有机化学  2016, Vol. 36 Issue (3): 659-663   PDF    
一种构建吡喃并[2, 3-d]嘧啶酮衍生物的简易方法
林志兰 , 张俊民 , 高原     
深圳大学化学与环境工程学院 深圳 518060
国家自然科学基金(No. 21402124)资助项目
摘要:在浓硫酸催化下, 2-氨基-3-氰基-4H-吡喃类化合物与乙酸酐反应, 较高产率地合成了一系列吡喃并[2, 3-d]嘧啶酮衍生物.该方法反应时间短(10~15 min)、操作简单、后处理方便.所合成产物的结构经红外光谱、核磁共振谱表征确证, 其中化合物4a6a的结构还通过X射线单晶衍射分析确认.
关键词吡喃并[2, 3-d]嘧啶酮衍生物    2-氨基-3-氰基-4-芳基-4H-吡喃衍生物    酸催化    
A Convenient Method to Prepare Pyrano[2, 3-d]pyrimidine Derivatives
Lin Zhilan , Zhang Junmin , Gao Yuan     
College of Chemistry and Environmental Engineering, Shenzhen University, Shenzhen 518060
Abstract: A series of pyrano[2, 3-d]pyrimidine derivatives were synthesized by the reaction of 2-amino-3-cyano-4H-pyrans with acetic anhydride. This method has the advantages of short reaction times (10~15 min), simple operation and convenient post-treatment. All products were fully characterized by IR and 1H NMR spectra. The molecular structures of 4a and 6a were confirmed using single-crystal X-ray analyses.
Key Words: pyrano[2, 3-d]pyrimidine derivatives    2-amino-3-cyano-4H-pyran derivatives    acid catalysis    

嘧啶酮衍生物是一类具有良好生物和药理[1]活性的重要杂环化合物, 如抗菌[2]、消炎镇痛[3]、抗焦虑[4]等, 其对B16黑色素瘤、P388白血病[5]及通过抑制内源性逆转录酶来拮抗细胞增殖并诱导细胞分化[6]方面有很好的疗效.随着人们对该类化合物的深入研究, 发现一些杂环稠合的嘧啶酮衍生物同样具备出色的生物活性, 如吡喃并[2, 3-d]嘧啶酮衍生物可用作降血压药物[7]、抗血小板药物[8]、抗癌药物[9]、抗疟疾药物[10]、抗微生物药物[11]、神经肽感受器良好的拮抗剂[12]等.因此, 探索合成新颖吡喃并[2, 3-d]嘧啶酮衍生物的方法引起有机与药物化学工作者的关注.该类化合物经典合成法是由醛、具有活泼α-氢原子的化合物(丙二腈或麦氏酸)与含有嘧啶酮骨架化合物(巴比妥酸或2-氨基-4, 6-二羟基嘧啶)通过缩合、加成制得[13], 然而从吡喃环化合物出发构造吡喃并[2, 3-d]嘧啶酮的反应较少报道.最近, 我们研究含有2-氨基-3-氰基-4H-吡喃骨架的化合物与乙酸酐在不同条件下的反应, 报道了在碱性环境吡啶催化下发生C—C键断裂生成[1, 3]噁嗪类化合物[14], 本文将报道酸催化的吡喃并[2, 3-d]嘧啶酮衍生物的高效、高选择性合成.

