有机化学  2016, Vol. 36 Issue (3): 533-539   PDF    
吲哚丙基-1, 3, 4-噁二唑衍生物的合成及蛋白酪氨酸磷酸酯酶1B抑制活性研究
梅雯雯a,b , 郭跃伟b , 李佳b , 蔡妹艺a , 马文泉c , 龚景旭b , 王学东a     
a 潍坊医学院药学院 潍坊 261053;
b 中国科学院上海药物研究所 新药研究国家重点实验室 上海 201203;
c 潍坊生物医药创新创业服务中心 潍坊 261205
国家海洋"863"项目(Nos. 2013AA092902, 2012AA092105)、国家自然科学基金(Nos. 81520108028, 81273430, 41306130, 41506187, 81302692, 41476063)、山东省自然科学基金(No. U1406402)、上海市科委项目(Nos. 14431901100, 15431901000)、新药研究国家重点实验室/上海药物所自主项目(Nos. SIMM1501ZZ-03, CASIMM0120152039)资助项目
摘要:以吲哚丁酸为原料, 通过酯化、酰肼化、环化、取代四步反应得到了一系列吲哚丙基-1, 3, 4-噁二唑衍生物.对所合成的目标化合物进行了抗蛋白酪氨酸磷酸酯酶1B (PTP1B)活性测试, 发现其中5个化合物具有明显的体外抗PTP1B活性, 其中化合物5g活性最强, 其IC50为6.74 μg·mL-1.该系列化合物是首次报道的具有PTP1B抑制活性的吲哚烷基-噁二唑衍生物.
关键词1, 3, 4-噁二唑    合成    PTP1B抑制活性    
Synthesis and Protein-Tyrosine Phosphatase 1B Inhibitory Activity Evaluation of Indolepropyl Based 1, 3, 4-Oxadiazole Derivatives
Mei Wenwena,b , Guo Yueweib , Li Jiab , Cai Meiyia , Ma Wenquanc , Gong Jingxub , Wang Xuedonga     
a College of Pharmacy, Weifang Medical University, Weifang 261053 ;
b State Key Laboratory of Drug Research, Shanghai Institute of Materia Medica, Chinese Academy of Sciences, Shanghai 201203 ;
c Weifang Biomedical Innovation and Entrepreneurship Service Center, Weifang 261205
Abstract: A series of indolepropyl based 1, 3, 4-oxadiazole derivatives were synthesized by esterification, hydrazidation, cyclization and substitution using indolebutyric acid as starting material. The inhibitory activity against protein tyrosine phosphatase 1B (PTP1B) was evaluated. The results indicated that five compounds displayed obviously inhibitory effect against PTP1B in vitro, for instance, compound 5g exhibited the strongest PTP1B inhibitory activity with an IC50 value of 6.74 μg· mL-1. It was the first example of indolealkyl based oxadiazole derivatives showing PTP1B inhibitory activity.
Key Words: 1, 3, 4-oxadiazole    synthesis    PTP1B inhibitory activity    

2型糖尿病是由胰岛素敏感性下降或者胰岛素分泌不足造成的, 以慢性高血糖为特征的代谢紊乱性疾病. 2型糖尿病患者占糖尿病患者的90%~95%, 其发生伴随着一系列并发症, 已经成为全球普遍关注的健康问题[1, 2].治疗2型糖尿病的药物很多, 但大多数药物存在不良反应, 如体重增加、低血糖等[3].蛋白酪氨酸磷酸酯酶1B (Protein-Tyrosine Phosphatase 1B, PTP1B)在胰岛素和瘦素信号转导通路中起着重要的负调节作用, PTP1B抑制剂能够增加胰岛素受体的敏感性, 促进胰岛素受体与胰岛素结合, 增强胰岛素信号转导, 对于2型糖尿病有很好的治疗效果, 已经成为治疗2型糖尿病和肥胖症的新靶点[46].

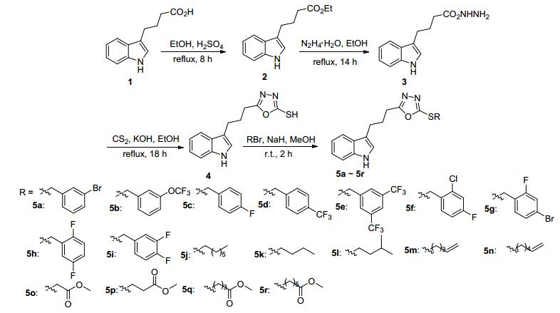
海洋天然产物是新药开发的重要来源, 也是近几年国内外的研究热点和前沿领域[712].我们小组长期致力于发掘结构新颖、生物活性显著的海洋天然产物.近几年, 我们从采自中国南海的后鳃亚纲软体动物菲地腮(Phiiiana militarism)中分离得到了两个结构罕见的化合物菲地腮甲素(Phidianidine A)和菲地腮乙素(Phidianidine B) (图 1), 这是首次从自然界中分离得到的含有1, 2, 4-噁二唑片段的吲哚生物碱.根据药理活性筛选, 发现菲地腮甲素和乙素有很强的细胞毒性, 并对某些细胞表现出特异性, 如大鼠胶质瘤C6细胞、人上皮宫颈癌Hela细胞, IC50值在nmol范围[13].由于其独特的结构和显著的药理活性, 菲地腮甲素和乙素一经发现便引起国内外研究人员的关注, Snider, Lindsley等[1417]先后完成了其全合成研究, 并发现了此类化合物新的药理活性. Lindsley等对全合成得到的菲地腮甲素和乙素进行了药理活性筛选, 发现菲地腮甲素和乙素能选择性抑制多巴胺转运蛋白DAT分子, 是μ-阿片受体的部分激动剂, 这表明菲地腮甲素和乙素可能是神经系统的新配体或配体类似物[15].另外研究表明菲地腮甲素能特异性抑制治疗艾滋病、风湿性关节炎、癌症的重要靶点CXCR4[18].基于菲地腮甲素和乙素广泛的生物活性, 我们小组也对此类化合物进行了深入的研究, 合成得到了一系列的类似物, 并对它们进行了众多生物活性筛选.结果显示其对β淀粉样蛋白(Aβ)、过氧化氢(H2O2)、神经细胞缺氧缺血再灌注(OGD)诱发损伤的SH-SY5Y神经细胞具有显著的神经保护作用[19].进一步筛选发现一些化合物具有PTP1B抑制活性, 这引起了我们极大的研究兴趣, 于是在前期研究基础上, 开展了针对此类化合物的PTP1B抑制活性的进一步研究.许多研究表明1, 3, 4-噁二唑片段是PTP1B抑制剂的重要结构[2024], 于是我们采用1, 3, 4-噁二唑基团取代1, 2, 4-噁二唑结构, 保留了具有多种生物活性的吲哚片段, 根据等电性原理, 用巯基取代氨基, 合成得到了一系列未见文献报道的化合物, 并测定了它们的体外PTP1B抑制活性.本文报道该研究结果, 其合成路线如Scheme 1所示.

