有机化学  2016, Vol. 36 Issue (3): 512-519   PDF    
齐墩果酸A环与C环内酯衍生物的设计合成
俞飞a , 郑永祥b , 彭逸云b , 周德敏b , 肖苏龙b     
a 昆明理工大学医学院 昆明 650500;
b 北京大学药学院 天然药物及仿生药物国家重点实验室 北京 100191
天然药物及仿生药物国家重点实验室开放基金(No. K20150214)、昆明理工大学人才引进(No. KKSY201560002)资助项目
摘要:齐墩果酸是一个五环三萜类天然产物, 具有多种生物活性和药理活性.以齐墩果酸为起始原料, 采用间氯过氧苯甲酸以及过氧化脲等试剂进行其A环和C环内酯化修饰, 以较高收率获得了系列齐墩果酸A/C环内酯化衍生物.所有产物均经1H NMR、13C NMR和高分辨质谱数据分析进行了结构确定, 其中有12个化合物为新化合物.
关键词齐墩果酸    Baeyer-Villiger反应    内酯    
Design and Synthesis of Oleanolic Acid Rings A and C Lactone Derivatives
Yu Feia , Zheng Yongxiangb , Peng Yiyunb , Zhou Deminb , Xiao Sulongb     
a Medical Faculty, Kunming University of Science and Technology, Kunming 650500 ;
b State Key Laboratory of Natural and Biomimetic Drugs, School of Pharmaceutical Sciences, Peking University, Beijing 100191
Abstract: Oleanolic acid (OA), a naturally occurring triterpene, was found to have a variety of biological and pharmacological properties. To expand its structural diversity, a series of oleanolic acid derivatives, including ring A and/or ring C expansion, were performed via Baeyer-Villiger reaction using m-CPBA and urea-hydrogen peroxide. The structures of all products were characterized by 1H NMR, 13C NMR and HRMS.
Key Words: oleanolic acid    Baeyer-Villiger reaction    lactone    

齐墩果酸(Oleanolic Acid, OA)是自然界中广泛存在的一种五环三萜类天然产物, 它多以皂苷的形式存在于多种植物中, 如人参、三七、皂荚等.它具有抗病毒[13]、抗菌[4]、抗癌[5]等广泛的生物活性[6]此对OA及其衍生物的研究开发备受瞩目.然而, 因OA自身生物活性较弱, 并且存在水溶性差等缺点, 阻碍了它在临床上的深入应用.为了提高其生物活性以及生物利用度, 科研人员对它进行了大量的结构修饰及相应的构效关系研究[7].

由于OA母核可修饰的位点较少, 已有文献报道对齐墩果酸的结构修饰主要集中在C(3)位羟基, C环双键以及C(28)位羧基.本文采用Baeyer-Villiger反应对OA的A环及C环进行结构修饰获得相应的OA内酯衍生物, 扩展了齐墩果烷型五环三萜的结构多样性, 这对于OA的进一步开发利用具有重要意义.

1 结果与讨论
1.1 齐墩果酸A环内酯衍生物的合成

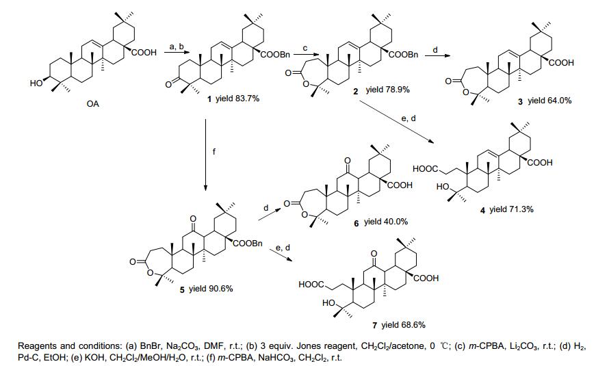
OA的A环内酯衍生物合成路线如Scheme 1所示, 采用间氯过氧苯甲酸(m-CPBA)试剂即可在化合物1的C(3)位羰基构建内酯, 并获得单一目标化合物2. Wu课题组[8]部分工作作了系统报道.

图式1 齐墩果酸A环内酯化衍生物的合成 Scheme1 齐墩果酸A环内酯化衍生物的合成
1.2 齐墩果酸的C环内酯衍生物的合成

以OA为起始原料, 通过C(28)位羧基苄酯化, C(3)位羟基乙酰化后, C环双键经H2O2氧化以较高的收率获得了关键中间体8 (Scheme 2)[9, 10]. m-CPBA或双氧水-三氟乙酸体系均无法有效地将化合物8上的羰基转化为相应的C环内酯产物, 反应不完全且产物杂乱.最后用过氧化脲-三氟乙酸酐成功制备得到目标产物.

