应用化学   2016, Vol. 33 Issue (3): 299-306   PDF    
Article Options
  • PDF
  • Full Text HTML
  • Abstract
  • Figures
  • References
  • History
  • Received: 2015-07-06
  • Revised: 2015-09-01
  • Published on Web: 2015-12-03
  • 扩展功能
    把本文推荐给朋友
    加入引用管理器
    Email Alert
    RSS
    本文作者相关文章
    张欢欢
    许东华
    管东波
    姚卫国
    石彤非
    不同温度下环氧树脂代木搪塑模具的固化过程
    张欢欢a,b,c, 许东华b, 管东波a, 姚卫国a, 石彤非b     
    a 吉林大学材料科学与工程学院,教育部汽车材料重点实验室 长春 130025;
    b 中国科学院长春应用化学研究所,高分子物理与化学国家重点实验室 长春 130022;
    c 中国科学院大学 北京 100049
    摘要: 采用流变学的方法研究了环氧树脂代木搪塑模具在不同温度下的固化过程。为了找到合适的测试条件,首先研究了应变和振荡频率对环氧树脂代木搪塑模具的测试结果的影响。环氧树脂代木搪塑模具固化过程中,体系交联程度逐渐变大;在不同的固化阶段,固化程度的变化快慢不同,先缓慢增加,然后迅速增加,最后缓慢增加至平台值;储能模量和损耗模量的变化速度在不同阶段的变化与固化程度的变化相似,根据储能模量和损耗模量的最快增长速率与温度的关系得到体系的活化能约为27.2 kJ/mol;随着固化温度升高,环氧树脂代木搪塑模具固化完全所需的时间减少,同时环氧树脂的施工容留时间也相应地减少。
    关键词: 环氧树脂     搪塑模具     固化     流变性能    
    The Curing Process of Epoxy Resin Tooling Board for Slush Mold at Different Temperature
    ZHANG Huanhuana,b,c, XU Donghuab, GUAN Dongboa, YAO Weiguoa, SHI Tongfeib     
    a Key Laboratory of Automobile Materials, Ministry of Education, College of Materials Science and Engineering, Jilin University, Changchun 130025, China;
    b State Key Laboratory of Polymer Physics and Chemistry, Changchun Institute of Applied Chemistry, Chinese Academy of Sciences, Changchun 130022, China;
    c University of Chinese Academy of Sciences, Beijing 100049, China
    Abstract: The curing process of epoxy resin tooling board for slush mold with different temperature was studied by the rheological method. To find the suitable test condition, the influence of strain and oscillatory frequency on the curing process of epoxy resin tooling board for slush mold was investigated firstly. During the process of curing, the degree of curing becomes larger with time. However, for different stages, the curing rate is different, from slow to fast and finally becomes slow again until plateau. This variation trend is also similar with the storage modulus and loss modulus. On the basis of the relation between the maximum increasing speed of modulus and the reaction temperature, the activation energy of epoxy resin tooling board for slush mold is calculated to be 27.2 kJ/mol. As the reaction temperature increases, the curing rate of the two-component epoxy resin for slush mold speeds up and less time is needed to finish the curing reaction of the epoxy resin. At the same time, the time which can be used to handle the epoxy resin for making mold becomes less with the increase of temperature.
    Key words: epoxy resin     slush mold     curing     rheological properties    

    环氧树脂是指含有两个或者两个以上的环氧基团的有机化合物,是一类十分重要的热固性树脂[1-2]。 环氧树脂因具有良好的加工性、粘结性、抗腐蚀性、电绝缘性、较好的力学性能以及较低的固化收缩率等各种优异的性能[3-7],常常被用作搪塑模具,在汽车内饰品的制作过程中得到了广泛的应用[8]

    环氧树脂在使用过程中,一般要和固化剂发生交联反应。 因此,对于环氧树脂的固化过程的研究具有十分重要的意义[9]。 目前,对于环氧树脂的固化过程的研究主要有两种方法。 第一种方法是差示扫描量热法(DSC)方法[9-14]。 比如,甘丽等借助DSC用等温与升温法研究了环氧树脂固化过程的动力学过程[12]。 用DSC方法研究环氧树脂的固化过程,利用的是环氧树脂固化过程中体系热量的变化[13]。 第二种方法是流变学方法。 流变学方法研究环氧树脂的固化根据的是固化过程中体系粘度、储能模量及损耗模量的变化[15-19]。 例如,Camero-Martínez等[15]对环氧基丙烯酸树脂固化过程中的储能模量、损耗模量及粘度的变化进行了研究。