图 1 菲地腮甲素和乙素的结构 Fig 1 The structures of phidianidines A and B

图式1 化合物5a5r的合成路线 Scheme1 Synthetic route of target compounds 5a5r
1 结果与讨论
1.1 合成方法讨论

1, 3, 4-噁二唑合成常用方法有酰肼与芳醛反应[25]、酰肼与酸反应[2628]、酰肼与二硫化碳[29]反应等. Shanker等[30]以吲哚乙酸为起始原料, 经过酯化、酰肼化、酰肼与二硫化碳环合三步反应合成了5-(吲哚-3-甲基)-1, 3, 4-噁二唑-2-硫醇, 此后, 该方法不断得到改进[31].在实验过程中, 我们研究了反应物的量以及温度与产率的关系, 进行了进一步的优化.在中间体3的合成中, 适当加大水合肼的用量, 提高反应温度, 有利于加快反应, 提高产率.在乙醇为溶剂的条件下, 水合肼与中间体2的物质的量比为10:1, 反应温度108 ℃为宜.在中间体4的合成过程中, 根据文献报道[26], 吲哚-3-丁酰肼在(中间体3)与二硫化碳的物质的量比为2:3, 但在实际的实验过程中, 二硫化碳沸点较低, 很容易损失, 在反应过程中要不断补加二硫化碳.此外, 我们发现, 1, 3, 4-噁二唑结构的形成需要高温, 反应的温度一般控制在110~120 ℃.

1.2 体外抗PTP1B活性研究结果

体外抗PTP1B活性测试结果(表 1)显示, 化合物5a, 5b, 5e, 5f, 5g具有较好的PTP1B抑制活性.测试结果表明不同的取代基对于PTP1B抑制活性具有重要的影响, 当R为链状烷基(5j5r)时没有PTP1B抑制活性, 当R为苄基(5a5i)时, 一些化合物显示较好的抑制活性, 说明苯环在活性发挥中起着重要作用.我们选取化合物5g与PTP1B的活性催化域进行分子对接, 结果如图 2所示.测试结果表明, 吲哚部分占据了PTPIB活性催化位点的P loop区(如图中主要氨基酸His214-Arg221残基以紫色CPK模式显示), 被疏水性氨基酸ASP181, Ser50, Thr46, Ile 219形成的疏水口袋所包围, 形成较强的疏水作用.并且Gln 262与吲哚的NH形成强的氢键作用, 其氢键距离仅为1.8 Å, 增强了与该区域的结合.而与噁二唑相连的苯环, 靠近WPD结构域(图中主要氨基酸Trp179-Val184残基以绿色CPK模式显示), 产生疏水作用, 其中Phe182侧链上的苯环与噁二唑相连的苯环, 形成强力面对面的π-π作用.而与噁二唑相连的取代基为链状烷基(5j5r)时, 并未对PTP 1B并表现出抑制效果, 很好的印证了抑制剂与WPD loop区有相互作用的重要性.通过对PTPIB活性位点分子对接结果分析可知, 小分子抑制剂5g与PTP1B的活性催化域及WPD结构域的相关残基发生相互作用, 干扰了PTPIB的正常生理催化功能, 进而起到抑制其活性的效果.到目前为止, 关于吲哚烷基-噁二唑衍生物的抗PTP1B活性的还未见报道, 通过我们的研究, 初步确立了此类化合物的抗PTP1B活性构效关系.

表 1 化合物5a5c, 5e5f的体外抗PTP1B活性测试结果 Table 1 In vitro inhibition activities of PTP1B for compounds 5a5c, 5e and 5f

图 2 化合物5g与PTP1B的分子对接 Fig 2 The interaction of compound 5g with the catalytic site of PTP1B enzyme
2 结论

本文采用吲哚丁酸为原始材料, 经过四步反应合成了18个吲哚丙基-1, 3, 4-噁二唑衍生物, 化合物结构经过1H NMR, 13C NMR, HREIMS确证.采用人基因重组PTP1B酶活体系, 进行体外抗PTP1B活性测试.测试结果表明, 化合物5a, 5b, 5e, 5f, 5g具有明显的PTP1B抑制活性, 半抑制浓度IC50为6.74~19.30 μg•mL-1.其中化合物5g的IC50值为6.74 μg•mL-1.通过我们的研究, 发现了具有良好PTP1B抑制活性的吲哚丙基-1, 3, 4-噁二唑衍生物, 并初步进行了此类化合物的构效关系研究, 为此类化合物有关抗糖尿病PTP1B活性深入研究奠定了良好的基础.我们将对此类化合物进行进一步的结构优化, 以发现更高PTP1B抑制活性的化合物.

