙酰氧基苯基)丙烯酸、盐酸水解制得β-(3,4-二羟基苯基)丙酮酸,再经乳酸片球菌1.2696静息细胞生物酶催化还原合成了天然右旋丹参素,总收率69.4%,丹参素对映体过量值97.5%。
    关键词: 乳酸片球菌静息细胞     化学-酶催化合成     丹参素    
    Chemoenzymatic Synthesis of Danshensu
    YANG Lingying, ZENG Qingyou, YANG Daomao     
    School of Chemical Engineering, Huaqiao University, Xiamen, Fujian 361021, China
    Abstract: Danshensu is one of water-soluble components in Chinese medicine Danshen(Salvia miltiorrhiza bunge) and has some potential pharmaceutical activities. Danshensu was prepared through chemoenzymatic synthesis starting from the Erlenmeyer condensation of 3,4-dihydroxybenzaldehyde and acetyl glycine and followed by ring opening reaction to give α-acetamino-β-(3,4-diacetoxylphenyl)acrylic acid. Hydrolysis of the substituted acrylic acid with hydrochloric acid gave β-(3,4-dihydroxyphenyl) pyruvate. Finally, Danshensu was obtained by enzymatic reduction of β-(3,4-dihydroxyphenyl) pyruvate with resting cells of pediococcus acidilactici. The overall yield is 69.4% and the optical purity of Danshensu is 97.5% ee.
    Key words: resting cells of pediococcus acidilactici     chemoenzymatic synthesis     Danshensu    

    丹参素又名丹参酸甲,是中药丹参中的一种水溶性酚酸类化合物,化学名称为R-(+)-β-3,4-二羟基苯基乳酸。 大量研究[1-2]表明丹参素具有抗氧化、抗血栓、改善微循环、防止器官损伤、抗炎、增强机体免疫力、降血脂、抗动脉粥样硬化、保肝和抗肿瘤等多种潜在的药理活性。 临床上广泛应用于治疗心血管病、改善心功能、冠脉循环、抗凝血和改善微循环等[3-5]

    目前,丹参素主要是从中药丹参中提取制备,但由于丹参中丹参素含量低(约0.5%)[6],提取成本高,已有很多研究采用化学方法[7-18]合成丹参素及其衍生物,其中多数路线得到的是外消旋丹参素及其衍生物,需要繁琐的手性拆分才能得到天然的右旋丹参素[19-20]。 此外,也有文献报道通过不对称合成法构建手性碳原子以制备单一构型丹参素及其衍生物:周小鸣等[21]用肉桂醇作原料,经不对称环氧化方法合成了β-苯基乳酸及其甲酯;姜茹等[22]以胡椒醛为原料,通过不对称还原反应制得丹参素;田海林等[23]以3,4-二羟基苯甲醛为原料,经苄基保护、Knoevenagle缩合反应及酰化反应及酯化反应后,通过Sharpless不对称双羟化反应构建手性中心,得到高光学纯度的3-(3,4-二苄氧基苯基)-2,3-二羟基丙酸冰片酯衍生物,最后经选择性催化加氢及脱保护得到单一构型的丹参素冰片酯。

