应用化学   2016, Vol. 33 Issue (3): 307-312   PDF    
Article Options
  • PDF
  • Full Text HTML
  • Abstract
  • Figures
  • References
  • History
  • Received: 2015-06-29
  • Revised: 2015-10-30
  • Published on Web: 2015-12-03
  • 扩展功能
    把本文推荐给朋友
    加入引用管理器
    Email Alert
    RSS
    本文作者相关文章
    杨建东
    马蓉
    燕翔
    王都留
    卢小泉
    形貌可控卟啉材料的合成及光电性质
    杨建东a,b, 马蓉a, 燕翔a, 王都留a, 卢小泉b     
    a 陇南师范专科学校农林技术学院 甘肃 成县 742500;
    b 甘肃省生物电化学与环境分析重点实验室 兰州 730070
    摘要: 通过自组装方法制备了一种卟啉材料,并通过调节溶液pH值实现了对其形貌的可控。当pH值较低时形成卟啉棒状结构;当pH值较高时形成卟啉叶片状结构。利用紫外、红外和X衍射仪等多种表征方法对其结构和性质进行了表征。结果表明,在无机酸的作用下,卟啉分子通过π-π、静电作用形成一维结构的J-聚集体;当pH值增加时,氢键的作用占主要作用形成二维片状结构。将此卟啉棒状材料构筑微纳米器件,测试其光电性能,表明对可见光有很好的响应。这种具有光电响应的卟啉材料有望成为微纳电子器件的光电元件。
    关键词: 制备方法     卟啉纳米材料     光电性质    
    Synthesis of Morphology-controllable Porphyrin Materials and Their Photoelectric Properties
    YANG Jiandonga,b, MA Ronga, YAN Xianga, WANG douliua, LU Xiaoquanb     
    a Department of Biology & Chemistry, Longnan Normal College, Chengxian, Gansu 742500, China;
    b Key Lab of Bioelectrochemisty & Environmental analysis of Gansu Province;Northwest Normal of University, Lanzhou 730070, China
    Abstract: Various porphyrin-containing nanostructures were facilely synthesized by self-assembly technology via modulations of the pH of mixture solution. At low pH, one-dimensional bar is formed, and at high pH, two-dimensional lamellar structure appears. These nanostructures were analyzed by UV-Vis, IR and XRD. One dimensional J-aggregates is formed at low pH through the packing of porphyrin molecules by π-π, and electrostatic interactions. As the pH increases, hydrogen bond plays a key role to switch the porphyrin aggregates into two-dimensional sheets. Photoelectric property test shows a good response of the porphyrin nano-rods to the visible light. This kind of porphyrin nano materials with photoelectric response is expected to be a photoelectric element in electronic devices.
    Key words: preparing method     porphyrin nanomaterials     photoelectric properties    

    与无机纳米硅材料相比,有机纳米材料具有良好的可塑性、可设计性和制备成本低等优势,因此成为近年来材料科学、纳米科学等交叉学科研究的热点。 通过对有机染料分子的设计和修饰,借助分子间弱相互作用(氢键、静电作用、π-π键等)、溶剂效应和表面效应等,可以自组装成不同尺寸、不同形貌的具有特殊性能的有机纳米材料,比如:有机纳米管、纳米纤维和纳米棒等。 这些纳米材料可用于有机电子器件中的场效应晶体管、有机发光显示器等[1-3]。 卟啉分子是广泛存在于自然界中的一类有机化合物,其独特的分子共轭结构使其表现出良好的光电性能。 目前利用自组装技术已制备出不同结构的卟啉微纳米材料,包括纳米粒子、纳米线(纳米管、纳米棒等)、纳米盘以及更高级的卟啉聚集体复杂结构,上述卟啉结构的制备方法已有综述性评论发表[4-5]。 Drain小组[6]最早使用混合溶剂法合成了尺度在20~500 nm的卟啉纳米粒子,并比较研究了纳米粒子的稳定性、光学活性和催化性能;2008年,Perepogu和Bangal研究小组[7]利用超声和再沉淀法制备了较稳定的四苯基卟啉(HTPP)和氟代卟啉(HFTPP)的纳米粒子,但形成的纳米粒子往往会发生团聚。 最近,Sandanayaka[8]报道了利用不同链长的乙二醇实现了卟啉纳米粒子的可控制备。