1 结果与讨论

最初研究时, 没有添加催化剂, 将2-氨基-3-氰基-4-芳基-7, 7-二甲基-5-氧代-4H-5, 6, 7, 8-四氢苯并[b]吡喃(1)与乙酸酐的混合物加热回流, 反应8 h得到少量的氨基乙酰化产物2 (Scheme 1), 继续加热甚至得到混合物(TLC监测).为了加快反应速率和提高选择性, 我们尝试在酸性环境中进行反应, 将2-氨基-3-氰基-4-苯基-7-甲基-4H, 5H-吡喃并[3, 2-c]吡喃-5-酮(3a)与乙酸酐在少量浓硫酸(0.1 equiv.)催化下回流反应10 min, TLC监测表明原料已消失且只有一个产物, 经分离得到2, 8-二甲基-5-苯基-3H-吡喃并[4, 3-b]吡喃并[2, 3-d]嘧啶-4, 6(5H, 7H)-二酮(4a) (Scheme 1).随后我们考察了其它强酸的催化能力, 相同的反应以五氧化二磷、浓盐酸(0.1 equiv.)为催化剂进行, 反应结果表明浓硫酸催化效果最好, 产率高, 反应时间短(表 1).另外, 我们还考察了温度对反应的影响, 发现在85 ℃时反应的产率最高.在上述优化的条件下, 我们利用不同取代的2-氨基-3-氰基-4-芳基-4H-吡喃衍生物和乙酸酐反应合成了两个系列稠环吡喃并[2, 3-d]嘧啶酮衍生物, 实验结果列于表 2.为了考察该方法的放大反应效果, 我们将0.5 mol反应物3h (147 g), 乙酸酐0.5 L和0.05 mol浓硫酸回流反应10 min, 4h的产率72%, 结果表明该方法适用于克量级制备.

图式1 2-氨基-3-氰基-4H-吡喃衍生物与乙酸酐的反应 Scheme1 The reaction of 2-amino-3-cyano-4H-pyran derivatives with acetic anhydride

表 1 合成化合物4a的催化剂优化 Table 1 Synthesis of 4a in the presence of different catalysts

表 2 化合物4a4j6a6e的合成 Table 2 Synthesis of Compounds 4a4j and 6a6e

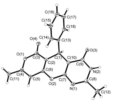
所有产物的结构经红外光谱、核磁共振氢谱和元素分析证实.同时我们还培养了产物4a6a的单晶(CCDC号分别为1427562、1427563), 利用单晶X射线衍射分析进一步确证了产物的结构(图 12).从产物6d表征结果可知, 当反应物吡喃环上的稠环含有OH基团, 则该基团将被乙酰化.产物46的红外光谱中, 在3429~3365 cm-1处为亚胺(N—H)宽强吸收峰, 这是氢键引起的强烈伸缩振动造成, 2955~2820 cm-1处的峰为甲基氢(CH3)的对称伸缩振动吸收峰, 2796~2750 cm-1处的峰为亚甲基氢(CH2)的对称伸缩振动吸收峰, 1743~1643 cm-1处的峰为羰基(C=O)的伸缩振动吸收峰, 而2212 cm-1附近的氰基(C≡N)吸收峰消失.核磁共振氢谱分析与其结构相吻合:其中δ 12.40~13.24区间出现的单峰(1个H)为亚胺的吸收峰, δ 6.67~8.17区间出现芳氢的吸收峰, δ 4.61~5.75区间出现的单峰(1个H)为吡喃环上次甲基氢的吸收峰, 其余氢的化学位移值和氢的数目与其结构相吻合.另外, 元素分析值与计算值相近(±0.04%).

图 1 化合物4a的分子结构透视图 Fig 1 X-ray crystal structure of compound 4a

图 2 化合物6a的分子结构透视图 Fig 2 X-ray crystal structure of compound 6a
2 结论

以浓硫酸作催化剂, 含有2-氨基-3-氰基-4H-吡喃骨架的化合物与醋酸酐反应, 合成了一系列的稠环并吡喃并[2, 3-d]嘧啶酮衍生物.该反应高效实用、反应时间短、操作简单、条件温和, 反应表现了优秀的选择性, 为苯并吡喃并[2, 3-d]嘧啶二酮和吡喃并[4, 3-b]吡喃并[2, 3-d]嘧啶二酮化合物的合成提供了一条实用并具有原子经济性的途径.

3 实验部分
3.1 仪器与试剂

熔点测定使用X-4数字显示显微熔点测定仪, 温度计未校正; 红外光谱采用Perkin Elmer公司Spectrum One Version B傅立叶变换红外光谱仪测定(KBr压片); 核磁共振氢谱采用美国Varian公司INOVA-400 MHz型核磁共振仪测定, DMSO-d6为溶剂, TMS为内标; 元素分析在德国Elementar公司varioELcube型元素分析仪上测定; 质谱采用岛津公司GCMS-QP2010(EI)测定.有机反应用薄层硅胶板(TLC)跟踪, 紫外灯检测(UV-8三用紫外仪), TLC板用硅胶与羧甲基纤维素钠自制, 使用前活化.