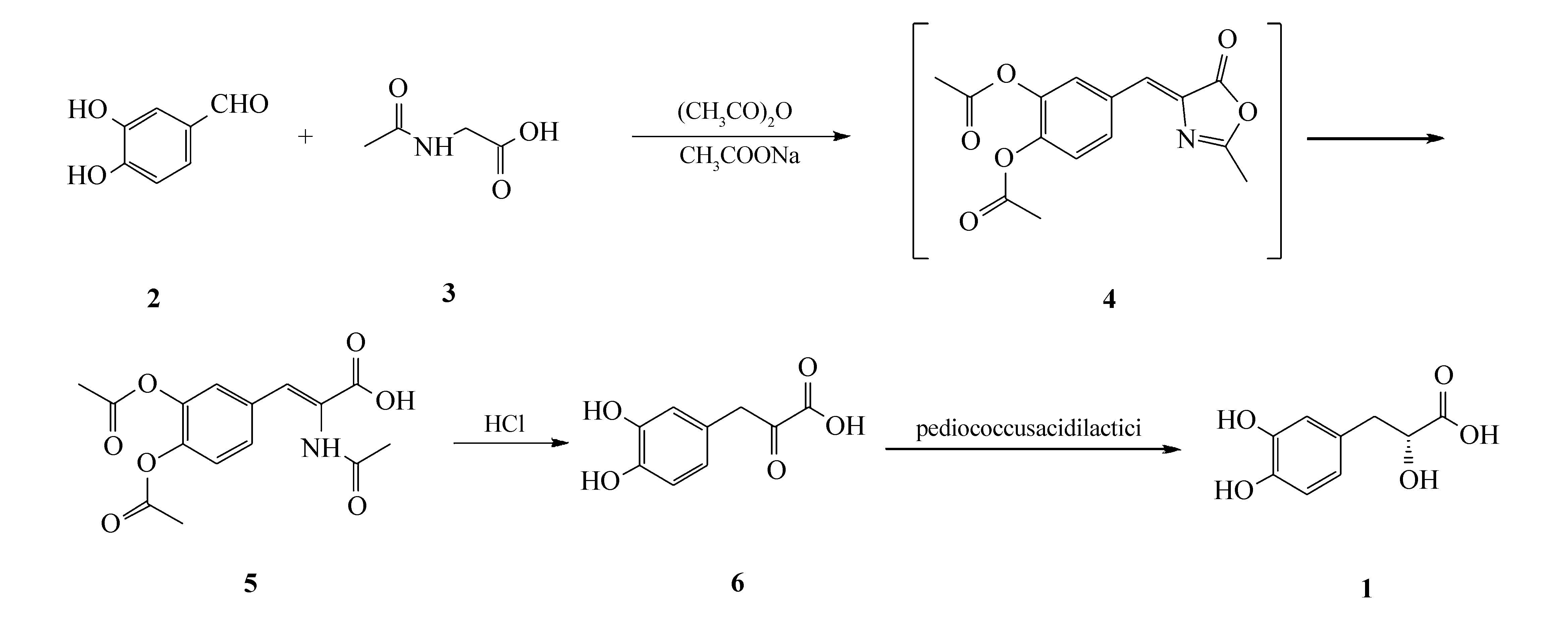
    生物催化具有高区域选择性和对映体选择性,利用微生物或酶将前手性化合物不对称转化为手性化合物,是应用前景较好的手性药物制备方法[24]。 将化学合成与生物转化相结合的化学-酶催化合成方法,即在涉及手性中心的生成或转化步骤中采用生物催化法,对一般合成步骤则采用有机化学合成法,这不仅可克服化学合成反应步骤繁琐、环境污染严重等不足,又可有效避免生物转化量较少、发酵时间较长等缺点,实现优势互补[25-26],加速手性化合物的合成,使手性化合物的制备实现原料易得、工艺简单、环境友好且光学纯度高等优势[27]。 本文以3,4-二羟基苯甲醛和乙酰甘氨酸为起始原料,经Erlenmeyer反应、开环、盐酸水解化学合成制得β-(3,4-二羟基苯基)丙酮酸,再经乳酸片球菌ATCC1.2696静息细胞生物酶催化还原合成天然丹参素,合成路线如Scheme 1所示。

    Scheme 1 The synthesis route of Danshensu
    1 实验部分
    1.1 仪器和试剂

    Nicolet iS10型傅里叶变换红外光谱仪(美国Thermo公司);1200型液相-质谱联用仪(美国Agilent公司);XT-4B型显微熔点仪(北京科仪电光仪器厂);DRX-400MHZ型核磁共振仪(德国Bruker公司);WZZ-2B型自动旋光仪(上海精密科学仪器有限公司);LC-20A*型高效液相色谱仪(日本岛津公司);Agilent 1260型高效液相色谱 (美国Agilent公司)。

