应用化学   2016, Vol. 33 Issue (3): 313-319   PDF    
Article Options
  • PDF
  • Full Text HTML
  • Abstract
  • Figures
  • References
  • History
  • Received: 2015-07-20
  • Revised: 2015-09-11
  • Published on Web: 2015-09-11
  • 扩展功能
    把本文推荐给朋友
    加入引用管理器
    Email Alert
    RSS
    本文作者相关文章
    江文杰
    张琳萍
    徐红
    钟毅
    隋晓锋
    毛志平
    铝镧共掺杂的氧化锌红外隐身涂料在帐篷织物上的应用
    江文杰, 张琳萍, 徐红, 钟毅, 隋晓锋, 毛志平     
    东华大学化学化工与生物工程学院,生态纺织教育部重点实验室 上海 201620
    摘要: 以水性聚氨酯为粘合剂,掺杂Al和La的ZnO为填料,配以其它助剂制成了红外隐身涂料,应用在帐篷织物表面,探究涂层厚度以及填料含量对红外发射率的影响,并研究了导热系数和红外隐身性能之间的关系。研究发现,涂层厚度和填料含量对涂层织物的红外发射率有着显著的影响。当填料质量分数为70%时,得到的帐篷涂层织物的红外发射率可降至0.622,调节填料含量和涂层厚度,可以的得到红外发射率在0.622~0.932之间的帐篷涂层织物。此外,发现导热系数对红外隐身性能也有一定的影响,红外隐身性能随着导热系数的增加而提高。通过调节填料含量和涂层厚度制作不同红外发射率的涂层帐篷织物,放在不同背景下拍摄红外热成像图,发现涂层在不同的环境中均具有良好的伪装能力。
    关键词: 掺杂氧化锌     红外隐身涂料     导热     伪装     帐篷织物    
    Application of Aliumium and Lanthanum Co-doped Zinc Oxide Infrared Stealth Coating on Tent Fabrics
    JIANG Wenjie, ZHANG Linping, XU Hong, ZHONG Yi, SUI Xiaofeng, MAO Zhiping     
    Key Laboratory of Science & Technology of Eco-Textile(Ministry of Education), Donghua University, Shanghai 201620, China
    Abstract: To increase the survival ability of military supplies, expedite the usage of infrared stealth material, Al, La doped ZnO was used as filler to prepare infrared stealth coating and coated on tent fabrics. The influences of filler content and film thickness on infrared emissivity were studied in detail. The relationship between heat conduction and infrared emissivity was also studied. The infrared emissivity decreased with the increase of the thickness and content of coating filler. The infrared emissivity of coating tent fabric can decrease to 0.622 when filler mass content is 70%. The tent fabrics with infrared emissivity between 0.622 and 0.932 can be obtained by changing the filler content and coating thickness. Moreover, we also found that thermal conductivity has the influence on the infrared stealth ability to some extent. The infrared stealth ability improved with the increase of thermal conductivity. Different infrared emissivity coatings were made by adjusting the filler content and coating thickness and took thermographs under different surroundings. It showed that the coatings have good camouflage ability under different surroundings.
    Key words: doped zinc oxide     infrared stealth coating     heat conduction     camouflage     tent fabrics    

    随着先进的侦察探测技术如热像仪的出现,红外成像技术以昼夜工作、高精度、作用距离远及被动工作、隐蔽性好等特点,在军事上受到了各国的高度重视和广泛应用,这不可避免的对部队单兵以及武器装备等构成了严重的威胁。因此,发展具有更高性能的红外伪装材料及红外伪装技术是提高单兵在战场上的生存能力和安全性、增强部队战斗力的有效保障[1]。其中,在8~14 μm大气窗口下具有低红外发射率的有机和无机化合物是红外隐身领域研究的重点。研究发现[2],目标与背景之间的红外辐射差别已经成为红外探测的基本依据,这种差别的对比度可以由式(1)计算:

    $C=\left( {{W}_{O}}-{{W}_{E}} \right)/{{W}_{E}}$ (1)

    式中,C表示对比度,WO表示目标辐射能量密度,WE表示背景辐射能量密度。为了降低目标的可探测性,要降低目标与背景之间的对比度,这可以通过降低目标的辐射能量密度来实现。降低目标的辐射能量密度有两种途径:一是降低红外发射率;二是降低目标表面温度[3]

