催化学报  2015, Vol. 36 Issue (6): 880-888   PDF (1128 KB)    
扩展功能
加入收藏夹
复制引文信息
加入引用管理器
Email Alert
RSS
本文作者相关文章
陈绪川
董梅
牛宪军
王凯
陈刚
樊卫斌
王建国
秦张峰
Influence of Zn species in HZSM-5 on ethylene aromatization
Xuchuan Chena,b, Mei Donga , Xianjun Niua,b, Kai Wanga,b, Gang Chena,b, Weibin Fana , Jianguo Wanga, Zhangfeng Qina    
a State Key Laboratory of Coal Conversion, Institute of Coal Chemistry, Chinese Academy of Sciences, Taiyuan 030001, Shanxi China;
b University of Chinese Academy of Sciences, Beijing 100049, China
Abstract: Zn-containing HZSM-5 zeolites with different Zn contents were prepared by ion exchange and physically mixing methods, and were characterized by X-ray diffraction, scanning electron microscope, N2 adsorption-desorption, NH3 temperature programmed desorption, pyridine adsorption infrared spectroscopy, ultraviolet-visible diffuse reflectance spectroscopy and X-ray photoelectron spectroscopy. Zn species introduced into HZSM-5 were identified as ZnO crystals, ZnO clusters in the zeolite channel and Zn(OH)+ species formed from a solid state reaction between dispersed ZnO and the protons in the zeolite. The preparation method has a significant influence on the distribution of the Zn species. The catalytic behavior of Zn-containing HZSM-5 with different Zn contents showed that the Zn(OH)+ and ZnO species were responsible for aromatic formation from ethylene.
© 2015, Dalian Institute of Chemical Physics, Chinese Academy of Sciences.
Published by Elsevier B.V. All rights reserved.
Key words: Ethylene     Aromatization     Zn species     HZSM-5     Dehydrogenation    
Zn物种对乙烯芳构化反应过程的影响
陈绪川a,b, 董梅a , 牛宪军a,b, 王凯a,b, 陈刚a,b, 樊卫斌a, 王建国a, 秦张峰a     
a 中国科学院山西煤炭化学研究所煤转化国家重点实验室, 山西太原030001;
b 中国科学院大学, 北京100049
摘要:分别采用离子交换法和物理混合法制备了不同Zn含量的ZSM-5分子筛催化剂, 采用X射线衍射、扫描电子显微镜、N2物理吸附、氨程序升温脱附、吡啶红外吸附光谱、紫外-可见光谱和X射线光电子能谱等技术研究了催化剂的结构、表面性质及Zn物种种类, 探讨了Zn物种存在状态对乙烯芳构化反应的影响. 结果表明, 引入到HZSM-5中的Zn物种包括三种状态, 即ZnO晶体、存在于分子筛孔道中的ZnO团簇以及Zn和分子筛质子酸中心通过固相反应生成的Zn(OH)+物种; 不同的制备方法显著影响Zn物种的分布. 比较了制备方法和Zn含量对ZSM-5分子筛催化剂在乙烯芳构化反应中性能的影响, 发现Zn(OH)+物种是芳构化的主要活性中心, 同时ZnO物种的存在有助于乙烯制芳烃反应的发生.
关键词乙烯     芳构化     锌物种     HZSM-5     脱氢作用    

1. Introduction

Aromatic hydrocarbons are the foundation of organic chemicals, and are widely used in the production of drugs, fuel, and polymers. Aromatic hydrocarbons are mainly obtained from oil and coal tar industrially by catalytic reforming and aromatic extraction processes. With the growing shortage of oil resources, researchers are developing new routes for aromatic production. The aromatization of the dry gas (methane, ethane, ethylene) from catalytic cracking and liquid petroleum gases (propane, propylene, and C4 hydrocarbons) have received wide attention [1, 2, 3, 4]. However, research on ethylene aromatization is limited [5, 6].