单晶的晶体结构在Rigaku raxis Rapid IP衍射仪上进行.单晶置于衍射仪上, 用石墨单色器单色化的Mo Kα辐射, 以ω/2θ扫描方式收集衍射点.晶体结构用直接法解出, 经多轮Fourier法合成获得全部非氢原子坐标.用差值Fourier法合成产生了氢原子, 全部非氢原子坐标及各向异性热参数经全矩阵最小二乘法修正收敛.

3.2 实验方法

化合物35的合成参见文献[15], 将化合物35 (1 mmol)、乙酸酐(1 mL)和浓硫酸(0.1 mmol)加入25 mL圆底烧瓶中, 分混匀后, 在85 ℃下磁力搅拌回流10~15 min(TLC跟踪), 取出冷却后, 倒入200 mL水中, 静置过夜, 抽滤, 水洗, 粗产品用质量分数为95%乙醇和二甲基甲酰胺混合液重结晶得目标化合物4a4j6a6e.

2, 8-二甲基-5-苯基-3H-吡喃并[4, 3-b]吡喃并[2, 3-d]嘧啶-4, 6(5H, 7H)-二酮(4a):黄色晶体, 产率71%. m.p. 295~297 ℃; 1H NMR (400 MHz, DMSO-d6) δ: 12.65 (s, 1H, NH), 7.20~7.27 (m, 4H, ArH), 7.14~7.19 (m, 1H, ArH), 6.44 (s, 1H, CH), 4.69 (s, 1H, CH), 2.28 (s, 3H, CH3), 2.23 (s, 3H, CH3); IR (KBr) ν: 3649, 2993, 2846, 2750, 1743, 1672 cm-1; MS m/z: 322. Anal. calcd for C18H14N2O4: C 67.07, H 4.38, N 8.69; found C 67.10, H 4.35, N 8.67.

2, 8-二甲基-5-(4-溴苯基)-3H-吡喃并[4, 3-b]吡喃并[2, 3-d]嘧啶-4, 6(5H, 7H)-二酮(4b):白色晶体, 产率69%. m.p.>300 ℃; 1H NMR (400 MHz, DMSO-d6) δ: 12.69 (s, 1H, NH), 7.44 (d, J=8.6 Hz, 2H, ArH), 7.19 (d, J=8.6 Hz, 2H, ArH), 6.45 (s, 1H, CH), 4.67 (s, 1H, CH), 2.28 (s, 3H, CH3), 2.23 (s, 3H, CH3); IR (KBr) ν: 3588, 3004, 2865, 2786, 1733, 1670 cm-1; MS m/z: 400. Anal. calcd for C18H13BrN2O4: C 53.89, H 3.27, N 6.98; found C 53.84, H 3.31, N 6.98.

2, 8-二甲基-5-(4-氯苯基)-3H-吡喃并[4, 3-b]吡喃并[2, 3-d]嘧啶-4, 6(5H, 7H)-二酮(4c):白色晶体, 产率76%. m.p.>300 ℃; 1H NMR (400 MHz, DMSO-d6) δ: 12.68 (s, 1H, NH), 7.31 (d, J=8.6 Hz, 2H, ArH), 7.25 (d, J=8.6 Hz, 2H, ArH), 6.45 (s, 1H, CH), 4.69 (s, 1H, CH), 2.28 (s, 3H, CH3), 2.23 (s, 3H, CH3); IR (KBr) ν: 3587, 3007, 2866, 2780, 1734, 1670 cm-1; MS m/z: 356. Anal. calcd for C18H13ClN2O4: C 60.60, H 3.67, N 7.85; found C 60.62, H 3.68, N 7.86.