图式2 齐墩果酸C环内酯化衍生物的合成 Scheme2 Synthesis of OA ring C lactone derivatives

首先将过氧化脲与三氟乙酸酐混悬于0 ℃的CH2Cl2中, 逐滴加入化合物8的CH2Cl2溶液[11], 保持12 ℃条件下搅拌反应3 d至TLC检测原料反应完全并最终生成3个产物911, 其中化合物10的产率占优(44.7%).之后通过NaOH脱乙酰基及Pb/C催化氢化脱苄基最终获得2个OA的C环内酯化产物15, 16以及1个α, β-不饱和酮17[12, 13, 15].反应操作的关键是维持反应液的温度不高于12 ℃, 且反应时间较长.

1.3 齐墩果酸A/C环双内酯衍生物的合成

Scheme 3所示, OA双内酯衍生物的合成以化合物12作为起始原料, 将C(3)位的羟基通过氯铬酸吡啶试剂(PCC)氧化成羰基后, 再经m-CPBA氧化及Pd/C催化氢化脱苄基得到了相应的A环及C环双内酯目标化合物20.通过KOH将化合物19的A环内酯水解获得了目标化合物21.用相同的步骤处理化合物13, 以较高收率获得了目标产物2425.

图式3 齐墩果酸A/C环双内酯衍生物的合成 Scheme3 Synthesis of OA ring A and C lactone derivatives
2 结论

本文以OA为起始原料, 采用m-CPBA以及过氧化脲等试剂经Baeyer-Villiger反应, 制备得到了系列A环及C环内酯化衍生物.在此基础上设计合成了齐墩果酸A/C环双内酯衍生物.其中共有12个化合物9, 12, 13, 15, 1825未见文献报道, 这为扩展齐墩果酸类化合物的多样性, 以及更广泛的生物学活性和相应的构效关系研究提供了基础.

3 实验部分
3.1 仪器与试剂

NMR采用Bruker-400 MHz型核磁共振仪测定; 高分辨质谱(HRMS)采用APEX IV FT_MS (7.0 T) spectrometer (Bruker), ESI电离法进行测定.所有溶剂均为分析纯试剂, 一般都未经处理直接使用.其他试剂一般购自北京化工厂, 上海阿拉丁试剂公司, 安耐吉试剂公司, 国药集团, 阿法埃莎, Aldrich, Acros, Merck以及TCI等试剂公司.薄层色谱采用Silica gel 60 F254 plate(layer thickness 0.2 mm; E. Merck, Darmstadt, Germany), 柱层析采用粗孔硅胶(200~300目) (青岛海洋). CMC显色剂: Ce(NH4)2(NO3)6 0.5 g、(NH4)6Mo7O24•4H2O 24.0 g、浓H2SO4 28 mL、H2O 500 mL.使用时将薄层板蘸取该显色剂, 吹干后经高温炙烤, 化合物能显现出蓝色斑点.

化合物15, 7的合成参照文献[8], 化合物6的合成参照文献[14], 化合物8的合成参照文献[9, 10].

3.2 实验方法
3.2.1 化合物911的合成

过氧化尿素(Urea hydrogen peroxide; 355 mg, 97%, 3.66 mmol)溶于25 mL DCM中, -4 ℃搅拌下加入(CF3CO)2O (515 μL, 3.65 mmol), 剧烈搅拌20 min后, 缓慢滴加化合物8 (443 mg, 0.73 mmol)的DCM溶液10 mL; 2 h后温度升至12 ℃反应3 d至TLC检测原料基本反应完全.用10% Na2SO3溶液(40 mL)淬灭反应, 分离出有机相, 饱和NaHCO3溶液(40 mL×3)和饱和食盐水溶液(40 mL×3)依次洗涤, 有机相用无水Na2SO4干燥, 蒸除溶剂后所得粗产物用硅胶柱层析分离纯化, 得目标化合物911.

3β-乙酰氧基-28-羧酸苄酯-齐墩果烷-13-羧酸ε-内酯(9): 85 mg, 产率18.7%, 白色固体. m.p. 188~190 ℃; 1H NMR (400 MHz, CDCl3) δ:7.41~7.31 (m, 5H), 5.28 (d, J=12.2 Hz, 1H), 5.04 (d, J=12.1 Hz, 1H), 4.48 (dd, J=11.4, 4.2 Hz, 1H), 3.90 (d, J=13.1 Hz, 1H), 3.74 (dd, J=12.9, 8.2 Hz, 1H), 3.04 (d, J=2.9 Hz, 1H), 2.80~2.71 (m, 1H), 2.43~2.36 (m, 1H), 2.04 (s, 3H), 1.90~0.77 (m, other aliphatic ring protons), 1.03, 0.98, 0.93, 0.84, 0.80, 0.72, 0.70 (each s, 7×CH3); 13C NMR (100 MHz, CDCl3) δ:177.5, 175.9, 170.8, 136.1, 128.6 (2C), 128.5 (2C), 128.2, 80.0, 66.1, 64.8, 54.2, 52.2, 46.8, 44.7, 44.3, 41.0, 38.1, 37.7, 37.4, 36.9, 35.8, 34.1 (2C), 33.3, 33.0, 30.9, 29.5, 27.8, 23.5, 23.3, 23.1, 21.3, 21.2, 18.0, 17.0, 16.9, 16.5; ESI-HRMS calcd for C39H57O6 [M+H] 621.4155, found 621.4158.