    轿车仪表板表皮材料通常是聚氯乙烯干粉料通过粉末搪塑工艺生产而成的。 在制备应用于搪塑工艺中的镍壳模具时,需要制备3种不同的搪塑模具[8]:首先制备环氧树脂代木(环氧树脂合成板)模具、然后通过环氧树脂代木模具来制备硅橡胶模具、最后在硅橡胶模具中灌注流动性好的双组份环氧树脂来制备电镀用的环氧树脂模具。 制备镍壳模具需要的环氧树脂代木模具、硅橡胶模具、环氧树脂模具的固化过程中的流变性能与它的制备和应用息息相关[20],对镍壳模具的成功制造至关重要。 硅橡胶模具的固化过程已经在我们先前的一篇文章中进行了研究[21]。 本文将用流变学方法对环氧树脂代木模具的固化过程进行研究。

    1 实验部分
    1.1 试剂和仪器

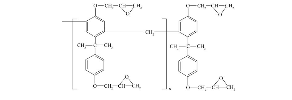
    环氧树脂代木模具的原材料是双组分环氧树脂HX4603(购于广州市恒新模具材料有限公司),其中,A组分为双酚A型环氧树脂,其结构示意图如图 1所示,B组分为固化剂,其主要成分是多元胺。

    图 1 环氧树脂HX4603中A组分的化学结构式 Fig. 1 Chemical formula of A component of epoxy resin HX4603

    环氧树脂固化过程中流变性能的变化用美国TA公司生产的AR-2000EX型流变仪进行原位测试。 所用夹具为自制的25 mm的平行铝板夹具。 应变扫描所采用的频率是10 rad/s;动态振荡频率扫描的应变是0.2%,频率为0.1~200 rad/s;时间扫描的频率是1、10和100 rad/s,除特别说明外,时间扫描的频率是10 rad/s,应变是0.2%。 研究温度对环氧树脂代木搪塑模具固化过程的影响时,采用了3个温度,分别是15、25和40 ℃。

    1.2 试样的制备

    按照1∶1的质量比将环氧树脂A组分和环氧树脂B组分混合,然后在玛瑙研钵中研磨5 min,将二者充分混合均匀。 随后立即在AR-2000EX型流变仪上进行测试。

    2 结果与讨论
    2.1 应变扫描结果

    环氧树脂完全固化后,是固体状态,无法进行应变扫描,因此本文仅对环氧树脂A组分和B组分混合后的初期(混合后5 min左右)进行了应变扫描,其结果如图 2所示。

    图 2 HX4603环氧树脂A组分和B组分混合后储能模量G′和损耗模量G″与应变的关系图 Fig. 2 Storage modulus G′ and loss modulus G″ versus strain for HX4603 after mixing A and B components

    根据图 2的结果可以发现即使在应变量很小的情况下,随着应变量的增加,储能模量G′和损耗模量G″逐渐变小,没有出现平台区域。 这是因为环氧树脂在固化初期具有触变性的特点[22]。 当应变量超过一定的值,储能模量G′和损耗模量G″随着应变量的增加而变大,即出现了应变硬化现象,对于环氧树脂这种应变硬化现象产生的机理将在另外一篇文章中单独讨论。 最后,随着应变量的进一步增加,储能模量G′和损耗模量G″再次出现减小的趋势,这是因为在大应变的情况下,样品结构被破坏,从而导致储能模量G′和损耗模量G″再次减小。 为了尽量减少大应变对样品结构的影响及保证流变仪的测量准确性,在以后的测试中所采用的应变量为0.2%。

    2.2 扫描频率对测试结果的影响

    不同扫描频率下的动态振荡时间扫描结果如图 3所示。 扫描频率从1 rad/s增加到100 rad/s的过程中,G′ 和G″的最大增长速度是一致的,储能模量G′达到最大值的时刻是一致的(即固化完成的时间是一致的),且在整个固化过程中G′ 和G″的变化趋势也是相同的。 因此,可以确认扫描频率的不同对于研究环氧树脂代木搪塑模具的固化过程没有影响 。所以,研究环氧树脂代木搪塑模具固化动力学过程时只采用了一种扫描频率,即10 rad/s。