    近年来一维纳米材料的广泛应用成为有机材料的研究热点。 Alexander等[9-10]首次通过原子力显微镜观察到卟啉纳米棒。 在无机酸的作用下,得到不同长度的四磺酸基苯基卟啉(TPPS)的纳米棒,分析了晶核生长机理,并将其构筑为卟啉纳米棒的场效应晶体管;Shelnutt小组[11]则利用卟啉离子组装技术系统研究了不同形貌的微纳米尺度的卟啉聚集体(纳米管、纳米线、纳米棒、纳米盘以及三维的复杂结构),并实现了以卟啉纳米管为模板光催化剂,成功地制备了贵金属Pt和Au的纳米线;中国科学院化学所万立俊等[12]借助表面活性剂(CTAB)在溶液中组装出六棱管状结构的卟啉纳米材料,通过溶剂的蒸发,形成二维和三维的有序结构,并对纳米材料的形成机制进行了探讨。 刘鸣华等[13]利用卟啉分子在界面组装诱导产生超分子手性方面做了很多有意义的工作,利用该方法制备了不同形貌的卟啉纳米结构,通过组装时间的控制,可以实现对其形貌的调控,结果表明不同的组装体产生的手性也不同;最近江雷等[14]借助再沉淀技术得到了形貌可控的卟啉环、米粒状的纳米结构等,并研究了它们的光电性质。 利用气相沉积的物理方法(蒸发-浓缩-再结晶技术),韩国科学家Yoon等[15]制备了H2T(4-Py)P的单晶矩形的纳米管。 在Ar气保护下,卟啉的粉末被加热到450 ℃,在炉子的尾端上放置硅片(此处温度为350 ℃),就会在硅基底上形成卟啉纳米管。

    近年来,卟啉微纳米材料从合成方法和制备技术都取得了很好的结果。 但如何采用简单、绿色的制备技术来大量组装卟啉微纳米结构依旧是一项挑战性的工作,需要平衡组装动力学或热力学与分子设计之间的关系,另外如何更好地提高其良好的光电性能也是人们需要解决的关键问题。 在这里,我们选择具有两亲性的四羧基苯基卟啉(TCPP)作为目标分子,利用卟啉分子在两种溶剂中极性的差异和溶液pH值的变化,组装出不同结构的卟啉材料。 通过改变组装液生长环境,实现了对其形貌的控制;并将棒状结构的卟啉材料用于构筑光电器件,测试其光电性能。

    1 实验部分
    1.1 试剂和仪器

    四羧基苯基卟啉(TCPP)购置于Sigma公司。 盐酸,乙醇购置于北京化学试剂公司;高纯水(电阻率=18.2 MΩ)是通过Milii-Q仪器(Millipore)使用孔径为0.02 μm的无机过滤膜过滤所得。 Hitachi S-4800型扫描电子显微镜(SEM,日本日立公司),将不同的样品经过洗涤处理后,取一滴转移到干净的硅片上,待晾干后,在场发射扫描电子显微镜操作电压10 kV下进行观察。 Tecnai G20 ST型透射电子显微镜(美国FEI公司),样品分散到乙醇和水的混合溶液中,取几滴样品滴到超薄碳膜的铜网上,待溶剂挥发后,自然晾干,200 kV的操作电压下进行观察。 M18AHF型X射线衍射仪(日本Mac Science),收集足够多的样品,涂覆在反射衬底上,Cu靶(λ=0.154050 nm),扫描范围为3°~80o。 Alpha Centauri FT-IR型红外光谱仪(美国Mattson 仪器公司),溴化钾压片,波长为400~4000 cm-1;U-3010 Spectrophotometer型紫外可见光谱仪(UV-Vis)。

    1.2 卟啉材料的制备方法

    TCPP溶解到乙醇溶液中,配制成0.1 mmol/L卟啉的乙醇溶液。 将0.1 mmol/L卟啉的乙醇溶液与不同浓度的盐酸按照1∶1体积比在20 mL的小玻璃瓶中混合,室温下搅拌5 min,静置72 h,小瓶中呈绿色的悬浊液即所需卟啉材料。

    2 结果与讨论
    2.1 卟啉材料的形貌表征

    图 1为TCPP在不同酸度的盐酸中聚集形成卟啉棒状和盘状结构的SEM和TEM照片。 从图 1A、1B可以看出,当改变不同溶液的pH值时,卟啉材料可以形成不同的结构。当pH=1.0时四羧基苯基卟啉分子发生了聚集,形成单分散较好的微米尺寸的棒状结构(图 1A),溶液颜色为浅绿色。 从放大图 1C可以看出,部分微米棒末端成开口状;从统计结果可以得出,微米棒的直径为300~400 nm,长度主要分布在40~60 μm之间,也可达几百微米。 如果进一步升高溶液的pH值到2.8,则形成微米级薄片结构(图 1B)。 溶液的颜色为浅红色,与卟啉溶液本身颜色相同。 从图中放大图 1D可以看出,该结构表面呈褶皱状,有部分缺陷形成。 图 1E、F给出了卟啉材料的透射电子显微镜照片(插入部分是电子选取衍射谱)。 从衍射斑点可以看出,形成的卟啉材料具有单晶结构。 因此,通过以上数据说明,通过简单的方法能够实现大量制备形貌可控、具有单晶结构的卟啉材料。