3β-乙酰氧基-28-羧酸苄酯-齐墩果烷-12-羧酸ε-内酯(10)[12]: 217 mg, 产率44.7%, 白色固体. m.p. 219~221 ℃; 1H NMR (400 MHz, CDCl3) δ:7.42~7.31 (m, 5H), 5.20 (d, J=12.2 Hz, 1H), 5.11 (d, J=12.2 Hz, 1H), 4.78 (d, J=6.6 Hz, 1H), 4.47 (dd, J=11.5, 4.4 Hz, 1H), 2.78~2.67 (m, 1H), 2.38 (dd, J=13.2, 11.0 Hz, 2H), 2.23 (d, J=13.8 Hz, 1H), 2.03 (s, 3H), 1.91~0.74 (m, other aliphatic ring protons), 1.01, 0.94, 0.87, 0.84, 0.81, 0.78, 0.71 (each s, 7×CH3); 13C NMR (100 MHz, CDCl3) δ:176.9, 175.4, 170.7, 135.9, 128.6 (2C), 128.3 (3C), 80.0, 75.9, 66.2, 54.4, 48.7, 47.1, 44.1, 43.3, 38.5, 38.2, 37.7, 37.1, 35.2, 34.2, 34.0, 33.2, 32.4, 31.4, 30.4, 28.7, 27.8, 23.2 (2C), 21.6, 21.2, 17.7, 16.7, 16.7, 16.5, 15.7.

3β-乙酰氧基-9(11)-烯-齐墩果烷-12-羰基-28-羧酸苄酯(11)[9, 10]: 10 mg, 产率2.3%, 白色固体. m.p. 216~218 ℃; 1H NMR (400 MHz, CDCl3) δ:7.40~7.28 (m, 5H), 5.71 (s, 1H), 5.16 (d, J=12.7 Hz, 1H), 5.12 (d, J=12.6 Hz, 1H), 4.47 (dd, J=11.3, 3.0 Hz, 1H), 3.11~3.01 (m, 1H), 2.74 (d, J=3.2 Hz, 1H), 2.05 (s, 3H), 1.95~1.07 (m, other aliphatic ring protons), 1.16, 1.00, 0.95, 0.92, 0.89 (each s, 7×CH3); 13C NMR (100 MHz, CDCl3) δ:200.3, 177.8, 177.4, 170.8, 136.3, 128.4 (2C), 128.3 (2C), 128.0, 122.7, 79.6, 66.0, 50.2, 49.3, 47.1, 45.1, 41.5, 39.7, 38.1, 36.0, 35.8, 34.4, 33.2, 32.8, 32.6, 31.5, 30.6, 27.9, 27.8, 23.8 (2C), 23.4, 23.1, 22.6, 21.6, 21.2, 17.8, 16.6.

3.2.2 3β-羟基-28-羧酸苄酯-齐墩果烷-13-羧酸ε-内酯(12)的合成

化合物9 (105 mg, 0.17 mmol)溶于14 mL V(DCM):V(MeOH):V(H2O)=3:3:1的混合溶剂中, 加入KOH (200 mg, 3.57 mmol), 室温搅拌至TLC检测原料反应完全.减压蒸馏除去有机溶剂, 加水稀释, DCM (15 mL×3)萃取, 合并有机层, 依次用蒸馏水, 1 equiv.稀盐酸, 饱和食盐水洗涤, 无水Na2SO4干燥, 减压蒸馏除去有机溶剂后所得粗产物经硅胶柱层析分离纯化, 得目标化合物12, 89 mg, 产率90.4%, 白色固体. m.p. 114~115 ℃; 1H NMR (400 MHz, CDCl3) δ:7.41~7.29 (m, 5H), 5.28 (d, J=12.2 Hz, 1H), 5.04 (d, J=12.2 Hz, 1H), 3.90 (d, J=13.1 Hz, 1H), 3.74 (dd, J=13.1, 8.2 Hz, 1H), 3.21 (dd, J=11.5, 4.4 Hz, 1H), 3.05 (d, J=4.3 Hz, 1H), 2.79~2.70 (m, 1H), 2.46~2.37 (m, 1H), 1.96~0.63 (m, other aliphatic ring protons), 1.03, 0.98, 0.96, 0.93, 0.73, 0.71, 0.70 (each s, 7×CH3); 13C NMR (100 MHz, CDCl3) δ:177.6, 176.0, 136.1, 128.6 (2C), 128.5 (2C), 128.2, 78.3, 66.1, 64.9, 54.2, 52.4, 46.8, 44.6, 44.4, 41.0, 38.7, 38.4, 37.5, 37.0, 35.8, 34.2, 34.1, 33.3, 33.1, 30.9, 29.5, 27.9, 27.0, 23.5, 23.2, 21.4, 18.2, 17.1, 16.9, 15.4; ESI-HRMS calcd for C37H55O5 [M+H] 579.4049, found 579.4053.