    图 3 HX4603环氧树脂在不同扫描频率下储能模量G′和损耗模量G″随固化时间的变化 Fig. 3 Storage modulus G′ and loss modulus G″ versus reaction time for HX4603 at different sweep frequenciesThe temperature is 40 ℃,the strain is 0.2%
    2.3 温度对交联固化的影响

    图 4给出了不同温度下G′和G″随固化时间的变化。 G′和G″随固化时间的变化大概可以分为3个阶段。 第1个阶段对应固化进行初期,G′和G″随固化时间的变化不大,此阶段可以认为是操作阶段,在这一阶段下可以对环氧树脂进行施工和定位[23]。 第2阶段对应固化中期,在这一阶段G′和G″快速增加,且G′将由小于G″变成大于G″,这一阶段可以认为是真正进入固化阶段。 第3阶段对应固化末期,在这一阶段,G′和G″增速减缓,储能模量G′逐渐达到最大值,损耗模量G″在达到最大值后又会降低。 此外,随着温度的降低,固化完成的时间逐渐变长。

    图 4 HX4603环氧树脂在不同温度下储能模量G′和损耗模量G″随固化时间的变化 Fig. 4 Storage modulus G′ and loss modulus G″ versus reaction time at different temperatures for HX4603

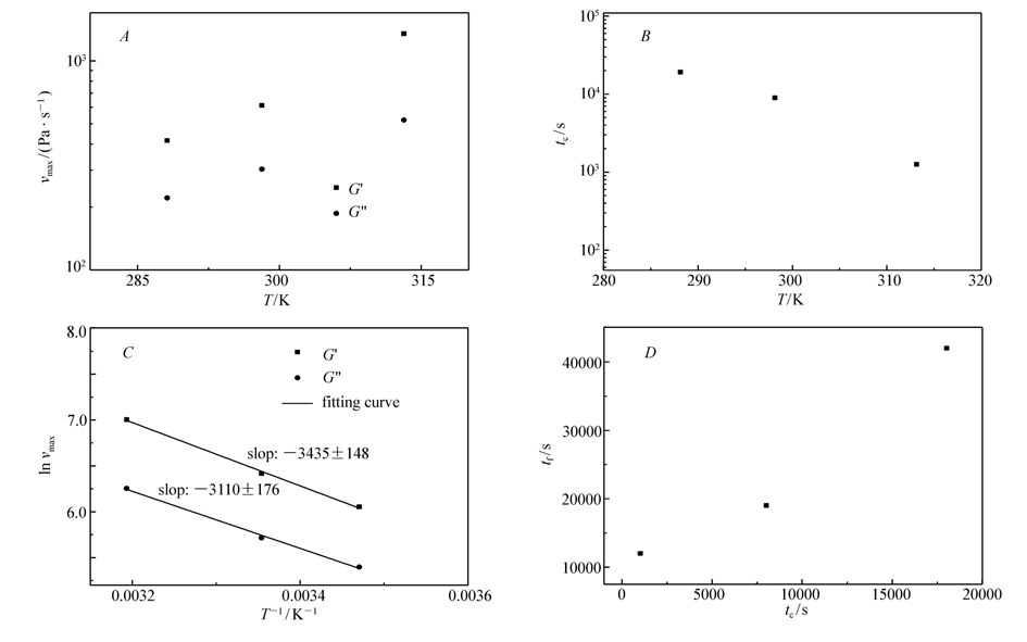
    根据图 4的结果可以进一步得到G′和G″的最大增长速度(vmax,Pa/s)以及G′和G″的交叉点对应的时间tc(s)与固化温度之间的关系,如图 5所示。 根据图 5A图 5B可知,随着固化温度的升高,vmax 变大,tc变小。 因此,在不同的固化温度下,固化完成的速度是不同的,固化温度越高,固化完成得越快。 根据阿伦尼乌斯公式[24]:

    $K=Aexp(-\frac{{{E}_{a}}}{RT})$ (1)

    式中,K是反应速率常数,A为指前因子,Ea为阿伦尼乌斯活化能,R为摩尔气体常量,T为热力学温度.