2, 8-二甲基-5-(2, 6-二氯苯基)-3H-吡喃并[4, 3-b]吡喃并[2, 3-d]嘧啶-4, 6(5H, 7H)-二酮(4d):白色晶体, 产率65%. m.p.>300 ℃; 1H NMR (400 MHz, DMSO-d6) δ: 12.56 (s, 1H, NH), 7.43 (d, J=2.2 Hz, 1H, ArH), 7.20~7.27 (m, 2H, ArH), 6.38 (s, 1H, CH), 5.63 (s, 1H, CH), 2.28 (s, 3H, CH3), 2.22 (s, 3H, CH3); IR (KBr) ν: 3429, 3005, 2861, 2790, 1724, 1669 cm-1; MS m/z: 390. Anal. calcd for C18H13Cl2N2O4: C 55.26, H 3.09, N 7.16; found C 55.30, H 3.05, N 7.20.

2, 8-二甲基-5-(3-硝基苯)-3H-吡喃并[4, 3-b]吡喃并[2, 3-d]嘧啶-4, 6(5H, 7H)-二酮(4e):黄色晶体, 产率76%. m.p.>300 ℃; 1H NMR (400 MHz, DMSO-d6) δ: 12.72 (s, 1H, NH), 8.05~8.07 (m, 2H, ArH), 7.72 (d, J=7.8 Hz, 1H, ArH), 7.55~7.59 (m, 1H, ArH), 6.49 (s, 1H, CH), 4.84 (s, 1H, CH), 2.29 (s, 3H, CH3), 2.24 (s, 3H, CH3); IR (KBr) ν: 3510, 3088, 2864, 2796, 1731, 1670 cm-1; MS m/z: 367. Anal. calcd for C18H13N3O6: C 58.86, H 3.57, N 11.44; found C 58.88, H 3.55, N 11.44.

2, 8-二甲基-5-(4-硝基苯)-3H-吡喃并[4, 3-b]吡喃并[2, 3-d]嘧啶-4, 6(5H, 7H)-二酮(4f):浅黄色晶体, 产率69%. m.p.>300 ℃; 1H NMR (400 MHz, DMSO-d6) δ: 12.73 (s, 1H, NH), 8.12 (d, J=8.8 Hz, 2H, ArH), 7.54 (d, J=8.8 Hz, 2H, ArH), 6.48 (s, 1H, CH), 4.83 (s, 1H, CH), 2.29 (s, 3H, CH3), 2.24 (s, 3H, CH3); IR (KBr) ν: 3572, 3079, 2820, 2791, 1718, 1674 cm-1; MS m/z: 367. Anal. calcd for C18H13N3O6: C 58.86, H 3.57, N 11.44; found C 58.84, H 3.57, N 11.42.

2, 8-二甲基-5-(4-乙酸基-3-硝基苯)-3H-吡喃并[4, 3-b]吡喃并[2, 3-d]嘧啶-4, 6(5H, 7H)-二酮(4g):黄色晶体, 产率77%. m.p. 257~259 ℃; 1H NMR (400 MHz, DMSO-d6) δ: 12.73 (s, 1H, NH), 7.96 (d, J=2.3 Hz, 1H, ArH), 7.70 (d, J=8.8 Hz, 1H, ArH), 7.35 (d, J=8.2 Hz, 1H, ArH), 6.47 (s, 1H, CH), 4.82 (s, 1H, CH), 2.31 (s, 3H, CH3), 2.29 (s, 3H, CH3), 2.24 (s, 3H, CH3); IR (KBr) ν: 3592, 3002, 2853, 2790, 1723, 1668 cm-1; MS m/z: 425. Anal. calcd for C20H15N3O8: C 56.47, H 3.55, N 9.88; found C 56.43, H 3.50, N 9.91.

2, 8-二甲基-5-(3-甲基苯)-3H-吡喃并[4, 3-b]吡喃并[2, 3-d]嘧啶-4, 6(5H, 7H)-二酮(4h):白色固体, 产率78%. m.p.>300 ℃; 1H NMR (400 MHz, DMSO-d6) δ: 12.63 (s, 1H, NH), 7.13 (t, J=8.4 Hz, 1H, ArH), 6.97~7.01 (m, 3H, ArH), 6.44 (s, 1H, CH), 4.65 (s, 1H, CH), 2.28 (s, 3H, CH3), 2.23 (s, 3H, CH3); IR (KBr) ν: 3512, 3024, 2860, 2789, 1739, 1668 cm-1; MS m/z: 336. Anal. calcd for C19H16N2O4: C 67.85, H 4.79, N 8.33; found C 67.87, H 4.82, N 8.34.