3.2.3 3β-羟基-28-羧酸苄酯-齐墩果烷-12-羧酸ε-内酯(13)的合成

化合物10 (70 mg, 0.11 mmol)溶于7 mL V(DCM):V(MeOH):V(H2O)=3:3:1的混合溶剂中, 加入KOH (130 mg, 2.32 mmol), 室温搅拌至原料反应完全.后处理同化合物12的合成, 得目标化合物13, 61 mg, 产率96.0%, 白色固体. m.p. 117~119 ℃; 1H NMR (400 MHz, CDCl3) δ: 7.40~7.32 (m, 5H), 5.19 (d, J=12.2 Hz, 1H), 5.11 (d, J=12.2 Hz, 1H), 4.78 (d, J=6.8 Hz, 1H), 3.18 (dd, J=11.5, 4.6 Hz, 1H), 2.78~2.68 (m, 1H), 2.37 (dd, J=13.5, 10.7 Hz, 1H), 2.23 (d, J=13.7 Hz, 1H), 1.91~0.63 (m, other aliphatic ring protons), 1.00, 0.96, 0.94, 0.87, 0.75, 0.73, 0.70 (each s, 7×CH3); 13C NMR (100 MHz, CDCl3) δ:176.9, 175.6, 135.9, 128.6 (2C), 128.3 (3C), 78.3, 76.0, 66.3, 54.4, 48.9, 47.1, 44.1, 43.3, 38.7, 38.6, 38.5, 37.1, 35.2, 34.2, 34.1, 33.2, 32.4, 31.4, 30.4, 28.8, 27.9, 26.9, 23.2, 21.7, 17.8, 16.8, 16.7, 15.7, 15.4; ESI-HRMS calcd for C37H54O5Na [M+Na] 601.3863, found 601.3868.

3.2.4 3β-羟基-9(11)-烯-齐墩果烷-12-羰基-28-羧酸苄酯(14)的合成

化合物11 (105 mg, 0.17 mmol)溶于8 mL V(DCM):V(MeOH):V(H2O)=3:4:1的混合溶剂中, 加入KOH (190 mg, 3.39 mmol), 室温搅拌至原料反应完全.后处理同化合物12的合成, 得目标化合物14[9, 10], 84 mg, 产率92.1%, 白色固体. m.p. 197~198 ℃; 1H NMR (400 MHz, CDCl3) δ:7.38~7.27 (m, 5H), 5.71 (s, 1H), 5.16 (d, J=12.2 Hz, 1H), 5.12 (d, J=12.2 Hz, 1H), 3.19 (dd, J=11.5, 4.3 Hz, 1H), 3.10~3.02 (m, 1H), 2.74 (d, J=4.7 Hz, 1H), 1.95~1.82 (m, 3H), 1.78~0.83 (m, other aliphatic ring protons), 1.14, 1.02, 1.00, 0.96, 0.92, 0.89, 0.81 (each s, 7×CH3); 13C NMR (100 MHz, CDCl3) δ:200.4, 178.4, 177.4, 136.2, 128.5 (2C), 128.3 (2C), 128.1, 122.6, 77.9, 66.0, 50.1, 49.3, 47.1, 45.1, 41.6, 39.9, 39.2, 36.3, 35.8, 34.4, 33.2, 32.8, 32.7, 31.5, 30.6, 28.0, 27.9, 27.4, 23.8, 23.4, 23.1, 22.6, 21.7, 17.9, 15.5.

3.2.5 3β-羟基-28-羧基-齐墩果烷-13-羧酸ε-内酯(15)的合成

化合物12 (164 mg, 0.28 mmol)溶于10 mL V(THF):V(MeOH)=2:3的混合溶剂中, 加入Pb/C (15 mg), 催化氢化反应18 h至TLC检测反应完全.滤除Pb/C, 减压蒸馏除去有机溶剂后所得粗产物用硅胶柱层析纯化, 得目标化合物15, 100 mg, 产率73.5%, 白色固体. m.p.>250 ℃; 1H NMR (400 MHz, CD3OD) δ: 4.18 (dd, J=13.2, 8.3 Hz, 1H), 4.07 (d, J=13.2 Hz, 1H), 3.44~3.38 (m, 1H), 3.18 (dd, J=8.9, 7.5 Hz, 1H), 2.71~2.61 (m, 1H), 2.36~2.27 (m, 1H), 1.99~0.73 (m, other aliphatic ring protons), 1.14, 1.08, 0.97, 0.95, 0.93, 0.84, 0.75 (each s, 7×CH3); 13C NMR (100 MHz, CD3OD) δ:181.7, 179.0, 79.1, 66.6, 55.6, 53.8, 47.7, 46.3, 45.8, 42.3, 39.9, 39.7, 38.8, 38.3, 37.2, 35.6, 35.1, 34.4, 33.9, 31.9, 30.9, 28.5, 27.8, 24.3, 24.0, 21.7, 19.4, 18.0, 17.4, 16.1; ESI-HRMS calcd for C30H49O5 [M+H] 489.3575, found 489.3575.