In the aromatization reaction, Zn-containing HZSM-5 catalysts are widely used because of their good dehydrogenation performance due to the presence of Zn species and the high selectivity to aromatics due to the proper acid distribution and unique pore structure of HZSM-5 [7, 8, 9, 10, 11, 12, 13]. The state and role of the Zn species in HZSM-5 for the aromatization reaction are still unclear. Berndt et al. [14] used temperature programmed surface reaction with CO as the probe molecule (TPSR/CO) to distinguish between Zn2+ ions and oxygenated Zn species. Kolyagin et al. [15] studied Zn/HZSM-5 prepared by impregnation, and concluded that there were three kinds of Zn species as small ZnO crystals, ZnO clusters and Zn ions (Zn2+and Zn(OH)+). Biscardi et al. [16] found that the Zn(OH)+ species was unstable and reacted with acidic groups (-OH) to form other Zn species. Yakerson et al. [17] obtained similar results using pyridine adsorption, and suggested that one Zn cation could substitute two protons of an OH group and reacted with two Al sites. Most of the research was focused on Zn ions, while few researchers paid attention on the ZnO species. In this paper, ZnO was introduced into HZSM-5 zeolite by a physically mixing method and compared with the Zn species introduced by ion exchange with respect to the acidity, pore structure, state of Zn, and catalytic performance in ethylene aromatization. It was concluded that the ZnO species had both a dehydrogenation and hydrogenation function, and it influenced the reaction by modulating the amount of Brönsted acid sites.

2. Experimental
2.1. Catalyst preparation

ZSM-5 was synthesized from silica sol (40 wt% SiO2, 0.4 wt% Na2O), NaAlO2 (Al2O3, 41.0 wt%), tetrapropyl ammonium hydroxide (TPAOH, 48.7 wt% in aqueous solution) and deionized water with the molar composition of SiO2:0.014Al2O3: 0.033NaO2:0.15TPAOH:30H2O. In the synthesis procedure, 0.2 wt% silicalite-1 seed prepared by following the procedure described in Ref. [18] was added to the above gel to get samples with a uniform particle size. The crystallization was conducted at 170 °C for 2 d in a teflon-lined stainless steel autoclave under rotation (15 r/min). The solid products were recovered by centrifugation, washed, dried at 100 °C overnight, and calcined at 560 °C for 10 h in air to remove the template. The HZSM-5 zeolite in the hydrogen form was obtained by ion exchange with aqueous NH4NO3 solution (1 mol/L, m(liquid)/m(solid) = 40) at 80 °C for 4 h and subsequent calcination at 560 °C for 10 h in air.

Zn(IE)/HZSM-5 samples prepared by ion exchange (IE) were obtained by stirring NH4-ZSM-5 in Zn(NO3)2 solution (0.03 mol/L, m(liquid)/m(solid) = 60) at 80 °C, followed by drying at 100 °C for 6 h and calcination at 560 °C for 5 h. By controlling the exchange time, four Zn(IE)/HZSM-5 samples were obtained and denoted as IE-1, IE-2, IE-3, and IE-4, with Zn content of 0.43%, 0.74%, 1.22%, and 1.42%, respectively, as determined by inductively coupled plasma atomic emission spectroscopy (ICP-AES).

Zn(PM)/HZSM-5 samples were prepared by mechanically grinding a physical mixture (PM) of HZSM-5 and ZnO powder and calcination at 560 °C for 10 h. Five Zn(PM)/HZSM-5 samples were acquired and denoted as PM-1, PM-2, PM-3, PM-4, and PM-5, with Zn content of 0.2%, 0.43%, 0.74%, 1.22%, and 2.0%, respectively.