3 实验部分
3.1 仪器与试剂

核磁共振由DPX-400, DPX-500 MHz核磁共振仪测定, 1H NMR以氘代溶剂中残存的CHCl3 (δ: 7.26)为内标; 13C NMR以氘代溶剂中残存的CHC13 (δ: 77.0)为内标. EIMS和HRESIMS由质谱Finnigan MAT-95型质谱仪测定.熔点由SGW X-4B显微熔点仪测定, 温度未校正.快速柱层析采用青岛海洋化工厂或烟台化工研究所实验厂生产柱硅胶H (100~200, 200~300目), 或者薄层层析硅胶H.

3.2 中间体2和3的合成

吲哚-3-丁酸乙酯(2)参照文献[32]合成, 产物为紫红色油状液体, 产率95.7%, 中间体2的波谱数据与文献[33]相同.吲哚-3-丁酰肼3的合成参照文献[33], 设定反应温度108 ℃, 得白色粉末, 产率85.1%, 中间体3的波谱数据与文献[33]相同.

3.3 中间体4的合成

5-[3-(1H-吲哚)丙基]-1, 3, 4-噁二唑-2-硫醇(4)的合成参照文献[32], 设定反应温度110 ℃, 实验过程中不断补加二硫化碳, 得浅黄色固体, 产率79.7%.中间体4为已知化合物, 波谱数据与文献[32]报道一致.

3.4 目标化合物5的合成

将0.2 mmol 5-[3-(1H-吲哚)丙基]-1, 3, 4-噁二唑-2-硫醇(4)溶于3 mL甲醇中, 加入0.8 mmol氢化钠, 0.3 mmol溴代物, 室温搅拌反应, 薄层色谱法监测反应进程, 加水, 乙酸乙酯提取, 无水硫酸镁干燥, 浓缩, 经硅胶柱层析, 得化合物5a5r.

3-{3-[5-(3-溴苄硫基)-1, 3, 4-噁二唑]丙基}-1H-吲哚(5a):浅黄色粉末, 收率42.2%. m.p. 143~150 ℃; 1H NMR (400 MHz, CDCl3) δ: 7.98 (s, 1H, NH), 7.65~7.57 (m, 2H, ArH), 7.47~7.35 (m, 3H, ArH), 7.26~7.10 (m, 3H, ArH), 7.03 (s, 1H, ArH), 4.39 (s, 2H, CH2), 2.89 (t, J=7.0 Hz, 2H, CH2), 2.88 (t, J=7.2 Hz, 2H, CH2), 2.25~2.17 (m, 2H, CH2); 13C NMR (126 MHz, CDCl3) δ: 168.25, 163.17, 138.09, 136.39, 132.06, 131.19, 130.28, 127.80, 127.27, 122.64, 122.10, 121.74, 119.35, 118.79, 114.86, 111.16, 35.92, 26.57, 24.92, 24.29. HREIMS calcd for C20H18BrN3OS 427.0354, found 427.0353.

3-{3-[5-(3-(三氟甲氧基)苄硫基)-1, 3, 4-噁二唑]丙基}-1H-吲哚(5b):浅黄色粉末, 收率54.3%. m.p. 85~91 ℃; 1H NMR (400 MHz, CDCl3) δ: 8.00 (s, 1H, NH), 7.61 (d, J=7.8 Hz, 1H, ArH), 7.43~7.33 (m, 3H, ArH), 7.31 (s, 1H, ArH), 7.22 (t, J=7.5 Hz, 1H), 7.19~7.08 (m, 2H), 7.03 (s, 1H, ArH), 4.43 (s, 2H, CH2), 2.89 (t, J=7.2 Hz, 2H, CH2), 2.88 (t, J=7.5 Hz, 2H, CH2), 2.20 (q, J=7.4 Hz, 2H, CH2); 13C NMR (126 MHz, CDCl3) δ: 168.27, 163.11, 149.36, 138.15, 136.40, 130.14, 127.51, 127.27, 122.10, 121.74, 121.61, 120.45, 119.35, 118.78, 114.84, 111.17, 35.96, 26.56, 24.91, 24.28. HREIMS calcd for C21H18F3N3O2S 433.1072, found 433.1071.

3-{3-[5-(4-氟苄硫基)-1, 3, 4-噁二唑]丙基}-1H-吲哚(5c):浅黄色粉末, 收率57.2%. m.p. 133~159 ℃; 1H NMR (400 MHz, CDCl3) δ: 8.04 (s, 1H, NH), 7.61 (d, J=7.9 Hz, 1H, ArH), 7.47~7.34 (m, 3H, ArH), 7.26~7.19 (m, 1H, ArH), 7.18~7.10 (m, 1H, ArH), 7.07~6.98 (m, 3H, ArH), 4.41 (s, 2H, CH2), 2.89 (t, J=7.2 Hz, 2H, CH2), 2.88 (t, J=7.5 Hz, 2H, CH2), 2.20 (q, J=7.4 Hz, 2H, CH2); 13C NMR (126 MHz, CDCl3) δ: 168.14, 163.43, 161.46, 136.41, 131.56 (d, J=2.5 Hz), 130.87 (d, J=8.3 Hz), 127.27, 122.09, 121.74, 119.34, 118.78, 115.71 (d, J=21.3 Hz), 114.85, 111.19, 35.93, 26.60, 24.92, 24.29. HREIMS calcd for C20H18FN3OS 367.1155, found 367.1152.

3-{3-[5-(4-三氟甲基苄硫基)-1, 3, 4-噁二唑]丙基}-1H-吲哚(5d):白色粉末, 收率54.0%. m.p. 190~204 ℃; 1H NMR (400 MHz, CDCl3) δ: 7.99 (s, 1H, NH), 7.64~7.54 (m, 5H, ArH), 7.39 (d, J=8.1 Hz, 1H, ArH), 7.22 (t, J=7.1 Hz, 1H, ArH), 7.14 (t, J=7.0 Hz, 1H, ArH), 7.03 (s, 1H, ArH), 4.47 (s, 2H, CH2), 2.89 (t, J=6.9 Hz, 2H, CH2), 2.88 (t, J=7.5 Hz, 2H, CH2), 2.20 (q, J=7.6 Hz, 2H, CH2); 13C NMR (126 MHz, CDCl3) δ: 168.32, 163.07, 140.01, 136.39, 130.10, 129.48, 127.26, 125.71 (q, J=3.7 Hz), 122.11, 121.71, 119.36, 118.77, 114.85, 111.17, 35.90, 26.57, 24.91, 24.29. HREIMS calcd for C21H18F3N3OS 417.1123, found 417.1123.