    R-丹参素标准样品购于国家标准物质网;乳酸片球菌ATCC1.2696购于中国普通微生物菌种保藏管理中心;其它试剂均为分析纯。

    1.2 实验方法

    α-乙酰胺基-β-(3,4-二乙酰氧基苯基)丙烯酸(5)的制备:向装有冷凝器的250 mL三口瓶中,依次加入20 mL醋酐、3,4-二羟基苯甲醛(5.55 g,0.04 mol)、醋酸钠(4.92 g,0.06 mol),N-乙酰甘氨酸(5.68 g,0.048 mol),开启磁力搅拌器,升温至100 ℃恒温反应,TLC检测反应进程(V(乙酸乙酯)∶V(石油醚)=3∶2)。 随着反应进行,溶液由澄清的淡黄色逐渐变成褐色。 3 h后反应结束、冷却至室温,有褐色固体析出。 将反应混合物倾入200 mL冰水混合物中搅拌开环,析出大量黄色晶体,置冰箱中冷藏过夜,减压抽滤,滤饼用蒸馏水洗涤得粗品,粗品沸水重结晶并真空干燥得到化合物4,为黄色结晶粉末,10.29 g,产率84.8%,mp 187~189 ℃(文献值[15]:186~189 ℃),MS(m/z):322.1(M+H)。 IR(KBr),σ/cm-1:3424,3270,2400~3000,1778、1692,1640,1540、1507、1432、1373、860、838;13C NMR(500 MHz,DMSO-d6),δ:169.8,168.8,167.9,166.7,144.3,144.2,133.7,132.9,131.1,129.6,128.4,125.0,23.0,20.8,15.9;1H NMR(400 MHz,CDCl3),δ:8.06(d,J=4 Hz,ArH,1H),7.88(dd,J=2,8 Hz,ArH,1H),7.27(d,J=8 Hz,ArH,1H),7.06(s,1H),2.40(s,3H),2.32(s,3H),2.31(s,3H)。

    β-(3,4-二羟基苯基)丙酮酸(6)的制备:向装有冷凝器的250 mL三口瓶中,加入1 mol/L盐酸溶液75 mL和α-乙酰胺基-β-(3,4-二乙酰氧基苯基)丙烯酸(4.82 g,0.015 mol),回流反应10 h,反应液冷却至室温后用乙酸乙酯萃取(50 mL×3),有机相减压蒸馏去除溶剂,残液凝固并干燥后得类白色粉末2.62 g,产率89.0%,mp 189~193 ℃(文献值[11]:192~196 ℃),MS(m/z):195.1(M—H)。 IR(KBr),σ/cm-1:3388、3242,2400~3000,1691,1655,1521、1443、1384、860、814;13C NMR(500 MHz,DMSO-d6),δ:167.1,145.7,145.3,139.6,126.7,122.2,115.8,111.3;1H NMR(400 MHz,DMSO-d6),δ:12.92(s,1H,COOH),9.02(s,1H,ArOH),8.94(s,1H,ArOH),8.74(s,1H,—OH),7.35(d,J=4 Hz,1H),6.94(dd,J=2.0,8.4 Hz,1H,ArH),6.68(d,J=8.4 Hz,1H,ArH),6.26(s,1H)。

    丹参素(1)的制备:向50 mL pH=6.0的磷酸盐缓冲液中加入β-(3,4-二羟基苯基)丙酮酸(0.125 g,6.35 mmol)、辅助底物葡萄糖1.00 g和36 h菌龄的静息细胞1.25 g,于30 ℃下120 r/min振荡反应24 h后,发酵液经离心除去菌体,取上清液微滤后经高效液相色谱制备目标产物丹参素0.116 g,收率92.0%,比旋光度=15.6(c 0.025,CH3OH)(文献值[28][α]D=16(c 0.1,CH3OH)),对映体过量ee值为97.5%。 经液相色谱检测[29]R-丹参素出峰时间为6.3 min,S-丹参素出峰时间为6.8 min。 液相色谱分析测条件:KromstarTM-C8(4.6 mm×250 mm,5 μm)色谱柱,流动相为甲醇溶液(含8 mmol/L L-苯丙氨酸和3 mmol/L硫酸铜,采用NaOH调pH=3.5)(体积比18∶82),柱温20 ℃,检测波长λ=279 nm,v=1.0 mL/min。 IR(KBr),σ/cm-1:3309,2400~3000,1726,1607、1519、1445、860、811;13C NMR(400 MHz,DMSO-d6),δ:175.28、144.73、143.62、128.80、120.80、116.88、115.20、71.49、40.13;1H NMR(400 MHz,D2O),δ:6.91~6.75(m,2H,ArH),6.71(d,J=8 Hz,1H,ArH),4.18(dd,J=4,8 Hz,1H),2.95(dd,J=4,20 Hz,1H),2.74(dd,J=7,13 Hz,1H)。