3.2.6 3β-羟基-28-羧基-齐墩果烷-12-羧酸ε-内酯(16)的合成

化合物13 (29 mg, 0.05 mmol)溶于5 mL V(THF):V(MeOH)=2:3的溶剂中, 加入Pb/C (6 mg), 合成方法同化合物15的制备, 得目标化合物16[12], 23 mg, 产率96.0%, 白色固体. m.p.>250 ℃; 1H NMR (400 MHz, Pyr) δ: 5.38 (d, J=6.3 Hz, 1H), 3.47~3.33 (m, 1H), 3.18~3.06 (m, 1H), 2.68~2.53 (m, 1H), 2.41 (d, J=13.9 Hz, 1H), 2.19~2.07 (m, 1H), 2.01~0.77 (m, other aliphatic ring protons), 1.21, 1.19, 1.16, 0.97, 0.92, 0.88, 0.73 (each s, 7×CH3); 13C NMR (100 MHz, Pyr) δ:180.4, 175.6, 77.9, 76.7, 55.3, 49.9, 47.6, 45.1, 44.3, 39.8, 39.5, 39.4, 38.3, 36.5, 35.1, 34.8, 33.8, 33.5, 32.2, 31.1, 30.0, 29.0, 28.3, 23.8, 22.8, 18.8, 17.5 (2C), 16.6, 16.3.

3.2.7 3β-羟基-9(11)-烯-齐墩果烷-12-羰基-28-羧酸(17)的合成

化合物14 (68 mg, 0.12 mmol)溶于5 mL V(THF):V(MeOH)=2:3的混合溶剂中, 加入Pb/C (9 mg), 合成方法同化合物15的制备, 得目标化合物17[12, 13, 15], 38 mg, 产率66.7%, 白色固体. m.p.>250 ℃; 1H NMR (400 MHz, Pyr) δ:3.61~3.52 (m, 1H), 3.45 (d, J=4.6 Hz, 1H), 3.38 (dd, J=9.4, 6.1 Hz, 1H), 2.20~0.97 (m, other aliphatic ring protons), 1.24, 1.22, 1.15, 1.12, 1.08, 1.01, 0.94 (each s, 7×CH3); 13C NMR (100 MHz, Pyr) δ:200.6, 180.8, 178.9, 123.3, 77.5, 51.1, 50.2, 47.6, 45.9, 42.4, 40.6, 40.2, 37.4, 36.8, 35.2, 34.0, 33.9, 33.5, 32.7, 31.3, 29.0, 29.0, 28.7, 24.3, 24.2, 23.8, 23.7, 22.2, 18.7, 16.7.

3.2.8 3-羰基-28-羧酸苄酯-齐墩果烷-13-羧酸ε-内酯(18)的合成

化合物12 (98 mg, 0.17 mmol)溶于5 mL DCM中, 加入PCC氧化剂(73 mg, 0.34 mmol), 室温搅拌5 h至原料反应完全.减压蒸馏除去有机溶剂后所得粗产物经硅胶柱层析纯化, 得目标化合物18, 81 mg, 产率82.7%, 白色固体. m.p. 164~165 ℃; 1H NMR (400 MHz, CDCl3) δ: 7.43~7.29 (m, 5H), 5.29 (d, J=12.2 Hz, 1H), 5.04 (d, J=12.2 Hz, 1H), 3.88 (d, J=13.2 Hz, 1H), 3.77 (dd, J=13.1, 8.2 Hz, 1H), 3.07 (d, J=4.0 Hz, 1H), 2.80~2.71 (m, 1H), 2.57~2.39 (m, 3H), 2.10~2.00 (m, 1H), 1.96~1.20 (m, other aliphatic ring protons), 1.07, 1.05, 0.99, 0.98, 0.94, 0.78, 0.72 (each s, 7×CH3); 13C NMR (100 MHz, CDCl3) δ:216.7, 177.5, 175.7, 136.1, 128.6, 128.5, 128.3, 66.2, 64.9, 53.5, 51.8, 46.8, 46.7, 44.6, 44.2, 41.0, 39.1, 37.0, 37.0, 35.8, 34.1, 33.6, 33.3, 33.2, 33.0, 30.9, 29.6, 27.0, 23.5, 23.3, 21.3, 20.8, 19.5, 17.0, 16.8; ESI-HRMS calcd for C37H53O5 [M+H] 577.3888, found 577.3892.