3-{3-[5-(3, 5-二(三氟甲基)苄硫基)-1, 3, 4-噁二唑]丙基}-1H-吲哚(5e):白色固体, 收率49.5%. m.p. 123~134 ℃; 1H NMR (400 MHz, CDCl3) δ: 8.00 (s, 1H, NH), 7.93 (s, 2H, ArH), 7.83 (s, 1H, ArH), 7.61 (d, J=7.9 Hz, 1H, ArH), 7.39 (d, J=8.1 Hz, 1H, ArH), 7.25~7.18 (m, 1H, ArH), 7.17~7.11 (m, 1H, ArH), 7.03 (s, 1H, ArH), 4.50 (s, 2H, CH2), 2.89 (t, J=6.9 Hz, 2H, CH2), 2.88 (t, J=7.5 Hz, 2H, CH2), 2.21 (q, J=7.4 Hz, 2H, CH2); 13C NMR (126 MHz, CDCl3) δ: 168.54, 162.45, 138.82, 136.39, 132.07 (q, J=33.8, Hz), 129.33, 127.25, 124.15, 122.11, 122.07~121.79 (m), 121.75, 119.36, 118.76, 114.77, 111.17, 35.35, 26.49, 24.90, 24.28. HREIMS calcd for C22H17F6N3OS 485.0997, found 485.0989.

3-{3-[5-(2-氯-4-氟苄硫基)-1, 3, 4-噁二唑]丙基}-1H-吲哚(5f):红棕色粉末, 收率49.9%. m.p. 144~153 ℃; 1H NMR (400 MHz, CDCl3) δ: 8.00 (s, 1H, NH), 7.67~7.58 (m, 2H, ArH), 7.39 (d, J=8.1 Hz, 1H, ArH), 7.25~7.11 (m, 3H, ArH), 7.03 (s, 1H, ArH), 6.95 (td, J=8.3, 2.7 Hz, 1H, ArH), 4.51 (s, 2H, CH2), 2.89 (t, J=6.9 Hz, 2H, CH2), 2.87 (t, J=7.5 Hz, 2H, CH2), 2.20 (q, J=7.9 Hz, 2H, CH2); 13C NMR (126 MHz, CDCl3) δ: 168.28, 163.54, 162.30 (d, J=262.5 Hz), 161.25, 136.39, 135.11 (d, J=10.5 Hz), 132.61 (d, J=8.9 Hz), 129.91 (d, J=3.6 Hz), 127.27, 122.10, 121.70, 119.36, 118.78, 117.21 (d, J=25.0 Hz), 114.87, 114.38 (d, J=21.3 Hz), 111.17, 33.76, 26.58, 24.91, 24.29. HREIMS calcd for C20H17ClFN3OS 401.0765, found 401.0767.

3-{3-[5-(2-氟-4-溴苄硫基)-1, 3, 4-噁二唑]丙基}-1H-吲哚(5g):浅黄色粉末, 收率55.1%. m.p. 151~160 ℃; 1H NMR (400 MHz, CDCl3) δ: 8.00 (s, 1H, NH), 7.61 (d, J=8.2 Hz, 1H, ArH), 7.46~7.35 (m, 2H, ArH), 7.27~7.18 (m, 3H, ArH), 7.14 (t, J=7.3 Hz, 1H, ArH), 7.03 (s, 1H, ArH), 4.40 (s, 2H, CH2), 2.89 (t, J=7.0 Hz, 2H, CH2), 2.87 (t, J=7.2 Hz, 2H, CH2), 2.21 (q, J=7.4 Hz, 2H, CH2).13C NMR (126 MHz, CDCl3) δ: 168.37, 163.15, 162.43 (d, J=251.3 Hz), 136.40, 132.43 (d, J=3.8 Hz), 127.66, 127.45 (d, J=46.3 Hz), 122.67 (d, J=13.8 Hz), 122.46 (d, J=8.8 Hz), 122.10, 121.72, 119.35, 119.30 (d, J=24.3 Hz), 118.77, 114.84, 111.17, 29.46, 26.55, 24.90, 24.28. HREIMS calcd for C20H17BrFN3OS 445.0260, found 445.0258.

3-{3-[5-(2, 5-二氟苄硫基)-1, 3, 4-噁二唑]丙基}-1H-吲哚(5h):白色固体, 收率72.7%. m.p. 126~135 ℃; 1H NMR (400 MHz, CDCl3) δ: 7.99 (s, 1H, NH), 7.61 (d, J=7.7 Hz, 1H, ArH), 7.39 (d, J=8.1 Hz, 1H, ArH), 7.27~7.19 (m, 2H, ArH), 7.14 (t, J=7.4 Hz, 1H, ArH), 7.08~6.93 (m, 3H, ArH), 4.42 (s, 2H, CH2), 2.94~2.83 (m, 4H, CH2), 2.21 (q, J=7.3 Hz, 2H, CH2); 13C NMR (126 MHz, CDCl3) δ: 168.38, 163.08, 158.62 (d, J=188.8 Hz), 156.68 (d, J=190.0 Hz), 136.39, 127.27, 125.41~124.78 (m), 122.10, 121.73, 119.36, 118.79, 117.70 (dd, J=23.8, 3.5 Hz), 116.59 (dd, J=24.1, 8.5 Hz), 116.36 (dd, J=23.9, 8.5 Hz), 114.86, 111.16, 29.67, 26.54, 24.92, 24.28. HREIMS calcd for C20H17F2N3OS 385.1060, found 385.1053.