    图 5 由储能模量G′和损耗模量G″得到的最大反应速率vmax对温度的依赖关系(A);tc 对温度的依赖关系(B); ln vmax对1/T的依赖关系(C);固化完全所需的时间tftc的依赖关系(D) Fig. 5 Reaction temperature dependence of the maximum growth rate vmax obtained from storage modulus G′ and loss modulus G″(A); reaction temperature dependence of tc(B); ln vmax dependence of 1/T. T is the reaction temperature(C); the time needed to finish the curing reaction tf dependence of tc(D)

    根据阿伦尼乌斯公式我们可以得到:固化温度T升高,反应速率常数K变大,则固化时间减小,与本文的实验结果相吻合。 将式(1)两边取对数可以得到:

    $~ln~K=ln~A-\frac{{{E}_{a}}}{RT}$ (2)

    vmax来代表体系的反应速率常数K,得:

    $~~K=c{{v}_{max}}$ (3)
    $ln~K=ln~c+ln~{{v}_{max}}=ln~A-\frac{{{E}_{a}}}{RT}$ (4)
    $ln~{{v}_{max}}=ln~A-ln~c-\frac{{{E}_{a}}}{RT}=ln~C-\frac{{{E}_{a}}}{RT}$ (5)

    式中,c,C是常数。 根据ln vmax与1/T的关系即可得到体系的表观反应活化能Ea。 不同温度下的ln vmax与1/T的关系如图 5C所示。 G′和G的ln vmax与1/T作图都得到一条倾斜直线,且斜率近似相同,这说明我们用ln vmax和1/T求体系的反应活化能是合理的。 根据两条直线斜率的平均值(-3272),得到Ea=27.2 kJ/mol。

    储能模量与损耗模量的交点tc可以近似看做体系的凝胶点[20]tc随着温度的升高而减少,如图 5B所示,其能够显著影响体系固化完全所需的时间tf(定义储能模量G′达到最大值所需的时间为tf)。 根据图 5D可得,随着tc的增加,体系固化完全所需的时间tf显著增加。 因为温度降低时,体系反应速率减慢,tc增加,从而导致固化完全所需的时间tf显著增加。

    2.4 交联固化的3个阶段

    环氧树脂HX4603 A和B组分混合后,将发生交联固化反应。 固化过程中,环氧树脂状态的变化可以通过样品在不同反应阶段的线性频率扫描的结果来判断。 如图 6所示,固化初期,储能模量G′在整个测试频率范围内都小于损耗模量G″,此时,体系的交联点还很少,体系具有液体状态的性质[25];随着固化时间的增加,储能模量和损耗模量均逐渐变大,说明体系的交联点随着固化反应的进行逐渐增多,交联程度逐渐变大。 此时,在低频区G′>G″,在高频区G′<G″,这是因为体系的松弛时间增加,但还没形成完善的网络结构。 随着固化反应的进一步进行,体系进入固化末期,此时,在整个测试频率范围内G′>G″,说明体系形成了三维网状结构,体系已经变成固体[25]

    图 6 不同阶段下储能模量G′和损耗模量G″随振荡扫描频率的变化 Fig. 6 Storage modulus G′ and loss modulus G″ of samples at different stages versus angular frequencyThe reaction temperature is 25 ℃ and the strain is 0.2%
    2.5 固化动力学

    固化程度是环氧树脂固化过程中一个十分重要的变量[26-27]。 为了定量地研究环氧树脂代木搪塑模具固化反应的动力学过程,定义固化程度X[20, 28-29]:

    $X=\frac{G\prime \left( t \right)-G\prime ({{t}_{0}})}{G{{\prime }_{max}}-G\prime ({{t}_{0}})~}$ (6)