    图 1 卟啉材料的SEM(A,B,C,D)和TEM(E,F)照片 Fig. 1 SEM(A,B,C,D) and TEM(E,F) images of porphyrin materialsporphyrinic rods(A,C),pH=1.0; porphyrin sheets(B,D) pH=2.8
    2.2 卟啉材料的光学特征

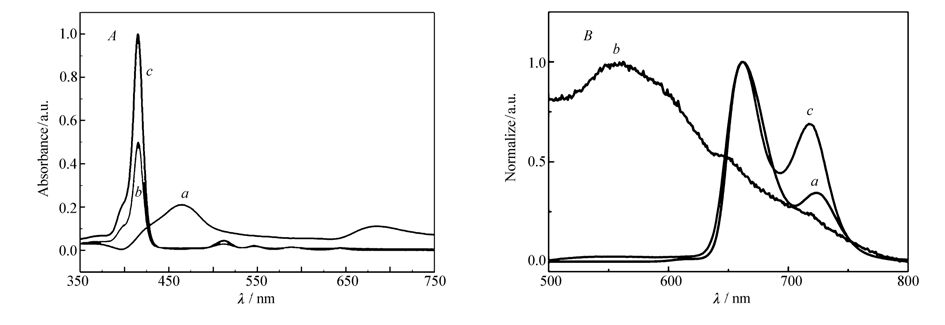
    进一步考察了卟啉材料的光学性质。 从图 1A可以看出,卟啉分子在盐酸的作用下发生质子化后,溶液的颜色由粉红色变为浅绿色,说明卟啉分子发生了聚集,形成了卟啉二聚体和聚集体。 对应于卟啉分子的吸收变化谱可以看出,卟啉分子没有发生聚集时,其分子吸收在418 nm出现强的吸收峰,519、556、593、650 nm处出现弱吸收峰(图 2A谱线a),分别对应于卟啉分子的Soret带和Q吸收带[16];当卟啉分子在混合溶液中发生聚集时,分子在418 nm处的吸收强度降低,460 nm处出现新的吸收峰,650 nm处Q带红移至670 nm处且吸收增强(图 2A谱线a),在低能区出现新的吸收峰并变宽。 这是由于在盐酸作用下,卟啉环上的氮易发生质子化,使卟啉环与外围羧酸基团的共面性增加,通过分子间π-π键作用形成了卟啉的J-聚集态,吸收峰发生明显红移。 说明卟啉分子发生聚集,形成长程有序结构,这一结果与文献[17]报道一致。 图 2A谱线b的Soret吸收峰强度降低并发生明显红移,在418 nm出现宽峰,Q带的数目没有发生变化,说明TCPP分子依旧是自由分子,中心氮原子没有发生质子化。 可能的原因是分子外围羧酸基团与溶剂分子或卟啉分子间形成氢键[18]。 另外从图 2B谱线c中卟啉分子的荧光谱也可以看出,卟啉分子荧光峰出现在650和720 nm左右,对应于卟啉分子的Soret和Q带发射峰,当形成卟啉的棒状结构时,在650和720 nm左右的荧光峰基本消失,在550 nm左右出现一个宽化峰(图 2B谱线a),说明当形成卟啉二聚体后,其荧光峰发生蓝移并且宽化;当形成叶片状结构时,650 nm处的荧光峰没有明显变化,720 nm处荧光峰发生蓝移(图 2B谱线b)。

    图 2 TCPP的UV-Vis谱(A)和荧光谱(B) Fig. 2 UV-Vis(A) and fluorescence spectra(B) of TCPP a.TCPP solution; bmicrorod; c.microleaf.
    2.3 卟啉材料的结构特征