2, 8-二甲基-5-(4-甲基苯)-3H-吡喃并[4, 3-b]吡喃并[2, 3-d]嘧啶-4, 6(5H, 7H)-二酮(4i):白色固体, 产率75%. m.p.>300 ℃; 1H NMR (400 MHz, DMSO-d6) δ: 12.64 (s, 1H, NH), 7.09 (d, J=8.2 Hz, 2H, ArH), 7.04 (d, J=8.2 Hz, 2H, ArH), 6.43 (s, 1H, CH), 4.65 (s, 1H, CH), 2.27 (s, 3H, CH3), 2.22 (s, 3H, CH3); IR (KBr) ν: 3587, 3032, 2950, 2786, 1712, 1665 cm-1; MS m/z: 336. Anal. calcd for C19H16N2O4: C 67.85, H 4.79, N 8.33; found C 67.88, H 4.75, N 8.35.

2, 8-二甲基-5-(3, 4-二甲基苯)-3H-吡喃并[4, 3-b]吡喃并[2, 3-d]嘧啶-4, 6(5H, 7H)-二酮(4j):黄色晶体, 产率62%. m.p.>300 ℃; 1H NMR (400 MHz, DMSO-d6) δ: 12.61 (s, 1H, NH), 6.89~7.00 (m, 3H, ArH), 6.43 (s, 1H, CH), 4.61 (s, 1H, CH), 2.27 (s, 3H, CH3), 2.22 (s, 3H, CH3); IR (KBr) ν: 3580, 3003, 2856, 2789, 1739, 1668 cm-1; MS m/z: 350. Anal. calcd for C20H18N2O4: C 68.56, H 5.18, N 8.00; found C 68.57, H 5.18, N 8.01.

2, 8, 8-三甲基-5-苯基-8, 9-二氢-3H-苯并吡喃并[2, 3-d]嘧啶-4, 6(5H, 7H)-二酮(6a):白色晶体, 产率62%. m.p.>300 ℃; 1H NMR (400 MHz, CDCl3) δ: 13.03 (s, 1H, NH), 7.30~7.32 (m, 2H, ArH), 7.20~7.22 (m, 2H, ArH), 7.10~7.14 (m, 1H, ArH), 4.92 (s, 1H, CH), 2.57~2.58 (m, 2H, CH2), 2.33 (s, 3H, CH3), 2.22~2.25 (m, 2H, CH2), 1.11 (s, 3H, CH3), 1.05 (s, 3H, CH3); IR (KBr) ν: 3435, 2963, 2910, 2888, 2787, 1680, 1640 cm-1; MS m/z: 336. Anal. calcd for C20H20N2O3: C 71.41, H 5.99, N 8.33; found C 71.40, H 5.96, N 8.29.

2, 8, 8-三甲基-5-(3-硝基苯)-8, 9-二氢-3H-苯并吡喃并[2, 3-d]嘧啶-4, 6(5H, 7H)-二酮(6b):白色粉末, 产率65%. m.p.>300 ℃; 1H NMR (400 MHz, CDCl3) δ: 12.40 (s, 1H, NH), 8.17 (s, 1H, ArH), 8.00 (d, J=8.02 Hz, 1H, ArH), 7.70 (d, J=7.43 Hz, 1H, ArH), 7.37~7.41 (m, 1H, ArH), 5.02 (s, 1H, CH), 2.57~2.68 (m, 2H, CH2), 2.40 (s, 3H, CH3), 2.20~2.31 (m, 2H, CH2), 1.14 (s, 3H, CH3), 1.07 (s, 3H, CH3); IR (KBr) ν: 3435, 2966, 2940, 2873, 2707, 1675, 1636 cm-1; MS m/z: 381. Anal. calcd for C20H19N3O5: C 62.99, H 5.02, N 11.02; found C 62.96, H 5.04, N 11.05.