3.2.9 28-羧酸苄酯-齐墩果烷-3, 13-羧酸ε-双内酯(19)的合成

化合物18 (63 mg, 0.11 mmol)溶于10 mL DCM中, 加入m-CPBA (45 mg, 85%, 0.22 mmol), NaHCO3 (28 mg, 0.33 mmol), 40 ℃反应2 d, TLC检测原料基本反应完全.用10% Na2SO3溶液(10 mL)淬灭反应, 分离有机相, 用饱和NaHCO3溶液(15 mL)和饱和食盐水溶液(15 mL×3)依次洗涤, 无水Na2SO4干燥, 减压蒸馏除去有机溶剂后所得粗产物经硅胶柱层析纯化, 得目标化合物19, 62 mg, 产率95.8%, 白色固体. m.p. 102~104 ℃; 1H NMR (400 MHz, CDCl3) δ: 7.35~7.39 (m, 5H), 5.30 (d, J=12.0 Hz, 1H), 5.03 (d, J=12.1 Hz, 1H), 3.83 (d, J=13.3 Hz, 1H), 3.75 (dd, J=13.1, 7.4 Hz, 1H), 3.06 (d, J=2.8 Hz, 1H), 2.81~2.59 (m, 2H), 2.48~2.50 (m, 2H), 1.95~1.20 (m, other aliphatic ring protons), 1.46, 1.36, 1.03, 0.98, 0.97, 0.94, 0.72 (each s, 7×CH3); 13C NMR (100 MHz, CDCl3) δ:177.5, 175.4, 174.4, 136.1, 128.7 (2C), 128.6 (2C), 128.3, 85.2, 66.2, 65.5, 53.2, 51.4, 46.7, 44.1 (2C), 40.9, 40.0, 39.5, 37.0, 35.7, 34.1, 33.3, 33.0, 32.4, 32.2, 30.9, 30.6, 29.3, 26.9, 23.5, 23.4 (2C), 21.3, 20.3, 16.5; ESI-HRMS calcd for C37H53O6 [M+H] 593.3837, found 593.3846.

3.2.10 28-羧基-齐墩果烷-3, 13-羧酸ε-双内酯(20)的合成

化合物19 (35 mg, 0.06 mmol)溶于5 mL V(THF):V(MeOH)=2:3的混合溶剂中, 加入Pb/C (7 mg), 合成方法同化合物15的制备, 得化合物20, 26 mg, 产率87.3%, 白色固体. m.p. 193~195 ℃; 1H NMR (400 MHz, CDCl3) δ: 4.15 (dd, J=13.3, 7.9 Hz, 1H), 4.00 (d, J=13.4 Hz, 1H), 3.35 (d, J=4.4 Hz, 1H), 2.75~2.63 (m, 2H), 2.52 (m, 2H), 2.00~1.22 (m, other aliphatic ring protons), 1.48, 1.36, 1.10, 1.06, 0.97, 0.95 (each s, 7×CH3); 13C NMR (100 MHz, CDCl3) δ:183.8, 175.3, 174.5, 85.2, 77.3, 65.7, 53.1, 51.4, 46.7, 44.2, 41.0, 40.0, 39.6, 36.8, 35.4, 34.0, 33.2, 33.1, 32.4, 32.2, 30.9, 30.6, 29.6, 26.9, 23.6, 23.4, 23.2, 21.1, 20.3, 16.7; ESI-HRMS calcd for C30H47O6 [M+H] 503.3367, found 503.3362.

3.2.11 4-羟基-3, 28-双羧基-齐墩果烷-13-羧酸ε-内酯(21)的合成

化合物19 (31 mg, 0.05 mmol)溶于8 mL V(DCM):V(MeOH):V(H2O)=3:4:1的混合溶剂中, 加入KOH (56 mg, 1.0 mmol), 室温搅拌过夜, TLC检测原料反应完全.减压蒸馏除去有机溶剂, 加入10 mL蒸馏水, EtOAc (20 mL×3)萃取, 合并有机相, 用蒸馏水(20 mL), 1 equiv.稀盐酸(10 mL×3), 饱和食盐水洗涤(30 mL)依次洗涤, 有机相用无水Na2SO4干燥, 减压蒸馏除去有机溶剂后所得粗产物经硅胶柱层析纯化, 得中间产物26mg, 白色固体.将上述固体产物溶于5 mL V(THF):V(MeOH)=2:3的混合溶剂中, 加入钯碳(5 mg), 合成方法同化合物15的制备, 得目标化合物21, 17 mg, 产率73.4%, 白色固体. m.p.>250 ℃; 1H NMR (400 MHz, Pyr) δ: 4.23 (d, J=13.3 Hz, 1H), 4.08 (dd, J=13.0, 7.5 Hz, 1H), 3.94 (d, J=4.3 Hz, 1H), 3.29~3.12 (m, 2H), 3.12~3.00 (m, 1H), 2.96~2.85 (m, 1H), 2.82~2.69 (m, 1H), 2.36~2.23 (m, 1H), 2.21~1.26 (m, other aliphatic ring protons), 1.48, 1.37, 1.23, 1.12, 1.00 (each s, 7×CH3); 13C NMR (100 MHz, Pyr) δ:181.1, 177.2, 176.8, 74.8, 66.2, 51.3, 47.4, 45.8, 45.6, 45.1, 42.4, 42.4, 37.9, 37.0, 35.7, 34.9, 34.3, 34.1, 34.0 (2C), 31.7, 31.0, 30.8, 28.6, 24.3, 23.9, 23.1, 21.6, 21.3, 18.5; ESI-HRMS calcd for C30H49O7 [M+H] 521.3473, found 521.3459.