    2 结果与讨论
    2.1 盐酸用量对化合物6产率的影响

    在水解反应制备β-(3,4-二羟基苯基)丙酮酸过程中,发现盐酸用量对其产率的影响较大,结果如表 1所示。 由表 1可知,随HCl (c=1 mol/L)用量增加,目标产物产率先增加后降低,当盐酸用量为75 mL时,即HCl与原料摩尔比大约为5∶1时,产率达到最大值83.0%。 原因可能是HCl用量的增多有利于原料的水解,但HCl用量增加到一定程度后,目标产物可能发生脱羧副反应,导致产率下降。

    表 1 盐酸用量对化合物6产率的影响 Table 1 Effect of hydrochloric acid dosage on compound 6 yield
    2.2 酶催化剂的选择

    为确定生物还原合成丹参素的酶催化剂,采用微生物发酵法对燕子牌酵母、梅山牌酵母、彩虹牌酵母及乳酸片球菌ATCC1.2696菌种进行了筛选,发现只有乳酸片球菌ATCC1.2696菌株能有效催化羰基不对称还原,结果如图 1所示。 由图 1可知,R-丹参素的出峰时间为6.3 min,在乳酸片球菌ATCC1.2696发酵液中检测到该信号峰,与R-丹参素标准样品一致,由此可证明,乳酸片球菌ATCC1.2696菌株能确实有效地催化3,4-二羟基苯基丙酮酸不对称还原合成丹参素。

    图 1 R-丹参素标准品(A)和发酵液(B)的高效液相图谱 Fig. 1 The HPLC curves of standard sample and fermented liquidwithresting cells
    2.3 葡萄糖浓度对静息细胞转化的影响

    为了简化生物转化过程,我们采用乳酸片球菌静息细胞转化进行3,4-二羟基苯基丙酮酸的生物催化还原。 静息细胞转化法能简化培养基组成,便于产物的分离纯化,不需无菌条件,易于操作,还可重复多次利用[30]。 完整的静息细胞可在其代谢过程中产生与催化过程相匹配的辅酶,使催化反应得以顺利进行。 许多全细胞催化剂都具有内在的辅酶再生途径,即可通过加入辅助底物(如葡萄糖、异丙醇等)的方式实现辅酶的原位再生[31],本文以葡萄糖作为辅助底物以激活辅酶的再生[32]。 由于静息细胞转化过程中需考察的影响因素较多,比如菌龄、反应时间、细胞浓度、葡萄糖浓度、底物浓度、反应温度和pH值等,本文以辅助底物葡萄糖浓度为例,讨论其对丹参素转化效率的影响,并以10 mL pH=6.0的磷酸盐缓冲液配制β-(3,4-二羟基苯基)丙酮酸浓度1 g/L、pH=6.0、培养36 h的菌体浓度25 g/L的反应液于30 ℃下反应24 h,考察不同葡萄糖浓度对丹参素转化的影响,结果如表 2所示。

    表 2 葡萄糖浓度对生物还原合成丹参素的影响 Table 2 Effect of glucose concentration on Danshensu yield by resting cells

    表 2可知,在不添加葡萄糖的时候,丹参素的产率处于较低水平,随着葡萄糖浓度的增加,丹参素的产率大幅度增加,这说明葡萄糖确实激活了乳酸片球菌1.2696菌株的辅酶再生途径;当葡萄糖浓度达到20 g/L时,丹参素产率达到最大值,进一步增加葡萄糖浓度,丹参素产率反而有所下降,说明辅酶过量也会抑制催化反应的进行。