3-{3-[5-(3, 4-二氟苄硫基)-1, 3, 4-噁二唑]丙基}-1H-吲哚(5i):白色粉末, 收率54.5%. m.p. 153~188 ℃; 1H NMR (400 MHz, CDCl3) δ: 8.04 (s, 1H, NH), 7.61 (d, J=7.9 Hz, 1H, ArH), 7.39 (d, J=8.1 Hz, 1H, ArH), 7.33~7.26 (m, 1H, ArH), 7.22 (t, J=7.6 Hz, 1H, ArH), 7.19~7.07 (m, 3H, ArH), 7.03 (s, 1H, ArH), 4.38 (s, 2H, CH2), 2.89 (t, J=7.2 Hz, 2H, CH2), 2.87 (t, J=7.4 Hz, 2H, CH2), 2.21 (q, J=7.4 Hz, 2H, CH2).13C NMR (126 MHz, CDCl3) δ: 168.29, 163.07, 150.23 (dd, J=248.8, 12.5 Hz), 150.10 (dd, J=247.5, 12.5 Hz), 136.40, 132.91 (dd, J=5.0, 3.8 Hz), 127.26, 125.31 (dd, J=6.4, 3.6 Hz), 122.10, 121.74, 119.35, 118.77, 118.16 (d, J=17.8 Hz), 117.50 (d, J=17.4 Hz), 114.82, 111.19, 35.55, 26.57, 24.91, 24.29. HREIMS calcd for C20H17F2N3OS 385.1060, found 385.1055.

3-{3-[5-(庚硫基)-1, 3, 4-噁二唑]丙基}-1H-吲哚(5j):红棕色粉末, 收率65.8%. m.p. 94~99 ℃; 1H NMR (400 MHz, CDCl3) δ: 8.03 (s, 1H, NH), 7.62 (d, J=7.8 Hz, 1H, ArH), 7.39 (d, J=8.1 Hz, 1H, ArH), 7.26~7.19 (m, 1H, ArH), 7.18~7.10 (m, 1H, ArH), 7.05 (s, 1H, ArH), 3.22 (t, J=7.2 Hz, 2H, CH2), 2.90 (t, J=7.0 Hz, 2H, CH2), 2.89 (t, J=7.6 Hz, 2H, CH2), 2.21 (q, J=7.4 Hz, 2H, CH2), 1.80 (q, J=7.6 Hz, 2H, CH2), 1.50~1.24 (m, 8H, CH2), 0.90 (t, J=6.9 Hz, 3H, CH3); 13C NMR (126 MHz, CDCl3)δ: 167.83, 164.38, 136.40, 127.30, 122.07, 121.73, 119.33, 118.80, 114.94, 111.17, 32.51, 31.65, 29.24, 28.70, 28.57, 26.69, 24.93, 24.31, 22.57, 14.06. HREIMS calcd for C20H27N3OS 357.1875, found 357.1877.

3-{3-[5-(丁硫基)-1, 3, 4-噁二唑]丙基}-1H-吲哚(5k):浅黄色粉末, 收率58.7%. m.p. 99~105 ℃; 1H NMR (400 MHz, CDCl3) δ: 8.02 (s, 1H, NH), 7.62 (d, J=7.9 Hz, 1H, ArH), 7.39 (d, J=8.0 Hz, 1H, ArH), 7.26~7.18 (m, 1H, ArH), 7.17~7.11 (m, 1H, ArH), 7.05 (s, 1H, ArH), 3.34~3.06 (m, 2H, CH2), 2.90 (t, J=6.7 Hz, 2H, CH2), 2.89 (t, J=7.6 Hz, 2H, CH2), 2.21 (q, J=7.5 Hz, 2H, CH2), 1.88~1.72 (m, 2H, CH2), 1.54~1.43 (m, 2H, CH2), 0.96 (t, J=7.6 Hz, 3H, CH3); 13C NMR (126 MHz, CDCl3) δ: 167.83, 164.36, 136.40, 127.30, 122.07, 121.72, 119.33, 118.80, 114.95, 111.16, 32.20, 31.25, 26.69, 24.93, 24.30, 21.75, 13.51. HREIMS calcd for C17H21N3OS 315.1405, found 315.1406.

3-{3-[5-(异戊硫基)-1, 3, 4-噁二唑]丙基}-1H-吲哚(5l):白色粉末, 收率63.8%. m.p. 95~104 ℃; 1H NMR (400 MHz, CDCl3) δ: 8.09 (s, 1H, NH), 7.62 (d, J=7.9 Hz, 1H, ArH), 7.39 (d, J=8.1 Hz, 1H, ArH), 7.26~7.18 (m, 1H, ArH), 7.18~7.11 (m, 1H, ArH), 7.04 (d, J=1.9 Hz, 1H, ArH), 3.33~3.15 (m, 2H, CH2), 2.90 (t, J=7.2 Hz, 2H, CH2), 2.89 (t, J=7.5 Hz, 2H, CH2), 2.22 (q, J=7.4 Hz, 2H, CH2), 1.81~1.73 (m, 1H, CH), 1.73~1.63 (m, 2H, CH2), 0.97 (d, J=6.4 Hz, 6H, CH3); 13C NMR (126 MHz, CDCl3) δ: 167.85, 164.36, 136.42, 127.30, 122.05, 121.76, 119.31, 118.79, 114.89, 111.19, 38.00, 30.63, 26.68, 24.92, 24.31, 22.15. HREIMS calcd for C18H23N3OS 329.1562, found 329.1568.