    红外隐身材料主要通过制成红外隐身涂料使用。红外隐身涂料有两种:一种是吸收型,通过涂料本身或某些结构和工艺技术,使吸收的能量在涂层内部不断消耗或转换而不引起明显升温,减少物体的热辐射;另一种是转换型,在吸收红外线能量后或改变反射方向,或使吸收后释放出来的辐射向长波方向移动,使之处在红外探测器的工作范围之外,最终达到红外隐身目的[4]。红外隐身材料作为红外隐身涂料的主要成分,对涂料的红外隐身特性起到了关键性的作用。近期,对红外隐身涂料中的填料研究集中在氧化半导体材料如ZnO、SiO2和TiO等[5-7]。根据本实验室之前的研究,发现掺杂Al和La的ZnO是一种具有较低红外发射率的红外隐身材料[8],在红外隐身领域有广泛的应用前景,研究其在不同环境下的使用条件对于其以后的广泛应用具有重要意义。此外,ZnO是一种常用的导热材料,在一些高分子材料中也有着广泛的应用,来赋予其较高的导热性能[9-10],ZnO掺杂Al和La后低的发射率和良好的导热性能之间是否存在关系也是值得研究的。另外,良好的导热性能对降低目标与背景之间的对比度所起到的作用也是本文的研究重点。本文以水性聚氨酯为粘合剂,以掺杂La和Al的ZnO为填料制作一种红外隐身涂料涂敷在帐篷织物表面,创新性的从导热方面研究其与红外隐身性能的关系,探索导热材料与红外隐身材料之间的联系。该涂层具备良好的红外隐身特性,制作不同红外发射率的涂层帐篷织物,放在不同背景材料中,拍摄热红外成像图,观察其与环境的融合能力,得出不同环境下使用的工艺条件。

    1 实验部分
    1.1 试剂和仪器

    二水合醋酸锌、乙醇胺、无水乙醇、海藻酸钠、六水氯化铝、六水氯化镧、六偏磷酸钠均为上海国药集团分析纯试剂;水性聚氨酯PU-3758,固含量35%(质量分数),工业级,佛山三升贸易有限公司。

    Nano-ZS型纳米粒度与电位分析仪(英国马尔文仪器公司);IR-2型双波段红外发射率测试仪(中国科学院上海技术物理研究所);TiR32型红外热成像仪(美国福禄克公司);DRL-2B型导热系数仪(湘潭市仪器仪表有限公司);AFA-II型自动涂膜机(天津市精科材料试验机厂);CHY-C2A型厚度仪(济南兰光机电技术有限公司)。

    1.2 填料合成

    根据本课题组之前的研究[8],掺杂Al和La的ZnO制备过程如下:将二水醋酸锌、乙醇胺和无水乙醇置于1000 mL三口烧瓶,搅拌溶解;六水氯化铝和六水氯化镧在无水乙醇中溶解后加入三口烧瓶,升温至80 ℃回流2 h;旋蒸除去溶剂,在马弗炉内煅烧;煅烧结束后在砂磨机内砂磨34 h,用六偏磷酸钠作为分散剂,制成微米级的掺杂氧化锌颗粒悬浮液。

    1.3 涂层制备

    制备掺杂La和Al的ZnO质量分数(含量)分别为0%、30%、40%、50%、60%和70%的涂料,用自动涂膜机按逐层涂敷的方式涂在帐篷织物表面,每个质量分数的涂料涂层厚度均分别为100、200、300 、400 和500 μm。

    1.4 性能测试

    使用双波段红外发射率测试仪测试涂层织物的红外发射率,每个样测6次,取平均值。用红外热成像仪拍摄不同涂层织物的红外热成像图,并与所测得的红外发射率做对比。采用DRL-2B型导热系数仪测定试样的导热系数,试样直径30 mm。