    3 结 论

    本文以3,4-二羟基苯甲醛和乙酰甘氨酸为原料,经Erlenmeyer合成反应后直接开环得到α-乙酰氨基-β-(3,4-二乙酰氧基苯基)丙烯酸、盐酸水解制得β-(3,4-二羟基苯基)丙酮酸。 利用生物催化具有良好的区域选择性和对映选择性,采用乳酸片球菌静息细胞生物酶催化还原合成了天然右旋丹参素。 该方法原料价廉易得,反应条件温和,操作简便,丹参素产率高。

    参考文献
    [1] Chang J Y, Chang C Y, Kuo C C, et al. Salvinal,a Novel Microtubule Inhibitor Isolated from Salvia Miltiorrhizae Bunge (Danshen),with Antimitotic Activity in Multidrug-sensitive and Resistant Human Tumor Cells[J]. Mol Pharmacol , 2004, 65 (1) : 77–84. DOI:10.1124/mol.65.1.77 ()
    [2] Husna B, On T, Zhu Y Z. Effects of Purified Salvia Miltiorrhiza Extract on Cardiac Vascular Smooth Muscle Hypoxic Cells[J]. J Pharmacol Sci , 2007, 104 (3) : 202–211. DOI:10.1254/jphs.FP0061344 ()
    [3] Vergara-Salinas J R, Pérez-Jiménez J, Torres J L, et al. Effects of Temperature and Time on Polyphenolic Content and Antioxidant Activity in the Pressurized Hot Water Extraction of Deodorised Thyme (Thymus Vulgaris)[J]. J Agric Food Chem , 2012, 60 (44) : 10920–10929. DOI:10.1021/jf3027759 ()
    [4] Wang M, Sun G B, Sun X, et al. Cardioprotective Effect of Salvianolic Acid B Against Arsenic Trioxide-induced Injury in Cardiac H9c2 Cells via the PI3K/Akt Signal Pathway[J]. Toxicol Lett , 2013, 216 (2/3) : 100–107. ()
    [5] Ding M, Ye T X, Zhao G R, et al. Aqueous Extract of Salvia Miltiorrhiza Attenuates Increased Endothelial Permeability Induced by Tumor Necrosis Factor-Alpha[J]. Int Immunopharmacol , 2005, 5 (11) : 1641–1651. DOI:10.1016/j.intimp.2005.05.005 ()
    [6] HU Fengguo, DENG Yongjian. The Search of Danshen Water-soluble Compositionses Makes Progress[J]. Primary J Chinese Mater Med , 2014, 3 (7) : 176–178. (in Chinese) 胡凤国, 邓永建. 丹参水溶性成分的研究进展[J]. 基层中药杂志 , 2014, 3 (7) : 176–178. ()
    [7] DING Jie, YU Zemin, DING Keyi. Synthesis of Danshensu[J]. J Southwest Univ Nat(Nat Sci Ed) , 2015, 41 (1) : 50–53. (in Chinese) 丁杰, 余泽民, 丁克毅. 丹参素的合成工艺研究[J]. 西南民族大学学报:自然科学版 , 2015, 41 (1) : 50–53. ()
    [8] DENG Xiling, CHEN Xuemin, JIANG Fashou, et al. Synthesis of Sodium β-(3,4-Dihydroxyphenyl) lactate[J]. Chinese J Pharm , 2005, 9 (9) : 523–524. (in Chinese) 邓喜玲, 陈学敏, 江发寿, 等. 丹参素的合成[J]. 中国医药工业杂志 , 2005, 9 (9) : 523–524. ()
    [9] Chen M, Chen H, Wang Y, et al. Efficient and Practical Asymmetric Synthesis of Isopropyl (R)-3-(3',4'-dihydroxyphenyl)-2-hydroxypropanoate and Its Enantiomer[J]. Tetrahedron:Asymmetry , 2011, 22 (1) : 4–7. DOI:10.1016/j.tetasy.2010.11.030 ()