3.2.12 3-羰基-28-羧酸苄酯-齐墩果烷-12-羧酸ε-内酯(22)的合成

化合物13 (279 mg, 0.48 mmol)溶于5 mL DCM中, 加入PCC (210 mg, 0.97 mmol), 室温搅拌4 h, 原料反应完全.硅胶柱层析纯化, 得目标化合物22, 269 mg, 产率96.8%, 白色固体. m.p. 221~223 ℃; 1H NMR (400 MHz, CDCl3) δ: 7.41~7.31 (m, 5H), 5.20 (d, J=12.2 Hz, 1H), 5.12 (d, J=12.2 Hz, 1H), 4.81 (d, J=6.8 Hz, 1H), 2.79~2.70 (m, 1H), 2.52~2.39 (m, 3H), 2.24 (d, J=13.8 Hz, 1H), 2.08~1.99 (m, 1H), 1.93~1.21 (m, other aliphatic ring protons), 1.20, 1.07, 1.03, 1.00, 0.94, 0.88, 0.85, 0.73 (each s, 7×CH3); 13C NMR (100 MHz, CDCl3) δ: 216.8, 176.9, 175.2, 135.9, 128.6 (2C), 128.3 (3C), 76.0, 66.3, 53.7, 48.1, 47.1, 46.9, 43.9, 43.4, 39.2, 38.2, 37.1, 35.2, 34.0, 33.5, 33.3, 33.2, 32.3, 31.9, 30.4, 28.8, 26.9, 23.1, 21.6, 20.8, 19.2, 16.8, 16.4, 16.0; ESI-HRMS calcd for C37H52O5Na [M+Na] 599.3707, found 599.3714.

3.2.13 28-羧酸苄酯-齐墩果烷-3, 12-二羧酸ε-内酯(23)的合成

化合物22 (245 mg, 0.42 mmol)溶于10 mL DCM中, 加入m-CPBA (172 mg, 85%, 0.85 mmol), NaHCO3 (107 mg, 1.27 mmol), 合成方法同化合物19的制备, 得目标化合物23, 227 mg, 产率90.2%, 白色固体. m.p. 133~135 ℃; 1H NMR (400 MHz, CDCl3) δ: 7.42~7.31 (m, 5H), 5.21 (d, J=12.2 Hz, 1H), 5.11 (d, J=12.2 Hz, 1H), 4.82 (d, J=6.8 Hz, 1H), 2.80~2.71 (m, 1H), 2.68~2.57 (m, 1H), 2.54~2.41 (m, 2H), 2.23 (d, J=13.9 Hz, 1H), 1.91~1.46 (m, other aliphatic ring protons), 1.37, 1.21, 1.04, 1.02, 0.94, 0.88 (each s, 7×CH3); 13C NMR (100 MHz, CDCl3) δ:176.9, 175.2, 174.6, 135.9, 128.6 (2C), 128.3 (3C), 85.1, 76.0, 66.3, 51.9, 49.2, 47.1, 43.9, 43.6, 40.8, 39.8, 37.1, 35.3, 34.1, 33.2, 32.7, 32.5, 32.3, 32.1, 30.8, 30.4, 28.6, 26.6, 23.1, 22.9, 21.6, 19.2, 16.7, 16.2; ESI-HRMS calcd for C37H53O6 [M+H] 593.3837, found 593.3844.

3.2.14 28-羧基-齐墩果烷-3, 12-二羧酸ε-内酯(24)的合成

化合物23 (37 mg, 0.06 mmol)溶于5 mL V(THF):V(MeOH)=2:3的混合溶剂中, 加入钯碳(8 mg), 合成方法同化合物15的制备, 得目标化合物24, 27 mg, 产率86.5%, 白色固体. m.p. 209~210 ℃; 1H NMR (400 MHz, CDCl3) δ: 4.95 (d, J=6.9 Hz, 1H), 2.77~2.68 (m, 1H), 2.68~2.59 (m, 2H), 2.57~2.47 (m, 1H), 1.95~1.25 (m, other aliphatic ring protons), 1.48, 1.36, 1.10, 1.07, 1.06, 0.96, 0.89 (each s, 7×CH3); 13C NMR (100 MHz, CDCl3) δ:183.0, 175.3, 174.8, 85.2, 76.0, 51.9, 49.2, 47.1, 44.0, 43.6, 40.8, 39.8, 36.7, 35.2, 34.0, 33.1, 32.7, 32.6, 32.5, 32.1, 30.8, 30.4, 28.8, 26.6, 23.0, 22.9, 21.5, 19.2, 16.8, 16.4; ESI-HRMS calcd for C30H47O6 [M+H] 503.3367, found 503.3364.