    2 结果与讨论
    2.1 粘合剂的选择

    由于隐身涂料中成膜物质的含量很高,故隐身涂料的发射率受成膜物质影响最大,尤其是在2~30 μm波段。成膜物质树脂的红外透明性越大,吸收就会越弱,其发射率也就越低。研究表明,用于低发射率涂料的成膜物质应符合如下两个基本要求:一是必须保护填料并在涂层的整个使用过程保持它们的红外特性;二是所用成膜物质必须在选定的光谱范围内红外透明,一般要求在大气窗口内要透明[11]。本文选用PU-3758为粘合剂。为了研究PU-3758作为掺杂Al和La的ZnO材料的粘合剂的可行性,测试了PU-3758和掺杂Al和La的ZnO的红外光谱图如图 1所示。在图 1中,PU-3758在波数在714 cm-1(14 μm)至1250 cm-1(8 μm)之间出现3个峰,掺杂Al和La的ZnO在714 cm-1(14 μm)至1250 cm-1(8 μm)之间出现3个峰。由图中峰的数据可知,两种物质在8~14 μm波段内出现的峰的位置基本相同,且在1249 cm-1处和997 cm-1处的红外透过率较高,分别为65%和70%,表明所选粘合剂对红外隐身材料的红外特性影响较小。另外把粘合剂涂在钢板表面,厚度为75 μm,测试红外发射率,得到的涂层的红外发射率为0.897,显示出比帐篷织物低的红外发射率(0.932),由此可见,PU-3758可以作为红外隐身填料的粘合剂。除此之外选择脂肪族水性聚氨酯作为粘合剂,制备的涂层柔韧性好,并且避免了其它结构粘合剂在户外应用中出现的泛黄现象,有较好的耐候性,且单组份自干型水性聚氨酯使用方法简单、价格低廉[12]

    图 1 粘合剂PU-3758和掺杂Al和La的ZnO在波数位于700~1400 cm-1之间的红外光谱图 Fig. 1 The IR spectra of PU-3758 and ZnO droped Al and La between 700 cm-1 and 1400 cm-1 wavenumbers
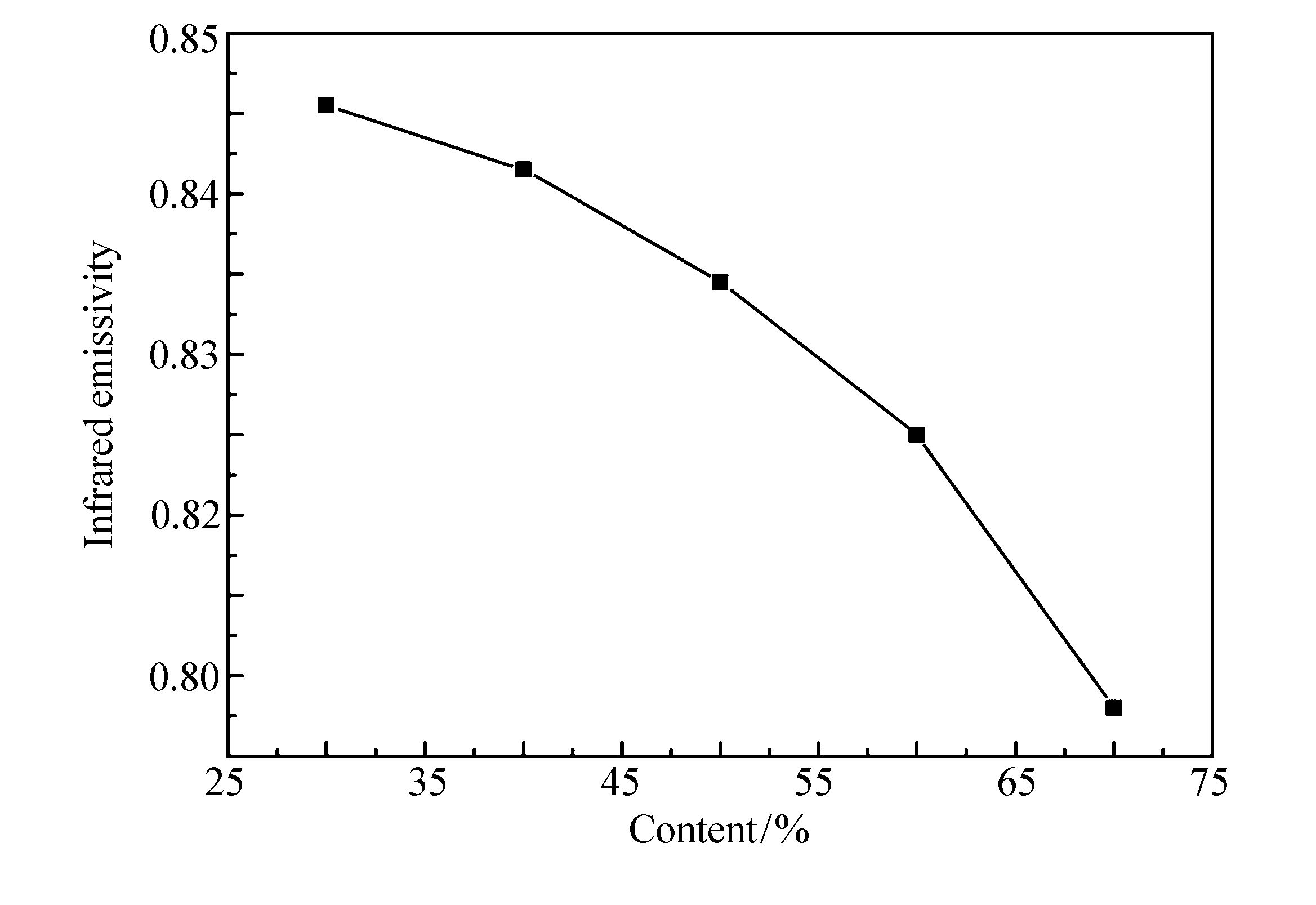
    2.2 填料含量对红外发射率的影响