    为了进一步理解卟啉材料的形成过程,比较了卟啉分子与其形成不同形貌材料的红外图谱。 图 3给出了卟啉分子单体、叶片状结构和卟啉棒状结构的红外图谱(对应于图 3中的谱线a、bc)。 与卟啉分子的振动峰相比,当卟啉分子酸化形成二聚体后,在1100~1500 cm-1处吡咯环的伸缩和弯曲振动发生明显变化,卟啉微纳米结构在该区域振动强度减弱;卟啉分子中1350 cm-1处为C—N的伸缩振动,而在形成的微纳米棒结构中几乎消失;卟啉分子中1225 cm-1处几乎没有振动峰,而形成的卟啉微纳聚集体中出现强的振动信号,但遗憾的是目前还不能对该峰给出明确的归属[17-18]。 另外从高波段区来看,在卟啉微纳米棒中,3314 cm-1处N—H的伸缩振动消失,说明形成的卟啉结构中存在卟啉的二聚体结构。 通过红外谱的表征说明,所得到的卟啉棒状材料可能是由卟啉酸化形成二聚体聚集而成,为了更好的理解其形成机理,对其进行XRD表征。

    图 3 TCPP的IR谱 Fig. 3 IR spectra of TCPP a.TCPP; b.TCPP sheets; c.TCPP rods

    图 4卟啉材料和卟啉粉末的XRD谱图可以看出,当形成卟啉聚集体后,出现了一些新的衍射峰,这说明卟啉聚集体中存在一定的分子有序排列。 目前还没有类似文献能够解释所得的这种卟啉微纳米棒的晶面分布和卟啉分子空间排列,我们也试图通过生长单晶的方法得到该微纳米结构的单晶衍射图,但由于尺寸太小,衍射点太弱,没有达到预期的结果。 目前只能从XRD谱图中可以看出,卟啉形成的微纳米棒在5°~10°范围内有衍射峰,说明在该微纳米结构中存在层状结构。 通过红外谱和XRD谱可以得出:形成的微纳米棒可能由质子化的卟啉分子(H2TCPP2+)的π-π键作用、外围羧酸(COOH)基团与另一分子H2TCPP2+形成氢键共同作用的结果,从而形成了卟啉聚集体。

    图 4 TCPP的XRD谱 Fig. 4 XRD patterns of TCPP a.leaf; b.rod; c.powder
    2.4 卟啉材料的的光电性质

    为了评估卟啉微纳米棒(其它形貌的性质有待进一步研究)的应用,将卟啉微米棒转移到SiO2(300 nm)/Si衬底上,干燥后通过掩膜板来制备电极,掩膜板与微米棒方向垂直,用胶带固定好掩膜板后,然后在衬底上真空蒸镀厚度为30 nm左右的金膜,蒸镀完毕后,去掉掩膜板,就得到了“顶接触”的有机微纳米器件,电极间隔为10 μm[19]。 卟啉微纳米棒器件的测试采用双探针法,室温大气环境,测试系统装备有单色光源。 图 5给出了卟啉微米器件对脉冲入射光激发的开关响应曲线。 在光照射下,该微米器件的光电流很大;当关闭光源,电流在40 s内降到最低,再打开光源,电流又在120 s内升到了最大。 经过多次的“开”、“关” 光源的循环,电导的光响应依旧没有降低。 因此,该卟啉微纳米棒的光响应表现出良好的稳定性和可重复性。

    图 5 卟啉微米棒的时间-光电流响应曲线(施加偏压为30 V) Fig. 5 I-t curve of nano-device under the excitation in pulse incident light(the bias of the device is 30 V)
    4 结 论

    选择具有两亲性的四羧基苯基卟啉(TCPP)作为目标分子,在乙醇和盐酸的混合溶液里,通过改变溶液的酸度,制备了具有不同形貌的卟啉微纳米材料,并通过各种表征方法对其形貌、结构进行了表征,研究表明形成该微纳米结构的主要作用力为质子化卟啉分子的π-π作用、外围羧酸基团与卟啉分子的氢键作用等;在此基础上将该卟啉微纳米棒用来构筑有机微纳器件,并测试其光电性能,结果表明,该卟啉微纳米结构表现出良好的光电性能和光开关比。 这种组装方法简单、绿色、易大量制备,并且可以推广到其它两亲性的卟啉分子。 通过改变溶液的酸碱性就可以得到不同形貌的卟啉的微纳米结构。 这种具有光电响应的卟啉微纳米棒有望成为微纳电子器件的有机光电元件。