3.2.15 4-羟基3, 28-二羧基-齐墩果烷-12-羧酸ε-内酯(25)的合成

化合物23 (62 mg, 0.1 mmol)溶于8 mL V(DCM):V(MeOH):V(H2O)=3:4:1中, 加入KOH (112 mg, 2.0 mmol), 合成方法同化合物21的制备, 得目标化合物25, 36 mg, 产率67.4%, 白色固体. m.p. 247~248 ℃; 1H NMR (400 MHz, CD3OD) δ: 5.08 (d, J=6.6 Hz, 1H), 2.76~2.65 (m, 1H), 2.62~2.39 (m, 3H), 2.34 (d, J=13.9 Hz, 1H), 2.28~2.16 (m, 1H), 1.97~1.30 (m, other aliphatic ring protons), 1.27, 1.23, 1.11, 1.07, 1.01, 0.96, 0.89 (each s, 7×CH3); 13C NMR (100 MHz, CD3OD) δ:181.1, 178.5, 178.4, 78.1, 75.8, 52.4, 48.2, 45.5, 45.0, 43.7, 42.4, 38.6, 36.8, 35.1, 35.0, 34.7, 33.8, 33.1, 31.9, 31.4, 30.0, 29.8, 28.1, 24.2, 23.7, 22.9, 22.8, 20.4, 18.1, 17.0. ESI-HRMS calcd for C30H49O7 [M+H] 521.3473, found 521.3476.

辅助材料说明(Supporting Information)  化合物9251H NMR和13C NMR图谱.这些材料可以免费从本刊网站(http://sioc-journal.cn/)上下载.

参考文献
[1] Yu F.; Wang Q.; Zhang Z.; Peng Y.; Qiu Y.; Shi Y.; Zheng Y.; Xiao S.; Wang H.; Huang X.; Zhu L.; Chen K.; Zhao C.; Zhang C.; Yu M.; Sun D.; Zhang L.; Zhou D. J. Med. Chem. , 2013, 56 : 4300. DOI:10.1021/jm301910a
[2] Yu F.; Peng Y.; Wang Q.; Shi Y.; Si L.; Wang H.; Zheng Y.; Lee E.; Xiao S.; Yu M.; Li Y.; Zhang C.; Tang H.; Wang C.; Zhang L.; Zhou D. Eur. J. Med. Chem. , 2014, 77 : 258. DOI:10.1016/j.ejmech.2014.03.017
[3] Wei Y.; Ma C. M.; Hattori M. Eur. J. Med. Chem. , 2009, 44 : 4112. DOI:10.1016/j.ejmech.2009.05.002
[4] Hichri F.; Jannet H. B.; Cheriaa J.; Jegham S.; Mighri Z. C. R. Chim. , 2003, 6 : 473. DOI:10.1016/S1631-0748(03)00066-3
[5] Chen L.; Zhang Y.; Kong X.; Lan E.; Huang Z.; Peng S.; Kaufman D. L.; Tian J. J. Med. Chem. , 2008, 51 : 4834. DOI:10.1021/jm800167u
[6] Dzubak P.; Hajduch M.; Vydra D.; Hustova A.; Kvasnica M.; Biedermann D.; Markova L.; Urban M.; Sarek J. Nat. Prod. Rep. , 2006, 23 : 394. DOI:10.1039/b515312n
[7] Tang C.; Chen Y.; Bai S.; Yang G. Chin. J. Org. Chem. , 2013, 33 : 46. (in Chinese)
( 唐初, 陈玉, 柏舜, 杨光忠, 有机化学 , 2013, 33 : 46. DOI:10.6023/cjoc201207019 )
[8] Qian S.; Li H.; Chen Y.; Zhang W.; Yang S.; Wu Y. J. Nat. Prod. , 2010, 73 : 1743. DOI:10.1021/np100064m
[9] Ding, Y.; Zhang, Z. Z.; Huang, Z. J.; Mou, Y.; Hui, J. I.; Lai, Y. S. J. China Pharm. Univ. 2011, 42, 385 (in Chinese).
( 丁晔, 张珍珍, 黄张建, 牟伊, 季晖, 赖宜生, 张奕华, 中国药科大学学报, 2011, 42, 385. )
[10] Ai Y.; Hu Y.; Kang F.; Lai Y.; Jia Y.; Huang Z.; Peng S.; Ji H.; Tian J.; Zhang Y. J. Med. Chem. , 2015, 58 : 4506. DOI:10.1021/jm5020023
[11] Rivera D. G.; Pando O.; Bosch R.; Wessjohann L. A. J. Org. Chem. , 2008, 73 : 6229. DOI:10.1021/jo800708m
[12] Sasaki, K.; Minowa, N.; Yamamoto, A.; Kuzuhara, H.; Nishiyama, S.; Machinami, T. JP 2001240573, 2001 [Chem. Abstr. 2001, 135, 211166].
[13] Zhang, Y. D., Y.; Lai, Y.; Zhang, S.; Huang, Z.; Peng, S. CN 102079772, 2011 [Chem. Abstr. 2011, 125, 41195].
[14] Tang C.; Zhu L.; Chen Y.; Qin R.; Mei Z.; Xu J.; Yang G. RSC Adv. , 2014, 4 : 10862. DOI:10.1039/c3ra46492j
[15] Ding Y.; Huang Z.; Yin J.; Lai Y.; Zhang S.; Zhang Z.; Fang L.; Peng S.; Zhang Y. Chem. Commun. , 2011, 47 : 9495. DOI:10.1039/c1cc11633a