3-{3-[5-(4-戊烯硫基)-1, 3, 4-噁二唑]丙基}-1H-吲哚(5m):白色固体, 收率50.5%. m.p. 76~95 ℃; 1H NMR (400 MHz, CDCl3)δ: 8.12 (s, 1H, NH), 7.62 (d, J=7.8 Hz, 1H, ArH), 7.39 (d, J=8.1 Hz, 1H, ArH), 7.22 (t, J=7.1 Hz, 1H, ArH), 7.15 (t, J=7.4 Hz, 1H, ArH), 7.04 (s, 1H, ArH), 5.88~5.75 (m, 1H, CH), 5.19~4.96 (m, 2H, CH2), 3.23 (t, J=7.1 Hz, 2H, CH2), 2.90 (t, J=7.2 Hz, 2H, CH2), 2.89 (t, J=7.4 Hz, 2H, CH2), 2.29~2.16 (m, 4H, CH2), 1.93 (q, J=7.4 Hz, 2H, CH2); 13C NMR (126 MHz, CDCl3)δ: 167.94, 164.22, 136.94, 136.42, 127.30, 122.06, 121.77, 119.32, 118.79, 115.93, 114.89, 111.20, 32.43, 31.76, 28.33, 26.68, 24.94, 24.32. HREIMS calcd for C18H21N3OS 327.1405, found 327.1404.

3-{3-[5-(5-己烯硫基)-1, 3, 4-噁二唑]丙基}-1H-吲哚(5n):白色粉末, 收率54.3%. m.p. 92~100 ℃; 1H NMR (400 MHz, CDCl3) δ: 8.19 (s, 1H, NH), 7.62 (d, J=7.8 Hz, 1H, ArH), 7.39 (d, J=8.1 Hz, 1H, ArH), 7.22 (t, J=7.5 Hz, 1H, ArH), 7.15 (t, J=7.5 Hz, 1H, ArH), 7.03 (s, 1H, ArH), 5.88~5.75 (m, 1H, CH), 5.14~4.88 (m, 2H, CH2), 3.24 (t, J=7.3 2H, CH2), 2.90 (t, J=7.2 Hz, 2H, CH2), 2.89 (t, J=7.5 Hz, 2H, CH2), 2.22 (q, J=7.3 Hz, 2H, CH2), 2.11 (q, J=7.1 Hz, 2H, CH2), 1.83 (q, J=7.6 Hz, 2H, CH2), 1.57 (q, J=7.7 Hz, 2H, CH2); 13C NMR (126 MHz, CDCl3)δ: 167.94, 164.33, 138.11, 136.46, 127.30, 122.00, 121.85, 119.27, 118.77, 115.86, 114.90, 111.27, 33.10, 32.34, 28.69, 27.77, 26.69, 24.93, 24.33. HREIMS calcd for C19H23N3OS 341.1562, found 341.1557.

2-{5-[3-(1H-3-吲哚)丙基]-1, 3, 4-噁二唑-2-硫基}乙酸甲酯(5o):浅黄色粉末, 收率68.0%. m.p. 113~124 ℃; 1H NMR (400 MHz, CDCl3) δ: 8.12 (s, 1H, NH), 7.61 (d, J=7.7 Hz, 1H, ArH), 7.39 (d, J=8.1 Hz, 1H, ArH), 7.21 (dd, J=11.1, 4.0 Hz, 1H, ArH), 7.14 (t, J=7.2 Hz, 1H, ArH), 7.02 (s, 1H, ArH), 4.05 (s, 2H, CH2), 3.81 (s, 3H, CH3), 2.90 (t, J=7.3 Hz, 2H, CH2), 2.89 (t, J=7.4 Hz, 2H, CH2), 2.21 (q, J=7.3 Hz, 2H, CH2); 13C NMR (126 MHz, CDCl3)δ: 168.26, 168.03, 162.63, 136.42, 127.27, 122.04, 121.81, 119.31, 118.77, 114.76, 111.22, 53.17, 34.01, 26.58, 24.91, 24.27. HREIMS calcd for C16H17N3O3S 331.0991, found 331.0990.

3-{5-[3-(1H-3-吲哚)丙基]-1, 3, 4-噁二唑-2-硫基}丙酸甲酯(5p):浅黄色粉末, 收率52.2%. m.p. 86~96 ℃; 1H NMR (400 MHz, CDCl3) δ: 8.19 (s, 1H, NH), 7.62 (d, J=7.8 Hz, 1H, ArH), 7.38 (d, J=8.1 Hz, 1H, ArH), 7.22 (t, J=7.5 Hz, 1H, ArH), 7.14 (t, J=7.5 Hz, 1H, ArH), 7.02 (s, 1H, ArH), 3.74 (s, 3H, CH3), 3.47 (t, J=6.8 Hz, 2H, CH2), 2.93 (t, J=7.0 Hz, 2H, CH2), 2.90 (t, J=7.2 Hz, 2H, CH2), 2.89 (t, J=7.6 Hz, 2H, CH2), 2.22 (q, J=7.4 Hz, 2H, CH2); 13C NMR (126 MHz, CDCl3)δ: 171.78, 168.21, 163.65, 136.43, 127.28, 122.02, 121.83, 119.28, 118.76, 114.74, 111.23, 52.04, 33.96, 27.25, 26.63, 24.91, 24.31. HREIMS calcd for C17H19N3O3S 345.1147, found 345.1142.

4-{5-[3-(1H-3-吲哚)丙基]-1, 3, 4-噁二唑-2-硫基}丁酸甲酯(5q):白色固体, 收率47.4%. m.p. 89~102 ℃; 1H NMR (400 MHz, CDCl3) δ: 8.09 (s, 1H, NH), 7.62 (d, J=7.8 Hz, 1H, ArH), 7.39 (d, J=8.1 Hz, 1H, ArH), 7.22 (t, J=7.5 Hz, 1H, ArH), 7.14 (t, J=7.4 Hz, 1H, ArH), 7.04 (s, 1H, ArH), 3.71 (s, 3H, CH3), 3.28 (t, J=7.1 Hz, 2H, CH2), 2.90 (t, J=7.2 Hz, 2H, CH2), 2.89 (t, J=7.5 Hz, 2H, CH2), 2.52 (t, J=7.2 Hz, 2H, CH2), 2.23 (q, J=7.3 Hz, 2H, CH2), 2.16 (q, J=7.2 Hz, 2H, CH2); 13C NMR (126 MHz, CDCl3) δ: 173.03, 168.06, 163.77, 136.42, 127.29, 122.03, 121.80, 119.29, 118.77, 114.79, 111.20, 51.78, 32.39, 31.59, 26.63, 24.93, 24.52, 24.31. HREIMS calcd for C18H21N3O3S 359.1304, found 359.1299.