2, 8, 8-三甲基-5-(4-乙酸基苯)-8, 9-二氢-3H-苯并吡喃并[2, 3-d]嘧啶-4, 6(5H, 7H)-二酮(6c):白色晶体, 产率72%. m.p.>300 ℃; 1H NMR (400 MHz, CDCl3) δ: 12.11 (s, 1H, NH), 8.09 (d, J=7.43 Hz, 2H, ArH), 7.49 (d, J=7.43 Hz, 2H, ArH), 5.01 (s, 1H, CH), 2.60 (s, 2H, CH2), 2.39 (s, 2H, CH2), 1.55 (s, 6H, 2CH3), 1.13 (s, 3H, CH3), 1.04 (s, 3H, CH3); IR (KBr) ν: 3446, 2965, 2924, 2879, 2783, 1662, 1636 cm-1; MS m/z: 394. Anal. calcd for C22H22N2O5: C 66.99, H 5.62, N 7.10; found C 97.01, H 5.67, N 7.20.

2, 8, 8-三甲基-5-(4-乙酸基-3-硝基苯)-8, 9-二氢-3H-苯并吡喃并[2, 3-d]嘧啶-4, 6(5H, 7H)-二酮(6d):淡黄色晶体, 产率63%. m.p. 288~291 ℃; 1H NMR (400 MHz, CDCl3) δ: 12.57 (s, 1H, NH), 8.04 (s, 1H, ArH), 7.62 (s, 1H, ArH), 7.07 (s, 1H, ArH), 5.00 (s, 1H, CH), 2.41 (s, 2H, CH2), 2.32 (s, 2H, CH2), 1.56 (s, 6H, 2CH3), 1.14 (s, 3H, CH3), 1.09 (s, 3H, CH3); IR (KBr) ν: 3450, 2961, 2942, 2874, 2693, 1671, 1635 cm-1; MS m/z: 439. Anal. calcd for C22H21N3O7: C 60.13, H 4.82, N 9.56; found C 60.27, H 4.84, N 10.03.

2, 8, 8-三甲基-5-(4-氯苯基)-8, 9-二氢-3H-苯并吡喃并[2, 3-d]嘧啶-4, 6(5H, 7H)-二酮(6e):白色晶体, 产率73%. m.p.>300 ℃; 1H NMR (400 MHz, CDCl3) δ: 12.72 (s, 1H, NH), 7.25 (d, J=8.22 Hz, 2H, ArH), 7.18 (d, J=8.22 Hz, 2H, ArH), 4.89 (s, 1H, CH), 2.57 (s, 2H, CH2), 2.37 (s, 3H, CH3), 2.19~2.29 (m, 2H, CH2), 1.12 (s, 3H, CH3), 1.04 (s, 3H, CH3); IR (KBr) ν: 3429, 2955, 2934, 2771, 2789, 1643, 1632 cm-1; MS m/z: 370. Anal. calcd for C20H19ClN2O3: C 64.78, H 5.16, N 7.55; found C 64.81, H 5.13, N 7.55.

辅助材料(Supporting Information)  化合物4a4j6a6e1H NMR图谱, 4a6a晶体结构数据.这些材料可以免费从本刊网站http://sioc-journal.cn/)上下载.