    式中, G′(t)为反应时间为t的储能模量,G′(t0)为反应最初的储能模量,Gmax为反应过程中最大的储能模量。

    不同温度下,固化过程中,固化程度X的变化如图 7所示。 根据图 7的结果,可以得到,不同固化温度下,即15 ℃(图 7A),25 ℃(图 7B),40 ℃(7C),固化初期,固化程度X的值很小且变化不大;固化中期,固化程度X显著增加;固化末期,固化程度X逐渐达到1。 对模具用环氧树脂的施工、定位等操作一定要在固化初期进行,因为这一阶段,固化程度X很小且变化不大,对环氧树脂进行施工等操作不会影响固化之后的环氧树脂的性能。 固化温度越低,可以用来对环氧树脂施工、定位等操作的时间就越长。 热固性树脂的固化机理可以分为n级固化和Kamal自催化反应固化,Kamal自催化模型最大的特点是反应有诱导期,反应经历一定时间后,速度才达最大值[13]。 在不同的温度下,HX4603双组分环氧树脂固化速率增长最快(即储能模量G′增长最快)的时刻,对应的固化程度X约为0.3。 因此,在不同的温度下,环氧树脂的固化过程存在一定的诱导期,所以环氧树脂的固化动力学过程属于Kamal 自催化模型[10, 13, 30]

    图 7 不同温度下损耗模量G″和固化程度X对反应时间的依赖关系,图中的虚线表示固化速率最快时的反应程度 Fig. 7 Reaction time dependence of loss modulus G″ and curing degree X A.the reaction temperature is 15 ℃; B.the reaction temperature is 25 ℃; C.the reaction temperature is 40 ℃. The short dash line represents the curing degree as curing speed is the most fast
    3 结 论

    使用流变学方法可以很好的研究环氧树脂代木搪塑模具的固化过程。 固化过程中,储能模量G′和损耗模量G″随固化时间的变化大概可以分为3个阶段,在第1阶段,G′和G″缓慢增加;在第2阶段,G′和G″快速增加,且G′将由小于G″变成大于G″;在第3阶段,G′和G″增速再次减缓直至储能模量G′逐渐达到最大值、损耗模量G″达到最大值而后降低。 根据G′和G″的最大增长速度和固化温度之间的关系,可以得到环氧树脂代木搪塑模具的表观活化能Ea约为27.2 kJ/mol。 随着固化反应的进行,体系交联点逐渐增多,固化程度逐渐变大,体系由液态逐渐变成固态。

    研究发现,固化温度越低,环氧树脂代木搪塑模具固化完成的时间越长,同时,可以用来对环氧树脂进行操作的时间也越长。 为了加快固化速度、提高效率,可以采用升高固化温度的方法;为了获得更多的对环氧树脂操作的时间,可以采用降低固化温度的方法。