2.2. Catalyst characterization

X-ray diffraction (XRD) patterns were recorded on a Rigaku MiniFlex II desktop X-ray diffractometer (λ = 154.06 pm, 30 kV, 15 mA) using Cu Kα radiation. The BET surface area was calculated from the N2 adsorption-desorption isotherm measured at -195.8 °C on a Micromeritics TriStar II. Prior to the measurement, the sample was outgassed at 300 °C for 8 h. The actual amounts of Si, Al and Zn in the sample were determined by ICP-AES (Autoscan16, TJA). The crystal morphology and size were obtained with a field emission scanning electron microscope (FESEM, JSM 7001-F, JEOL, Japan). The acidity was measured by the temperature programmed desorption of NH3 (NH3-TPD) with a Micromeritics AutoChem II 2920 chemisorption analyzer equipped with a thermal conductivity detector (TCD). Approximately 100 mg of zeolite sample was pretreated in Ar stream (30 ml/min) at 550 °C for 2 h and then cooled down to 120 °C. The adsorption of NH3 on the zeolite sample was achieved by introducing gaseous NH3 (5 vol% in Ar, 30 ml/min) into the sample tube for 30 min. The catalyst was flushed with Ar (30 ml/min) at 120 °C for 2 h to remove physisorbed NH3 from the catalyst surface. The TPD profile was recorded from 120 to 550 °C at a heating rate of 10 °C/min. The quantity of strong, medium and weak acid sites was measured by the amount of NH3 desorbed at 300-550, 200-300 and 100-200 °C, respectively. Fourier transform infrared (FT-IR ) spectra were measured on a Bruker Tensor 27 FT-IR spectrometer. The zeolite sample was first pressed into a self-supported wafer. Prior to the measurement, the sample cell was evacuated to 0.01 Pa at 450 °C for 2 h. The IR spectra were then recorded at room temperature. To get the FT-IR spectra for pyridine adsorption (Py-IR), pyridine vapor was introduced into the cell at room temperature for 1 h. The spectra were then recorded after evacuation at 150 °C for 1 h. The concentrations of the different acid sites were calculated by following the procedures reported by Madeira and coworkers [19]. X-ray photoelectron spectroscopy (XPS) was recorded on an AXIS ULTRA DLD spectrometer with an Al Kα radiation source ( = 1486.6 eV). Zn 2p spectra were measured in the range of 1013-1063 eV.

2.3. Catalyst tests

The catalytic tests were performed in a continuous flow fixed bed reactor with an inner diameter of 10 mm. The catalyst samples were pressed into wafers and then crushed and sieved to 20-40 mesh. In a typical run, 1.0 g of the catalyst was loaded and then activated at 480 °C for 0.5 h under N2 (30 ml/min) before starting reaction. After that, ethylene was pumped into the reactor with a weight hourly space velocity (WHSV) of 0.9 h-1. The reaction was carried out at 480 °C and 0.1 MPa. The gas and liquid products were separated in a cold trap. The gas products were online analyzed by an Aglient 7890A gas chromatograph equipped with one TCD and two FID detectors and two capillary columns (J*W 127-7031, 30 m × 530 µm × 0.25 µm; Aglient 19095P-S25, 50 m × 530 µm × 15 µm). The liquid organic phase was analyzed by another Aglient 7890A gas chromatograph equipped with a FID detector and a capillary column (Aglient 19091S-001, 50 m × 200 µm × 0.5 µm).

3. Results and discussion
3.1. Textural properties

The textural properties of HZSM-5 and the Zn-containing HZSM-5 zeolites are summarized in Table 1. For the Zn-containing samples, the surface Zn contents determined by XPS were consistent with the bulk values measured by ICP-AES at low Zn loadings, but more Zn species was concentrated on the zeolite surface when the Zn content was higher than 0.74 wt% on the samples prepared by ion exchange and 0.43 wt% on the samples prepared by physically mixing. At the same Zn amount, the surface Zn content on Zn(PM)/HZSM-5 was higher than that on Zn(IE)/HZSM-5, suggesting that more Zn was admitted into the zeolite channels when Zn was introduced by ion exchange.

Table 1
Textural properties of HZSM-5 and Zn-containing HZSM-5 zeolites.