    掺杂Al和La的ZnO是一种具有低红外发射率的材料,其形貌如图 2所示,通过高温煅烧后的产物呈大小不一的小球状。在红外隐身涂层中,填料含量对涂层织物红外发射率有着较大的影响。因此,我们制备了填料含量分别为30%、40%、50%、60%和70%的涂料,涂敷在帐篷织物表面,涂层厚度为200 μm,测定涂层织物的红外发射率如图 3所示。根据图 3可知,随着填料含量的增加,红外发射率总体呈现下降的趋势。这主要是因为掺杂La和Al的ZnO有较低的红外发射率,根据基尔霍夫定律可知,填料颗粒有着较低的吸收率。当填料含量增加,填料颗粒之间的缝隙减小,涂层对红外辐射的吸收率降低,从而红外发射率随之降低。但填料含量不能太高,当数值大于70%时,由于涂层中含有大量的填料颗粒,对粘合剂的成膜起到分隔作用,使粘合剂中的空隙太多,不能很好地成膜,所以填料质量分数最高为70%。

    图 2 掺杂ZnO粉末颗粒的SEM照片 Fig. 2 SEM image of droped ZnO powders
    图 3 填料含量对涂层帐篷织物红外发射率的影响 Fig. 3 Effect of filler contents on the infrared emissivity of coated tent fabrics
    2.3 涂层厚度对红外发射率的影响

    研究表明,除了填料含量之外,涂层的厚度对涂层织物的红外隐身性能也有较大的影响。为了研究不同厚度涂层的红外发射率,我们制作了厚度分别为100、200、300、400和500 μm的涂层,测定其红外发射率,结果见图 4

    图 4 涂层厚度对涂层帐篷织物红外发射率的影响 Fig. 4 Effect of coating thicknesses on the infrared emissivity of coated tent fabrics

    图 4可知,涂层织物的红外发射率随着涂层厚度的增加总体呈现下降的趋势,因为在采用逐层涂覆过程中,涂层厚度较小时,织物表面单位面积上掺杂Al和La的ZnO小颗粒数量较少,更多的是颗粒间的粘合剂,并且由粘合剂形成的颗粒与颗粒之间的缝隙相对较大,而随着涂层次数增加,厚度不断增加,在织物表面的粘合剂缝隙被新涂上去的颗粒覆盖,从而使得粘合剂缝隙得以弥补,织物表面单位面积上的掺杂Al和La的ZnO颗粒数量也逐渐升高,颗粒均匀地分布在织物表面上,所以大部分红外线被反射而只有少部分的被吸收,从而大大地降低了织物涂层的红外发射率。当涂层厚度大于500 μm,帐篷织物的柔软性大幅降低,严重影响其应用性能。由图可知,通过调节填料的含量和涂层厚度,可以获得红外发射率在0.622~0.932之间的涂层帐篷织物,使用时根据环境的红外发射率可以合理选择填料含量和涂层厚度。