    [10] XUE Fen, DAI Huajuan, DING Lirong. Synthesis of Sodium β-3,4-Dihydroxyphenyl Lactate"Danshensu"[J]. Acta Acad Med Primae Shanghai , 1983, 10 (2) : 133–135. (in Chinese) 薛芬, 戴华娟, 丁丽蓉. 丹参素[β-(3,4-二羟基苯基)乳酸钠]的合成[J]. 上海第一医学院学报 , 1983, 10 (2) : 133–135. ()
    [11] Wong H N C, Xu Z L, Chang H M, et al. A Modified Synthesis of (±)-β-Aryllactic Acids[J]. Synthesis , 1992, 1992 (8) : 793–797. DOI:10.1055/s-1992-26228 ()
    [12] Eicher T, Ott M, Speicher A. Bryophyte Constituents;7:New Synthesis of (+)-Rosmarinic Acid and Related Compounds[J]. Synthesis , 1996, 1996 (6) : 755–762. DOI:10.1055/s-1996-4289 ()
    [13] Bubl E C, Butts J S. A Method of Synthesis of Phenyllactic Acid and Substituted Phenyllactic Acids[J]. J Am Chem Soc , 1951, 73 (10) : 4972–4972. ()
    [14] LI Xiaoling, SHAN Yuqing, ZHANG Qunzheng, et al. Synthetic Methods of Danshensu and Its Derivatives[J]. Chinese J Pharm , 2008, 17 (10) : 17–19. (in Chinese) 李小玲, 单玉庆, 张群正, 等. 丹参素及其衍生物的合成方法[J]. 中国药业 , 2008, 17 (10) : 17–19. ()
    [15] Dong C, Wang Y, Zhu Y Z. Asymmetric Synthesis and Biological Evaluation of Danshensu Derivatives as Anti-Myocardial Ischemia Drug Candidates[J]. Bioorg Med Chem , 2009, 17 (9) : 3499–3507. DOI:10.1016/j.bmc.2009.02.065 ()
    [16] TONG Yuanfeng, GUO Xiaoyun, CHENG Yonghao, et al. Synthesis of dl-tanshinol[J]. Chinese J Med Chem , 2007, 17 (2) : 92–94. (in Chinese) 童元峰, 郭晓赟, 程永浩, 等. Dl-丹参素的合成[J]. 中国药物化学杂志 , 2007, 17 (2) : 92–94. ()
    [17] ZHANG Qunzheng, DONG Yan, NAN Yefei, et al. Synthesis of β-(3,4-Dihydroxyphenyl)-α-hydroxy Propionic Acid Esters[J]. Chinese J Org Chem , 2009, 29 (9) : 1466–1469. (in Chinese) 张群正, 董岩, 南叶飞, 等. β-(3,4-二羟基苯基)-α-羟基丙酸异丙酯/冰片酯合成研究[J]. 有机化学 , 2009, 29 (9) : 1466–1469. ()
    [18] SUN Ju, GU Jun, LI Lingzhi. Synthesis of Danshensu Derivatives[J]. Chinese J Synth Chem , 2010, 18 (2) : 215–218. (in Chinese) 孙举, 顾军, 李灵芝. 丹参素衍生物的合成[J]. 合成化学 , 2010, 18 (2) : 215–218. ()
    [19] Bai Y, Zhang Q, Jia P, et al. Improved Process for Pilot-Scale Synthesis of Danshensu ((±)-DSS) and Its Enantiomer Derivatives[J]. Org Process Res Dev , 2014, 18 (12) : 1667–1673. DOI:10.1021/op4002593 ()
    [20] LIU Pei, QIN Fanggang, BAI Yajun, et al. Synthesis and Chiral Separation of Isopropyl and Bornyl β-(3,4-Dihydroxyphenyl)-α-Hydroxypropionate[J]. J Northwest Univ , 2015, 45 (3) : 413–417. (in Chinese) 刘佩, 秦方刚, 白亚军, 等. 丹参素异丙酯/冰片酯的合成及手性拆分研究[J]. 西北大学学报 , 2015, 45 (3) : 413–417. ()
    [21] ZHOU Xiaoming, XUE Fen, LOU Yaping, et al. Asymmetric Synthesis of Optically Active β-Phenyl Latic Acid and Its Methyl Ester[J]. Acta Acad Med Primae Shanghai , 1988, 15 (2) : 155–160. (in Chinese) 周小鸣, 薛芬, 楼亚平, 等. 用不对称环氧化合成光学活性β-苯基乳酸及其甲酯[J]. 上海第一医学院学报 , 1988, 15 (2) : 155–160. ()