参考文献
[1] Sasaki S.; Cho N.; Nara Y.; Harada M.; Endo S.; Suzuki N.; Furuya S.; Fujino M. J. Med. Chem. , 2003, 46 : 113. DOI:10.1021/jm020180i
[2] Rashad A. E.; Shamroukh A. H.; Abdel-Megeid R. E.; El-Sayed W. A. Synth. Commun. , 2010, 40 : 1149. DOI:10.1080/00397910903050954
[3] Castro A.; Jerez M. J.; Gil C.; Calderon F.; Doménech T.; Nueda A.; Martnez A. Eur. J. Med. Chem. , 2008, 43 : 1349. DOI:10.1016/j.ejmech.2007.10.027
[4] Carpenter A. J.; Al-Barazanji K. A.; Barvian K. K.; Bishop M. J.; Britt C. S.; Cooper J. P.; Goetz A. S.; Grizzle M. K.; Hertzog D. L.; Ignr D. M.; Morgan R. O.; Peckham G. E.; Speake J. D.; Swain W. R. Bioorg. Med. Chem. Lett. , 2006, 16 : 4994. DOI:10.1016/j.bmcl.2006.07.054
[5] Li L. H.; Wallace T. L.; Richard K. A.; Tracey D. E. Cancer Res. , 1985, 45 : 532.
[6] Bartolini S.; Mai A.; Artico M.; Paesano N.; Rotili D.; Spadafora C.; Sbardella G. J. Med. Chem. , 2005, 48 : 6776. DOI:10.1021/jm0507330
[7] Clark J. H.; Miller J. M. J. Am. Chem. Soc. , 1977, 99 : 498. DOI:10.1021/ja00444a030
[8] Nishigaki S.; Ogiwara K.; Fukazawa S.; Ichiba M.; Mizushima N.; Yoneda F. J. Med. Chem. , 1972, 15 : 731. DOI:10.1021/jm00277a009
[9] Saravanan K.; Barlow H. C.; Barton M.; Calvert A. H.; Golding B. T.; Newell D. R.; Northen J. S.; Curtin N. J.; Thomas H. D.; Griffin R. J. J. Med. Chem. , 2011, 54 : 1847. DOI:10.1021/jm101493z
[10] (a) Grivsky, E. M.; Lee, S.; Sigel, C. W.; Duch, D. S.; Nichol, C. A. J. Med. Chem. 1980, 23, 327.
(b) Davoll, J.; Clarke, J.; Elslager, E. F. J. Med. Chem. 1972, 15, 837.
[11] Mohamed F. K; Essawy A. I.; Soliman A. Y.; Badrey M. G. Pharm. Chem , 2009 : 1–1.
[12] McCoy J. G.; Marugan J. J.; Liu K.; Zheng W.; Southall N.; Huang W.; Heilig M.; Austin C. P. ACS Chem. Neurosci. , 2010, 1 : 559. DOI:10.1021/cn100040h
[13] (a) Azzam, S. H. S.; Pasha, M. A. Tetrahedron Lett. 2012, 53, 7056.
(b) Younes, S. H. H.; Mohamed, S. K.; Albayati, M. R. Arch. Pharm. Chem. Life Sci. 2013, 346, 727.
(c) Veisi, H.; Maleki, A.; Omrani, Z.; Lotfi, S. RSC Adv. 2014, 4, 55313.
(d) Maddila, S. N.; Maddila, S.; Zyl, W. E.; Jonnalagadda, S. B. RSC Adv. 2015, 5, 37360.
(e) Li, S.-H.; Gao, N.; Li, J.-T. Chin. J. Org. Chem. 2009, 29, 466 (in Chinese).
(李胜辉, 高娜, 李记太, 有机化学, 2009, 29, 466.) http://www.cqvip.com/qk/93463X/200903/29812665.html
[14] Lin Z.-L.; Zhang X.-L.; You X.-K.; Gao Y. Tetrahedron , 2012, 68 : 6759. DOI:10.1016/j.tet.2012.05.089
[15] (a) Zhang, X.-L.; Huang, Y.; Li, Z.-N.; Lu, Y.-J.; Gao, Y. Chin. J. Org. Chem. 2006, 26, 1434 (in Chinese).
(张雪利, 黄毅, 李卓宁, 吕玉娟, 高原, 有机化学, 2006, 26, 1434.)
(b) Tu, S.-J.; Jiang, H.; Zhuang, Q.-Y.; Miao, C.-B.; Shi, D.-Q.; Wang, X.-S.; Gao, Y. Chin. J. Org. Chem. 2003, 23, 488 (in Chinese).
(屠树江, 蒋虹, 庄启亚, 缪春宝, 史达清, 王香善, 高原, 有机化学, 2003, 23, 488.) http://d.wanfangdata.com.cn/Periodical/yjhx200610017