The XRD patterns of the parent HZSM-5 and Zn-containing HZSM-5 samples are illustrated in Fig. 1. All the samples exhibited the same characteristic diffraction peaks of the MFI structure, suggesting that the presence of Zn species has little influence on the framework structure of the parent HZSM-5. However, a slight decrease of the crystallinity with the introduction of Zn can be found in Table 1, which was ascribed to the mixing of the Zn species with HZSM-5 zeolite rather than a detriment of the crystalline framework. Furthermore, the diffraction peaks for ZnO at 36.3° and 31.8° can be seen on Zn(PM)/HZSM-5 samples with Zn contents higher than 0.74 wt%, which suggested the presence of crystalline ZnO in the samples prepared by the physically mixing method.

Fig. 1. XRD patterns of HZSM-5, Zn(IE)/HZSM-5 and Zn(PM)/HZSM-5 with different Zn contents. (1) HZSM-5; (2) IE-1; (3) IE-2; (4) IE-3; (5) IE-4; (6) PM-1; (7) PM-2; (8) PM-3; (9) PM-4; (10) PM-5.

Figure 2 shows the SEM images of HZSM-5 and the Zn-containing HZSM-5. The introduction of Zn by ion exchange and physically mixing has little effect on the particle size and morphology of the parent HZSM-5 with the particle size of 1 µm. On the other hand, ZnO crystals with particle sizes of 100 - 200 nm were observed in the SEM images of the Zn(PM)/HZSM-5 samples with high Zn contents, consistent with the XRD results.

Fig. 2. SEM images of HZSM-5, Zn(IE)/HZSM-5 and Zn(PM)/HZSM-5 with different Zn contents. (a) HZSM-5; (b) IE-1; (c) IE-2; (d) IE-3; (e) IE-4; (f) PM-1; (g) PM-2; (h) PM-3; (i) PM-4; (j) PM-5.

The surface area and microporous volume of HZSM-5 decreased with the introduction of Zn species by both the ion exchange and physically mixing methods, as shown in Table 1. This suggested that the Zn species were located in the porous channels, which reduced the accessibility of the micropores of the zeolite. On the other hand, the mesoporous volumes of the Zn-containing HZSM-5 samples were much higher than the parent HZSM-5, which was related to the stacked nano-particles and inter-crystal voids. Ni et al. [20] found similar inter-crystal voids when synthesizing nano-sized H[Zn, Al]ZSM-5, and suggested that these inter-crystal voids were similar to intra-crystalline mesopores, and that they provided enough space to store coke to prevent the entrance of the micropores from being blocked, which would effectively prolong the lifetime in the methanol-to-aromatic (MTA) reaction.

3.2. Acid properties

The concentration and distribution of the acid sites in HZSM-5 and Zn-containing HZSM-5 are summarized in Table 2. Generally, the NH3-TPD profile of HZSM-5 zeolite has two desorption peaks, i.e.,a high temperature peak (above 300 °C) and low temperature peak (below 200 °C), which were assigned to NH3 adsorbed on strong and weak acid sites, respectively. In this work, the distribution of the acid sites was determined by integrating the NH3-TPD profiles in the different temperature intervals, as listed in Table 2. The quantities of strong, medium, and weak acid sites were measured by the amounts of NH3 desorbed at 300-550, 200-300, and 120-200 °C, respectively. With the introduction of Zn species and the change of Zn amounts in HZSM-5, the distribution of the acid sites and the acidic strength changed significantly (Table 2). It is interesting to note that with the introduction of Zn species, new acid sites of medium strength appeared at the expense of weak and strong acid sites. The amount of the medium acid sites increased with the Zn content, suggesting that this type of acid site can be ascribed to an interaction between the Zn species and intrinsic acid sites in the parent HZSM-5 zeolite. On the other hand, the method of Zn introduction has a significant influence on the acid amount. The presence of Zn species introduced by ion exch ange has little influence on the acid quantity as shown in Table 2, while the acid amount of the Zn(PM)/HZSM-5 samples was reduced considerably with increased Zn content, which may be ascribed to that the presence of ZnO crystals covered the acid sites.