6-{5-[3-(1H-3-吲哚)丙基]-1, 3, 4-噁二唑-2-硫基}己酸甲酯(5r):浅黄色粉末, 收率74.9%. m.p. 80~88 ℃; 1H NMR (400 MHz, CDCl3)δ: 8.09 (s, 1H, NH), 7.62 (d, J=7.9 Hz, 1H, ArH), 7.39 (d, J=8.1 Hz, 1H, ArH), 7.25~7.18 (m, 1H, ArH), 7.18~7.10 (m, 1H, ArH), 7.04 (s, 1H, ArH), 3.69 (s, 3H, CH3), 3.22 (t, J=7.3 Hz, 2H, CH2), 2.90 (t, J=7.3 Hz, 2H, CH2), 2.89 (t, J=7.5 Hz, 2H, CH2), 2.35 (t, J=7.4 Hz, 2H, CH2), 2.22 (q, J=7.4 Hz, 2H, CH2), 1.83 (q, J=7.5 Hz, 2H, CH2), 1.69 (q, J=7.3 Hz, 2H, CH2), 1.56~1.43 (m, 2H, CH2); 13C NMR (126 MHz, CDCl3) δ: 173.93, 167.91, 164.17, 136.41, 127.29, 122.05, 121.76, 119.31, 118.79, 114.88, 111.18, 51.57, 33.81, 32.19, 28.94, 28.03, 26.66, 24.92, 24.32, 24.30. HREIMS calcd for C20H25N3O3S 387.1617, found 367.1623.

3.5 体外PTP1B抑制活性研究

采用光吸收检测法, 在96孔或384孔平底透明微孔板中检测酶活性.底物pNPP经PTP1B水解得到的游离产物在405 nm处有很强的光吸收.通过酶标仪检测405 nm处光吸收强度的变化, 计算得到反应初速度.实验中采用的对照化合物为齐墩果酸.

3.6 化合物5g与PTP1B的分子对接

蛋白PTP 1B蛋白晶体结构(2CNG)下载自蛋白数据库(http://www.rcsb.org).分子对接试验在Autodock4.2程序上进行, 以MGLTools-1.5.4为对接的图像显示软件.蛋白的预处理包括加氢及电荷均在MGLTools-1.5.4上进行.小分子的最低能量化采用Chem Bio3D Ultra 12.0程序的MM94算法.分子对接采取半柔性对接, 即以蛋白作刚性处理, 配体可自由转动.在对接过程中, grid box的大小为60×60×60 grid points, grid spacing设置约为碳碳单键长度的四分之一0.375 Å, 设置蛋白P loop中心为活性位点中心.对接算法采用Lamarckian遗传算法, 每个化合物设置100个循环, 即寻找100个构象最优.其他为采用默认设置.计算的结果采用构象最多类聚, 其图像显示采pymol-0.99处理.

辅助材料(Supporting Information)  化合物5a5r1H NMR, 13C NMR和HREIMS图谱.这些材料可以免费从本刊网站(http://sioc-journal.cn/)上下载.