    [22] JIANG Ru,CHEN Hui,LIU Xueying,et al.Asymmetric Synthesis of (+)-Danshensu[P],CN 102924265A,2013-02-13(in Chinese). 姜茹,陈惠,刘雪英,等.(+)-丹参素的不对称合成方法[P],CN 102924265A,2013-02-13. ()
    [23] TIAN Hailin, ZHOU Xiaowei, CHEN Ming, et al. Asymmetric Synthesis of Danshensuborneol Ester[J]. Chinese J Med Chem , 2012, 22 (2) : 113–116. (in Chinese) 田海林, 周晓伟, 陈明, 等. 丹参素冰片酯不对称合成研究[J]. 中国药物化学杂志 , 2012, 22 (2) : 113–116. ()
    [24] Simon R C, Mutti F G, Kroutil W. Biocatalytic Synthesis of Enantiopure Building Blocks for Pharmaceuticals[J]. Drug Discovery Today:Technol , 2013, 10 (1) : 37–44. DOI:10.1016/j.ddtec.2012.08.002 ()
    [25] Patel R N. Synthesis of Chiral Pharmaceutical Intermediates by Biocatalysis[J]. Coord Chem Rev , 2008, 252 (5) : 659–701. ()
    [26] Wang H, Zong M H, Wu H, et al. Novel and Highly Regioselective Route for Synthesis of 5-Fluorouridine Lipophilic Ester Derivatives by Lipozyme TLIM[J]. J Biotechnol , 2007, 129 (4) : 689–695. DOI:10.1016/j.jbiotec.2007.02.008 ()
    [27] ZHAO Shuling, GU Yaohua, XUE Ping. Recent Progress on Chemo-enzymatic Synthesis of Chiral Compounds with High Stereoselectivity[J]. Chem Res Appl , 2014, 26 (4) : 473–382. (in Chinese) 赵淑玲, 谷耀华, 薛屏. 化学-酶法高选择性合成手性化合物的研究进展[J]. 化学研究与应用 , 2014, 26 (4) : 473–382. ()
    [28] Güvenalp Z, Str ch K, Demirezer L, et al. Phytochemical and Antimicrobial Investigation of Echium Vulgare Growing in Turkey[J]. Biochem Syst Ecol , 2004, 32 (9) : 833–836. DOI:10.1016/j.bse.2003.12.001 ()
    [29] XIE Fei, ZHOU Xinbo, GUO Jiqian, et al. Chiral Separation of Danshensu en Antiomers by HPLC[J]. Chinese J Pharm Anal , 2014 (4) : 664–668. (in Chinese) 谢菲, 周辛波, 郭继倩, 等. 高效液相色谱法手性拆分丹参素对映体的研究[J]. 药物分析杂志 , 2014 (4) : 664–668. ()
    [30] Wang Z, Chen Z D, Li D. Biotransformation of Phytosterol to Produce Androsta-Diene-Dione by Resting Cells of Mycobacterium in Cloud Point System[J]. Process Biochem , 2006, 41 (3) : 557–561. DOI:10.1016/j.procbio.2005.09.014 ()
    [31] Goldberg K, Schroer K, Lütz S, et al. Biocatalytic Ketone Reduction-A Powerful Tool for the Production of Chiral Alcohols-Part Ⅱ:Whole-Cell Reductions[J]. Appl Microbiol Biotechnol , 2007, 76 (2) : 249–255. DOI:10.1007/s00253-007-1005-x ()
    [32] HUANG He, YANG Zhonghua, YAO Shanjing. Asymmetric Reduction Carboonyl Compounds to Chrial Alcohols by Baker's Yeast[J]. Chinese J Bioprocess Eng , 2004, 2 (2) : 52–55. (in Chinese) 黄和, 杨忠华, 姚善泾. 面包酵母催化羰基不对称还原合成手性醇的研究[J]. 生物加工过程 , 2004, 2 (2) : 52–55. ()