    2.4 导热性能与红外隐身性能的关系

    拍摄原布以及填料含量分别为0%、30%、40%、50%、60%和70%,涂层厚度为500 μm的涂层织物的热红外成像图(图 5),并测量填料含量为0%、30%、40%、50%、60%和70%,涂层厚度为500 μm的涂层织物的导热系数(图 6)。

    图 5 填料质量分数为0%、30%、40%、50%、60%、70%,涂层厚度为500 μm的帐篷织物以及未涂层织物的热红外成像图 Fig. 5 Thermographs of tent fabrics with 500 μm coating thickness,0%、30%、40%、50%、60%、70%(mass percent) filler contents and not coated fabric A.not coated fabric; B.500 μm-0%; C.500 μm-30%; D.500 μm-40%; E.500 μm-50%; F.500 μm-60%; G.500 μm-70%
    图 6 填料含量对涂层帐篷织物导热系数的影响 Fig. 6 Effect of filler contents on the thermal conductivity of coated tent fabrics

    根据图 5所示,随着填料含量的增加,其红外隐身效果逐渐增强,与背景融合性提高。从图 5以看出随着填料含量的增加导热系数呈递增的趋势。结合图 5图 6数据,发现随着涂层的导热系数逐渐增加,红外隐身效果增强。红外发射率的降低与材料内部自由电子的增加有关,Al和La的掺杂增加了自由电子的数量,增强涂层的红外光子散射。随着自由电子数量的增加,材料内部自由电子运动越剧烈,导热系数也随之增加。导热性能增强,可以迅速传递涂层织物上的热量,使涂层织物很快和环境温度相同,达到很好的红外隐身效果。

    2.5 环境模拟融合

    选择玻璃、皮革制品、喷漆木板、绿色植物、枯黄的草地为背景,其红外发射率见表 1,制作与背景有相近红外发射率的涂层织物,放在一起拍摄红外热成像图(图 7),并测量试样在绿色织物和枯黄草地环境中的温度变化(表 2)。

    图 7 红外隐身涂层帐篷织物在不同背景下的红外热成像图 Fig. 7 Thermographs of the coated tent fabrics in different surroundings A.Glass; B.Leather; C.painted wood; D.yellow grass; E.Green plant. 1.coated fabric; 2.not coated fabric; 3.surroundings
    表 1 不同环境的红外发射率和模拟涂层工艺参数 Table 1 Infrared emissivity of different surroundings and process parameters of the camouflage coatings
    表 2 不同织物在35 ℃热源下表面温度的变化 Table 2 Surface temperature change of different fabrics in 35 ℃ heat source

    图 7可以看出,涂层织物区域和背景材料之间没有明显的分界线,相比之下未涂层区域与背景材料之间有明显的分界线,这是因为涂层织物与背景材料有相近的红外发射率。其中图 7D、E为户外黑夜条件下的红外热成像图,背景分别为枯黄草地和绿色植物,图 7D中1号和2号织物在热源表面相等的时间,根据红外热成像图 7和导热系数(图 6)可知,2号未涂层织物由于导热性能差,热量集中而使织物表面温度增加,导致涂层辐射能量密度增加,与背景之间产生较大对比度,1号涂层织物由于有较好的导热性能,热量能快速散开而不集中,涂层与背景之间的对比度相对较小,红外热成像图仍与环境有较高的相似度,热源被盖住的部分在热成像仪中显示和背景相同。在图 7E中,1号织物区域涂层部分有较好的导热性,吸收植物散发的热量并很好的扩散,能够与植物叶子(3号区域)有较好的相容性,热源被盖住的部分在热成像仪中显示和背景也是相同的。但未涂层的2号织物区域导热性能差,仍保留空气的较低温度,颜色比较深,和植物叶子很明显的区分开来。由表 2数据可知,涂层织物在35 ℃热源下可以明显降低织物表面温度,这表明良好的导热性能能明显降低涂层织物表面温度,对于降低目标与背景的对比度起到了积极的作用。由此可见,根据不同工艺制备具有不同背景发射率的涂层织物和环境具有较好的相融性,能够起到较好的红外隐身效果。