    参考文献
    [1] XIE Haian. Research Status of Modification of Epoxy Resin[J]. Plast Sci Technol , 2007, 35 (1) : 82–85. (in Chinese) 谢海安. 环氧树脂改性研究进展[J]. 塑料科技 , 2007, 35 (1) : 82–85. ()
    [2] WANG Wei. The Research Development of Curing Technology and Curing Agents for Epoxy Resin[J]. Thermoset Resin , 2001, 16 (3) : 29–33. (in Chinese) 王伟. 环氧树脂固化技术及其固化剂研究进展[J]. 热固性树脂 , 2001, 16 (3) : 29–33. ()
    [3] LIU Ye, DU Ming. Research Progress in Modification Techniques New Methods and Mechanism of Toughening Epoxy Resins[J]. Chem Adhes , 2007, 29 (3) : 197–200. (in Chinese) 刘野, 杜明. 环氧树脂增韧改性技术研究进展和新方法及其机理[J]. 化学与粘合 , 2007, 29 (3) : 197–200. ()
    [4] GUO Zhansheng, DU Shanyi, ZHANG Boming, et al. CURE Kinetics and Chemorheological Behavior of Epoxy Resin Used in Advanced Composites[J]. Acta Mater Compos Sin , 2004, 21 (4) : 146–151. (in Chinese) 郭战胜, 杜善义, 张博明, 等. 先进复合材料用环氧树脂的固化反应和化学流变[J]. 复合材料学报 , 2004, 21 (4) : 146–151. ()
    [5] ZENG Xiaoliang, LIU Jia, XIONG Yuanqin, et al. Progress in Research on High Heat Resistance of Epoxy Resins[J]. Chem Ind Eng Prog , 2009, 28 (6) : 986–990. (in Chinese) 曾小亮, 刘甲, 熊远钦, 等. 高耐热性环氧树脂的研究进展[J]. 化工进展 , 2009, 28 (6) : 986–990. ()
    [6] BAI Yunqi, XUE Limei, LIU Yunfu. Advance in Modification of Epoxy Resin[J]. Chem Adhes , 2007, 29 (4) : 289–292. (in Chinese) 白云起, 薛丽梅, 刘云夫. 环氧树脂的改性研究[J]. 化学与粘合 , 2007, 29 (4) : 289–292. ()
    [7] HONG Bin, WANG Tianzhen. Market Analysis of Epoxy Applications[J]. Thermoset Resin , 2011, 26 (3) : 54–58. (in Chinese) 洪彬, 王天祯. 环氧树脂应用领域市场分析[J]. 热固性树脂 , 2011, 26 (3) : 54–58. ()
    [8] 李佰林. 搪塑模具制备及搪塑工艺关键技术研究[D]. 长春: 吉林大学,2014. LI Bailin. Study on Key Technologies of Slush Mould Preparation and Slush Forming Process[D]. Changchun:Jilin University,2014(in Chinese). http://cdmd.cnki.com.cn/Article/CDMD-10183-1014271307.htm ()
    [9] WU Wei, LIU Mingchang, CHEN Yu, et al. Shifting of the Curing Kinetic of E-51 Epoxy Resin[J]. Acta Mater Compos Sin , 2011, 28 (4) : 1–6. (in Chinese) 吴唯, 刘明昌, 陈玉, 等. E-51环氧树脂固化反应中动力学转变[J]. 复合材料学报 , 2011, 28 (4) : 1–6. ()
    [10] ZHANG Jing, HUANG Pei. Research Advances in Epoxy Resin Curing Kinetics[J]. Mater Rev , 2009, 23 (7) : 58–61. (in Chinese) 张竞, 黄培. 环氧树脂固化动力学研究进展[J]. 材料导报 , 2009, 23 (7) : 58–61. ()
    [11] XIE Hongfeng, LIU Binghua, SUN Qing, et al. The Influence of Vapor-Grown Carbon Fibers on the Cure Reaction of Epoxy and the Curing Kinetics of the Composites[J]. Acta Polym Sin , 2005, 6 : 891–895. (in Chinese) 谢鸿峰, 刘炳华, 孙清, 等. 气相生长碳纤维对环氧树脂固化反应的影响及其复合物固化动力学研究[J]. 高分子学报 , 2005, 6 : 891–895. ()
    [12] GAN Li, SUN Zhijie, GU Zhizhuo, et al. Epoxy Resin Curing Reaction Studied by Dynamic and Isothermal Model Free Kinetics[J]. Acta Polym Sin , 2010, 8 : 1016–1021. (in Chinese) 甘丽, 孙志杰, 顾轶卓, 等. 升温与等温法非模型动力学研究环氧树脂固化反应[J]. 高分子学报 , 2010, 8 : 1016–1021. ()
    [13] MAO Youan, TONG Yiqing. A Study of the Curing Kinetic of Epoxy Resin by DSC[J]. Polym Mater Sci Eng , 1991, 3 : 18–22. (in Chinese) 毛友安, 童乙青. 用DSC 研究环氧树脂固化动力学[J]. 高分子材料科学与工程 , 1991, 3 : 18–22. ()
    [14] Skordos A A, Partridge I K. Cure Kinetics Modeling of Epoxy Resins Using a Nonparametric Numerical Procedure[J]. Polym Eng Sci , 2001, 41 (5) : 793–805. DOI:10.1002/(ISSN)1548-2634 ()