Table 2
Acidic properties of HZSM-5 and Zn-containing HZSM-5 zeolites.

Chemisorbed pyridine on Brönsted acid sites and Lewis acid sites are characteristic by Py-IR absorption bands at 1545 and 1454 cm-1 (Fig. 3), respectively. The different distribution of the Lewis and Brönsted acid sites with the introduction of Zn by the different methods pointed to the generation of new Lewis acid sites with the consumption of Brönsted acid sites (Table 2). With the increase of Zn content in the samples obtained by the different methods, the amount of Brönsted acid sites decreased and the amount of Lewis acid sites increased. As a consequence, the decrease of the B/L ratio with the increase of Zn content confirmed that an interaction between the Brönsted acid sites and Zn ions occurred. On comparing the Zn-containing samples prepared by the different methods, it was found that a much higher B/L ratio was obtained on the Zn(PM)/HZSM-5 zeolite obtained from physically mixing.

Fig. 3. Py-IR spectra of Zn-containing HZSM-5 zeolites prepared by ion exchange (a) and physically mixing (b). (1) HZSM-5; (2) IE-1; (3) IE-2; (4) IE-3; (5) IE-4; (6) PM-1; (7) PM-2; (8) PM-3; (9) PM-4; (10) PM-5.

The FT-IR spectra in the OH stretching region (Fig. 4) suggested that HZSM-5 contained Brönsted acid groups (3610 cm-1) associated with the framework aluminum [Si(OH)Al], isolated external silanol groups (3742 cm-1), free internal silanol groups (3728 cm-1), and delocalized hydrogen-bonded groups (3500 cm-1) of lattice defects. On the samples Zn(IE)/HZSM-5 prepared by ion exchange, the introduction of Zn species has little effect on the OH groups associated with 3500 and 3742 cm-1, the silanol groups characteristic by 3728 cm-1 were decreased slightly, which was attributed to the interaction between the internal silanol groups and Zn(OH)+ cations located in cationic positions of the zeolites [21], and the Brönsted acid groups (3610 cm-1) were decreased obviously, suggesting the consumption of zeolite protons by ion exchange with Zn2+. However, on the Zn(PM)/HZSM-5 samples prepared by physically mixing, the interaction between the Zn species with the hydroxyl groups differed from that of Zn(IE)/HZSM-5. Although a similar interaction between zeolite protons or internal silanol groups with Zn species was also found to a much smaller extent, a more pronounced change centered at 3666 cm-1 was observed. This was the result of the formation of external Zn-OH groups on ZnO clusters [22]. This result confirmed that the ZnO species were mainly located on the surface of the zeolite for the Zn(PM)/HZSM-5 zeolites. Niu et al. [23] suggested that Zn-Lewis acid species Zn(OH)+ was dominant in the Zn (IE)/HZSM-5 zeolite, and ZnO species was the main species on Zn-containing samples prepared by the physically mixing method.

Fig. 4. FT-IR spectra of OH groups on HZSM-5 and Zn-containing HZSM-5 zeolites. (1) HZSM-5; (2) IE-1; (3) IE-2; (4) IE-3; (5) IE-4; (6) PM-1; (7) PM-2; (8) PM-3; (9) PM-4; (10) PM-5.

3.3. State of Zn in HZSM-5

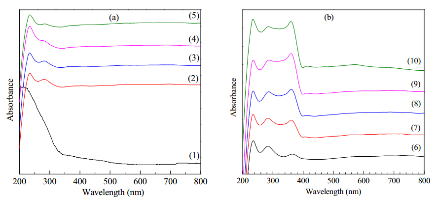
Figure 5(a) and Figure 5(b) depict the UV-Vis DRS spectra of the Zn-containing HZSM-5 zeolites prepared by ion exchange and physically mixing, respectively. Three main absorption bands can be identified at 368, 275, and 220 nm in the Zn-containing samples. The band at 368 nm corresponding to the band-gap width of macrocrystalline ZnO [24] appeared in the spectra of Zn(PM)/HZSM-5 prepared by physically mixing. The band at 275 nm attributed to ZnO cluster with a diameter of 10 Å [25, 26] was observed in all the Zn-containing samples. This indicated the presence of ZnO clusters located in the channels of these zeolites. On the other hand, the absorbance at 220 or 195 nm was evident in all the Zn-containing HZSM-5 zeolites, which was ascribed to the Zn species strongly interacting with the parent HZSM-5.