    3 结论

    作为红外隐身材料,掺杂Al和La的ZnO在军事领域有着广阔的应用前景,军用帐篷也是应用的主要对象之一。通过对涂层中填料含量和涂层厚度的讨论发现,调节填料含量和涂层厚度,可以获得红外发射率在0.622~0.932之间的帐篷涂层织物,使用时根据环境的红外发射率可以合理选择填料含量和涂层厚度。制作不同红外发射率的涂层,拍摄在不同环境中的红外热成像图,发现与环境红外发射率相近的涂层能够显示出与环境相同的红外热成像图。表明掺杂La和Al的ZnO涂层与环境有较好的相融性,可以用来作为不同环境下的红外伪装涂层。

    参考文献
    [1] Wasserman,Shulamit,Klein. Paint Compositions for High Infrared Reflectivity with a Low Gloss Property:US,5650461[P],1997-07-22. http://www.freepatentsonline.com/5650461.html ()
    [2] SHI Deheng, XIONG Shuiying. The Infrared Stealth Technology Review of Modern Combat Aircraft[J]. Aerospace Electron Warfare , 2000 (3) : 59–62. (in Chinese) 施德恒, 熊水英. 现代作战飞机的红外隐身技术述评[J]. 航天电子对抗 , 2000 (3) : 59–62. ()
    [3] MU Lei, WANG Lixi, HUANG Yun, et al. Research and Development Tendency of Infrared Stealthy Coatings[J]. Mater Rev , 2007, 21 (1) : 122–125. (in Chinese) 沐磊, 王丽熙, 黄芸, 等. 红外隐身涂料的研究与发展趋势[J]. 材料导报 , 2007, 21 (1) : 122–125. ()
    [4] HAN Jingping. The Application Technique of the Stealth Coatings[J]. China Paint , 2000 (3) : 37–39. (in Chinese) 韩景平. 涂料涂装隐身技术[J]. 中国涂料 , 2000 (3) : 37–39. ()
    [5] Miao D, Jiang S, Shang S, et al. Effect of Heat Treatment on Infrared Reflection Property of Al-droped ZnO Films[J]. Sol Energ Mat Sol C , 2014, 127 : 163–168. DOI:10.1016/j.solmat.2014.04.030 ()
    [6] Wang Z, Zhou Y, Yao Q, et al. Preparation Characterization and Infrared Emissivity Study of Helical Polyurethane@SiO2 Core-shell Composite[J]. Appl Surf Sci , 2009, 256 (5) : 1404–1408. DOI:10.1016/j.apsusc.2009.08.096 ()
    [7] Yang Y, Zhou Y, Ge J, et al. Preparation, Characterization and Infrared Emissivity Property of Optically Active Polyurethane/TiO2/SiO2 Multilayered Microspheres[J]. J Solid State Chem , 2011, 184 (10) : 2617–2622. DOI:10.1016/j.jssc.2011.07.027 ()
    [8] Mao Z, Yu X Zhang L, et al. Novel Infrared Stealth Property of Cotton Fabrics Coated with Nano ZnO:(Al,La) Particles[J]. Vacuum , 2014, 104 : 111–115. DOI:10.1016/j.vacuum.2014.01.011 ()
    [9] Yu W, Xie H, Chen L, et al. Investigation of Thermal Conductivity and Viscosity of Ethylene Glycol Based ZnO Nanofluids[J]. Thermochim Acta , 2009, 491 (1/2) : 92–96. ()
    [10] Mu Q, Feng S, Diao G. Thermal Conductivity of Silicone Rubber Filled with ZnO[J]. Polym Compos , 2007, 28 (2) : 125–130. DOI:10.1002/(ISSN)1548-0569 ()
    [11] 程从亮. 8~14 μm低发射率红外隐身涂料研究[D]. 南京:南京工业大学,2005. CHENG Congliang. Study on Low Infrared Emission of Coating in 8~14 μm[D]. Nanjing:Nanjing University of Technology,2005(in Chinese). http://www.cnki.com.cn/article/cjfdtotal-hwai201206002.htm ()
    [12] KONG Zhiyuan. Waterborne Polyurethane and Its Application in Industrial Coatings[J]. Coat Technol Abst , 2013 (1) : 18–30. (in Chinese) 孔志元. 水性聚氨酯树脂在工业涂料领域中的应用[J]. 涂料技术与文摘 , 2013 (1) : 18–30. ()