参考文献
[1] Jiang C.-S.; Liang L.-F.; Guo Y.-W. Acta Pharmacol. Sin. , 2012, 33 : 1217. DOI:10.1038/aps.2012.90
[2] Safavi M.; Foroumadi A.; Abdollahi M. Expert Opin. Drug Discovery , 2013, 8 : 1339. DOI:10.1517/17460441.2013.837883
[3] Miller B. R.; Nguyen H.; Hu C. J.; Lin C.; Nguyen Q. T. Am Health Drug Benefits , 2014, 7 : 452.
[4] Tamrakar A. K.; Maurya C. K.; Rai A. K. Expert Opin. Ther. Pat. , 2014, 24 : 1101. DOI:10.1517/13543776.2014.947268
[5] Feldhammer M.; Uetani N.; Miranda-Saavedra D.; Tremblay M. L. Crit. Rev. Biochem. Mol. Biol. , 2013, 48 : 430. DOI:10.3109/10409238.2013.819830
[6] Li Y.-J.; Shao X.; Gao L. X.; Jin K.; Sheng L.; Luo T.-C.; Yu Y.; Li J. Chin. J. Org. Chem. , 2013, 33 : 2178. (in Chinese)
( 李英俊, 邵昕, 高立信, 靳焜, 盛丽, 罗潼川, 于洋, 李佳, 有机化学 , 2013, 33 : 2178. DOI:10.6023/cjoc201304011 )
[7] Li Y.-F.; Liang L.-F.; Xiao W.; Liang J.-Y.; Guo Y.-W. Chin. J. Org. Chem. , 2013, 33 : 1157. (in Chinese)
( 李玉芬, 梁林富, 萧伟, 梁敬钰, 郭跃伟, 有机化学 , 2013, 33 : 1157. DOI:10.6023/cjoc201304044 )
[8] Zhao C.-Y.; Zhu T.-H.; Zhu W.-M. Chin. J. Org. Chem. , 2013, 33 : 1195. (in Chinese)
( 赵成英, 朱统汉, 朱伟明, 有机化学 , 2013, 33 : 1195. DOI:10.6023/cjoc201304039 )
[9] Chen W.; Hao H.-l.; Zhang C.-l.; Shen Y.-M. Chin. J. Org. Chem. , 2014, 34 : 797. (in Chinese)
( 陈旺, 郝慧琳, 张晨露, 沈月毛, 有机化学 , 2014, 34 : 797. DOI:10.6023/cjoc201311030 )
[10] Zhou N.-N.; Shi Q.; Xie Z.-X. Chin. J. Org. Chem. , 2014, 34 : 1104. (in Chinese)
( 周妮妮, 史倩, 谢志翔, 有机化学 , 2014, 34 : 1104. DOI:10.6023/cjoc201403025 )
[11] Wang S.; Luan H.; Wu C.-M.; Guo P. Int. J. Pharm. Res. , 2014, 41 : 537. (in Chinese)
( 王帅, 栾虹, 吴崇明, 郭鹏, 国际药学研究杂志 , 2014, 41 : 537. )
[12] Xue D.-Q.; Wang J.-J.; Liu H.-L.; Guo Y.-W. Chin. J. Nat. Med. , 2009, 7 : 150. (in Chinese)
( 薛多清, 王俊杰, 刘海利, 郭跃伟, 中国天然药物 , 2009, 7 : 150. DOI:10.3724/SP.J.1009.2009.00150 )
[13] Carbone M.; Li Y.; Irace C.; Mollo E.; Castelluccio F.; Pascale A. D.; Cimino G.; Santamaria R.; Guo Y.-W.; Gavagnin M. Org. Lett. , 2011, 13 : 2516. DOI:10.1021/ol200234r
[14] Lin H. Y.; Snider B. B. J. Org. Chem. , 2012, 77 : 4832. DOI:10.1021/jo300449n
[15] Brogan J. T.; Stoops S. L.; Lindsley C. W. ACS Chem. Neurosci. , 2012, 3 : 658. DOI:10.1021/cn300064r
[16] Manzo E.; Pagano D.; Carbone M.; Ciavatta M. L.; Gavagnin M. ARKIVOC (Gainesville, FL U. S.) , 2012, 9 : 220.
[17] Buchanan J. C.; Petersen B. P.; Chamberland S. Tetrahedron Lett. , 2013, 54 : 6002. DOI:10.1016/j.tetlet.2013.08.063
[18] Vitale R. M.; Gatti M.; Carbone M.; Barbieri F.; Felicita V.; Gavagnin M.; Florio T.; Amodeo P. ACS Chem. Biol. , 2013, 8 : 2762. DOI:10.1021/cb400521b
[19] Jiang C.-S.; Fu Y.; Zhang L.; Gong J.-X.; Wang Z.-Z.; Xiao W.; Zhang H.-Y.; Guo Y.-W. Bioorg. Med. Chem. Lett. , 2015, 25 : 216. DOI:10.1016/j.bmcl.2014.11.068
[20] Athare C. L.; Upasani C. D. Int. J. Pharm. Phytopharm. Res. , 2014, 3 : 383.
[21] Chen Z.-H.; Sun L.-P.; Zhang W.; Shen Q.; Gao L.-X.; Li -J.; Piao H.-R. Bull. Korean Chem. Soc. , 2012, 33 : 1505. DOI:10.5012/bkcs.2012.33.5.1505
[22] Rakse M.; Karthikeyan C.; Deora G. S.; Moorthy N. S.; Rathore V.; Rawat A. K.; Srivastava A. K.; Trivedi P. Eur. J. Med. Chem. , 2013, 70 : 469. DOI:10.1016/j.ejmech.2013.10.030
[23] He Y.-W.; Cao L.-H.; Zhang J.-B.; Wang D.-Z.; Aisa H. A. Carbohydr. Res. , 2011, 346 : 551. DOI:10.1016/j.carres.2011.01.010
[24] Hansen S. K.; Cancilla M. T.; Shiau T. P.; Kung J.; Chen T.; Erlanson D. A. Biochemistry , 2005, 44 : 7704. DOI:10.1021/bi047417s
[25] Dabiri M.; Salehi P.; Baghbanzadeha M.; Bahramnejad M. Tetrahedron Lett. , 2006, 47 : 6983. DOI:10.1016/j.tetlet.2006.07.127
[26] Zhang K.; Wang P.; Xuan L.-N.; Fu X.-Y.; Jing F.; Li S.; Liu Y.-M.; Chen B.-Q. Bioorg. Med. Chem. Lett. , 2014, 54 : 5154.
[27] El-Din M. M. G.; El-Gamal M. I.; Abdel-Maksoud M. S.; Yoo K. H.; Oh C. H. Eur. J. Med. Chem. , 2015, 90 : 45. DOI:10.1016/j.ejmech.2014.11.011
[28] Zhang M. Z.; Mulholland N.; Beattie D.; Irwin D.; Gu Y. C.; Chen Q.; Yang G. F.; Clough J. Eur. J. Med. Chem. , 2013, 63 : 22. DOI:10.1016/j.ejmech.2013.01.038
[29] Li P.; Shi L.; Gao M.-N.; Yang X.; Xue W.; Jin L. H.; Hu D.-Y.; Song B.-A. Bioorg. Med. Chem. Lett. , 2015, 25 : 481. DOI:10.1016/j.bmcl.2014.12.038
[30] Misra U.; Hitkari A.; Saxena A. K.; Gurtu S.; Shanker K. Eur. J. Med. Chem. , 1996, 31 : 629. DOI:10.1016/0223-5234(96)89559-6
[31] de la Fuente Revenga M.; Fernandez-Saez N.; Herrera-Arozamena C.; Morales-García J. A.; Alonso-Gil S.; Pérez-Castillo A.; Caignard D. H.; Rivara S.; Rodríguez-Franco M. I. J. Med. Chem. , 2015, 58 : 4998. DOI:10.1021/acs.jmedchem.5b00245
[32] Chu Y.; Lu D.; Xu M.-X. Chin. J. Med. Chem. , 2011, 39 : 37. (in Chinese)
( 楚勇, 吕丁, 徐鸣夏, 中国药物化学杂志 , 2011, 39 : 37. )
[33] Rapolu S.; Alla M.; Bommena V. R.; Murthy R.; Jain N.; Bommareddy V. R.; Bommineni M. R. Eur. J. Med. Chem. , 2013, 66 : 81.