    参考文献
    [1] Liu H B, Xu J L, Li Y J, et al. Aggregate Nanostructures of Organic Molecular Materials[J]. Acc Chem Res , 2010, 43 (12) : 1496–1508. DOI:10.1021/ar100084y ()
    [2] Li R J, Hu W P, Liu Y Q, et al. Micro- and Nanocrystals of Organic Semiconductors[J]. Acc Chem Res , 2010, 43 (4) : 529–540. DOI:10.1021/ar900228v ()
    [3] Wang Z Q, Zheng C J, Liu H, et al. Efficient and Stable Non-doped Deep-blue Organic Light Emitting Diode Based on an Anthracene Derivative[J]. Sci China:Chem , 2011, 54 (4) : 666–670. DOI:10.1007/s11426-011-4243-9 ()
    [4] Imahori H, Umeyama T, Ito S. Large π-Aromatic Molecules as Potential Sensitizers for Highly Efficient Dye-Sensitized Solar Cells[J]. Acc Chem Res , 2009, 42 (11) : 1809–1818. DOI:10.1021/ar900034t ()
    [5] Imahori H. Giant Multiporphyrin Arrays as Artificial Light-Harvesting Antennas[J]. J Phys Chem B , 2004, 108 (20) : 6130–6143. DOI:10.1021/jp038036b ()
    [6] Gong X C, Milic T, Drain C M, et al. Preparation and Characterization of Porphyrin Nanoparticles[J]. J Am Chem Soc , 2002, 124 (48) : 14290–14291. DOI:10.1021/ja027405z ()
    [7] Wang L L, Liu H G, Hao J C. Stable Porphyrin Vesicles Formed in Non-aqueous Media and Dried to Produce Hollow Shells[J]. Chem Commun , 2009 : 1353–1355. ()
    [8] Sandanayaka S D, Araki Y, Wada T, et al. Size-Controlled Self-Assembled Porphyrin Nanoassemblies Organized by Ethylene Glycol Derivatives for Photophysical Studies[J]. J Phys Chem C , 2008, 112 (49) : 19209–19216. DOI:10.1021/jp805202y ()
    [9] Schwab D, Smith D E, Rich C S, et al. Porphyrin Nanorods[J]. J Phys Chem B , 2003, 107 (41) : 11339–11345. DOI:10.1021/jp035569b ()
    [10] Schwab D, Smith D E, Bond-Watts B, et al. Photoconductivity of Self-Assembled Porphyrin Nanorods[J]. Nano Lett , 2004, 4 (7) : 1261–1265. DOI:10.1021/nl049421v ()
    [11] Wang Z C, Medforth C J, Shelnutt J A. Self-Metallization of Photocatalytic Porphyrin Annotates[J]. J Am Chem Soc , 2004, 126 (51) : 16720–16721. DOI:10.1021/ja044148k ()
    [12] Hu J S, Guo Y G, Wan L J, et al. Three-Dimensional Self-Organization of Supramolecular Self-Assembled Porphyrin Hollow Hexagonal Nanoprisms[J]. J Am Chem Soc , 2005, 127 (48) : 17090–17095. DOI:10.1021/ja0553912 ()
    [13] Qiu Y F, Chen P L, Liu M H. Evolution of Various Porphyrin Nanostructures via an Oil/Aqueous Medium: Controlled Self-Assembly, Further Organization, and Supramolecular Chirality[J]. J Am Chem Soc , 2010, 132 (28) : 9644–9652. DOI:10.1021/ja1001967 ()
    [14] Cai J H, Wa ng, J X, Jiang L, et al. Morphology-controlled Self-assembled Nanostructures of a Porphyrin Derivative and their Photoelectrochemical Properties[J]. RSC Adv , 2014, 8 : 4063–4068. ()
    [15] Yoon S M, Hwang I C, Choi H Cet, et al. Synthesis of Single-crystal Tetra(4-pyridyl)porphyrin Rectangular Nanotubes in the Vapor Phase[J]. Angew Chem Int Ed , 2009, 48 (14) : 2506–2509. DOI:10.1002/anie.v48:14 ()
    [16] Zheng W Q, Shan N, Yu L X, et al. UV-Vis, Fluorescence and EPR Properties of Porphyrins and Metalloporphyrins[J]. Dye Pigm , 2008, 77 (1) : 153–157. DOI:10.1016/j.dyepig.2007.04.007 ()
    [17] Choi M Y, Pollard J A, Webb M A, et al. Counterion Dependent Dye Aggregates:Nanorods and Nanorings of Tetra(p-carboxyphenyl)porphyrin[J]. J Am Chem Soc , 2003, 125 (3) : 810–820. DOI:10.1021/ja0274397 ()
    [18] Stone A, Fleischer E B. The Molecular and Crystal Structure of Porphyrin Diacids[J]. J Am Chem Soc , 1968, 90 (11) : 2735–2748. DOI:10.1021/ja01013a001 ()
    [19] Zhang Y Q, Chen P L, Hu W P, et al. Controllable Fabrication of Supramolecular Nanocoils and Nanoribbons and Their Morphology-Dependent Photoswitching[J]. J Am Chem Soc , 2009, 131 (8) : 2756–2757. DOI:10.1021/ja805891k ()