    [15] Cañmero-Martínez P, Fernández-García M, Dela Fuente J L. Rheological Cure Characterization of a Polyfunctional Epoxy Acrylic Resin[J]. React Funct Polym , 2010, 70 (10) : 761–766. DOI:10.1016/j.reactfunctpolym.2010.07.010 ()
    [16] CHEN Xianhua, SHEN Guiping, ZHANG Xu, et al. Rheological Characteristics of Epoxy Asphalt Binders and Their Allowable Reserved[J]. J Highw Transp Res Dev , 2010, 27 (6) : 29–33. (in Chinese) 陈先华, 沈桂平, 张旭, 等. 环氧沥青结合料的流变特性与施工容留时间预测[J]. 公路交通科技 , 2010, 27 (6) : 29–33. ()
    [17] WANG Zhen, LI Qingxuan, GAO Lianxun, et al. Rheological Behavior of Themosetting Polyimide Resins[J]. Chinese J Appl Chem , 2005, 22 (5) : 538–550. (in Chinese) 王震, 李青璇, 高连勋, 等. 热固性聚酰亚胺基体树脂的流变行为[J]. 应用化学 , 2005, 22 (5) : 538–550. ()
    [18] Zhao C, Zhang G C, Zhao L. Effect of Curing Agent and Temperature on the Rheological Behavior of Epoxy Resin Systems[J]. Molecules , 2012, 17 (7) : 8587–8594. ()
    [19] Palomo B, Habas-Ulloa A, Pignolet P, et al. Rheological and Thermal Study of the Curing Process of a Cycloaliphatic Epoxy Resin:Application to the Optimization of the Ultimate Thermomechanical and Electrical Properties[J]. J Phys D:Appl Phys , 2013, 46 (6) : 065301–065310. DOI:10.1088/0022-3727/46/6/065301 ()
    [20] Ramis X, Cadenato A, Morancho J M, et al. Curing of a Thermosetting Powder Coating by Means of DMTA, TMA and DSC[J]. Polymer, , 2003, 44 (7) : 2067–2079. DOI:10.1016/S0032-3861(03)00059-4 ()
    [21] ZHANG Huanhuan, XU Donghua, GUAN Dongbo, et al. Rheological Properties of Two-Component Silicon Rubber During Cross-Linking by Addition Reaction[J]. Chem J Chinese Univ , 2015, 36 (4) : 788–793. (in Chinese) 张欢欢, 许东华, 管东波, 等. 双组分加成型硅橡胶交联固化过程的流变学研究[J]. 高等学校化学学报 , 2015, 36 (4) : 788–793. ()
    [22] SHI Minghui. Epoxy Resin Adhesive with High Thixotropy[J]. Adhes China , 2008, 29 (11) : 19–22. (in Chinese) 石明辉. 高触变性环氧树脂胶粘剂的研究[J]. 粘结 , 2008, 29 (11) : 19–22. ()
    [23] LI Jia, JI Tiezheng, CHEN Lixin. Study on Epoxy Resin Adhesive with High Temperature Curing[J]. China Adhes , 2011, 20 (11) : 18–21. (in Chinese) 李佳, 季铁正, 陈立新. 高温固化环氧树脂胶粘剂的研究[J]. 中国胶粘剂 , 2011, 20 (11) : 18–21. ()
    [24] Davidson E A, Janssens I A, Luo Y Q. On the Variability of Respiration in Terrestrial Ecosystems: Moving Beyond Q(10)[J]. Global Change Biol, , 2006, 12 (2) : 154–164. DOI:10.1111/gcb.2006.12.issue-2 ()
    [25] Nishinari K. Some Thoughts on the Definition of a Gel[J]. Prog Colloid Polym Sci , 2009, 136 : 87–94. ()
    [26] Dela Caba K, Guerrero P, Eceiza A, et al. Kinetic and Rheological Studies of an Unsaturated Polyester Cured with Different Catalyst Amounts[J]. Polymer , 1996, 37 (2) : 275–280. DOI:10.1016/0032-3861(96)81099-8 ()
    [27] Boey F Y C, Song X L, Yue C Y, et al. Modeling the Curing Kinetics for a Modified Bismaleimide Resin[J]. J Polym Sci,Part A:Polym Chem , 2000, 38 (5) : 907–913. DOI:10.1002/(ISSN)1099-0518 ()
    [28] Martin J S, Laza J M, Morr s M L, et al. Study of the Curing Process of a Vinyl Ester Resin by Means fo TSR and DMTA[J]. Polymer , 2000, 41 (11) : 4203–4211. DOI:10.1016/S0032-3861(99)00631-X ()
    [29] Djabourov M, Leblond J, Papon P. Gelation of Aqueous Gelatin Solutions.Ⅰ.Structural Investigation[J]. J Phys France , 1988, 49 (2) : 319–332. DOI:10.1051/jphys:01988004902031900 ()
    [30] Turi E A, Thermal Characterization of Polymeric Materials[M].Vol. 2. New York: Academic Press, 1988 : 1382 -1451. ()