Fig. 5. UV-vis DRS spectra of Zn-containing HZSM-5 zeolites prepared by ion exchange (a) and physically mixing (b). (1) HZSM-5; (2) IE-1; (3) IE-2; (4) IE-3; (5) IE-4; (6) PM-1; (7) PM-2; (8) PM-3; (9) PM-4; (10) PM-5.

The Zn 2p XPS spectra of the Zn-containing HZSM-5 zeolites are illustrated in Fig. 6. By curve fitting the Zn 2p3/2 XPS spectra, two Zn species were discriminated in the Zn-containing HZSM-5 zeolites with binding energies at 1017.5 and 1022.8 eV. As pure ZnO shows a peak at 1021.8 eV, it is reasonable to attribute the binding energy peak at 1022.8 eV to ZnO species. On the other hand, the peak at 1017.50 eV was attributed to another Zn2+ species that reacted with the zeolite framework [27]. Based on the evidence provided by UV-Vis DRS and XPS, it can be summarized that on the Zn(PM)/HZSM-5 samples prepared by physically mixing, the majority of the Zn species existed as ZnO crystals present on the surface of the zeolite, and ZnO clusters inside the channel. On the Zn(IE)/HZSM-5 samples, the proportion of ZnO species was suppressed considerably, and the Zn species were mainly inside the pore system and interacted with the acid sites by a much stronger interaction.

Fig. 6. XPS spectra of Zn 2p of Zn-containing HZSM-5 zeolites. (1) IE-1; (2) IE-2; (3) IE-3; (4) IE-4; (5) PM-1; (6) PM-2; (7) PM-3; (8) PM-4; (9) PM-5.

3.4. Catalytic performance of Zn-containing HZSM-5 in ethylene aromatization

The ethylene conversion and product distribution with the HZSM-5 catalyst and Zn-containing HZSM-5 catalysts are shown in Table 3. The introduction of Zn species into HZSM-5 zeolite by ion exchange or physically mixing improved the ethylene conversion and aromatic formation considerably. The variation of selectivity to aromatics, light hydrocarbons, and H2 with the increase of Zn content showed the same trend with the samples prepared by the different methods. On the catalysts with a low Zn loading, i.e. IE-1 and PM-1 with the lowest Zn loading of 0.43 and 0.2 wt%, respectively, the presence of Zn promoted the production of aromatics and methane significantly, while the formation of propane, butane and heavier hydrocarbons was inhibited. It is interesting to note that the amount of increased aromatics was formed at the expense of C3, C4, and C4+ hydrocarbons on the IE-1 and PM-1 catalysts as compared with the parent HZSM-5 catalyst. This means that Zn(OH)+ species, the main Zn species in IE-1 and PM-1 catalysts, accelerated the aromatization reaction by acting as dehydrogenation active sites for light alkanes, and thus promoted the production of aromatics. On the other hand, the decrease in Brönsted acid amount (Table 2) of the IE-1 and PM-1 catalysts depressed the hydrogen transfer reaction, and contributed to the increased selectivity of aromatics as well.

Table 3
Product selectivity of ethylene to aromatics over HZSM-5 and Zn-containing HZSM-5 zeolite catalysts.

When the Zn content was increased to 0.74 and 0.43 wt% on the IE-2 and PM-2 catalysts, respectively, the selectivity to aromatics reached a maximum value of 64%, accompanied with the further suppressing of C3, C4, and C4+ hydrocarbons, and further promotion of the formation of methane and ethane. Hence, the dehydrogenation of C3+ hydrocarbons on the IE-2 and PM-2 catalysts resulted in the increase of aromatics and also methane and ethane. However, on the catalysts IE-3, IE-4, PM-4, and PM-5, which have high Zn contents, the selectivity to aromatics decreased, while ethane production increased significantly with the decrease of hydrogen, suggesting that the ethylene hydrogenation reaction became competitive on these catalysts. Because these catalysts have the same acid amount and acid site distribution, it is reasonable to deduce that ZnO species, which were dominant in these samples as characterized by XPS and were located in the channel or surface of the zeolite, were responsible for ethylene hydrogenation.

By comparing the IE-1 and PM-2 catalysts which have comparable Zn contents, it was seen that the PM-2 catalyst showed the better catalytic property in improving ethylene aromatization, accelerating the formation of methane and ethane, and suppressing the production of paraffins higher than C3. Considering the comparable amount of Brönsted acid sites (Table 2) with catalyst IE-1, the better aromatization capability of catalyst PM-2 may be ascribed to the different Zn species distribution. Although less Zn(OH)+ existed on PM-2 than IE-1, the presence of ZnO crystals, suggested by the Py-IR, NH3-TPD, UV-Vis DRS and XPS results, acted as active sites to promote the dehydrogenation of light alkanes and thus the formation of aromatics.

The above results showed that on Zn-containing HZSM-5 catalysts, acid sites benefited the oligomerization of ethylene to form (CH2)n (n = 6, 7, 8) species (Reaction 1 in Scheme 1) [28], while ZnO species favor the hydrogenation reaction of ethylene and dehydrogenation of light alkanes. In this process, the Brönsted acid sites also facilitate the cracking reaction (Reaction 2) of (CH2)n species to form C2-C4 hydrocarbons [29]. Aromatic hydrocarbons are then generated from (CH2)n species by two routes: in one, hydrogen transfer reaction occurs on Brönsted acid sites and aromatics and alkanes are produced (Reaction 3) [19, 30], and in the other, dehydrogenation of light alkanes proceeds on the active sites of Zn(OH)+ or ZnO and aromatics are formed accompanied with H2 production (Reaction 4). The latter route is morefavorable for improving the aromatic selectivity and consuming more light alkanes without any consumption of olefins. Therefore, the aromatic production can be enhanced considerably with the synergy effect between the dehydrogenation species and Brönsted acid sites, which would have an optimal proportion to achieve the maximum selectivity to aromatics [29].

Scheme 1. Reaction routes for ethylene aromatization on Zn-containing HZSM-5.

In summary, the introduction of Zn to HZSM-5 greatly improved the aromatic selectivity for ethylene aromatization by two routes. Zn(OH)+ and ZnO species facilitate the dehydrogenation of (CH2)n and light alkanes, and thus promote the formation of aromatics. On the other hand, the interaction of Zn with the protons in the zeolite decreases the Brönsted acid sites, depresses the cracking and hydrogen transfer reactions of (CH2)n species, and hence decreases the selectivity to light alkanes. However, the presence of a large amount of ZnO crystals is adverse to the aromatization reaction from ethylene due to hydrogenation to form ethane.

4. Conclusions

The introduction of Zn species into HZSM-5 zeolite by ion exchange and physically mixing has significant influence on the textural properties, acidic properties and catalytic performance in ethylene aromatization. The Zn species were identified as ZnO crystals, ZnO clusters in the ZSM-5 channel and Zn(OH)+ species formed from a solid state reaction between dispersed ZnO and the proton in the zeolite. The preparation method has a significant influence on the distribution of the Zn species. The catalytic behavior of Zn-containing HZSM-5 in ethylene aromatization reaction showed that the aromatics selectivity was greatly enhanced with the introduction of Zn, which resulted in a synergy effect between dehydrogenation species and Brönsted acid sites. Zn(OH)+ species and ZnO species were responsible for aromatic formation from ethylene by acting as active sites for the dehydrogenation reaction. ZnO species were active for both dehydrogenation and hydrogenation and influenced the reaction mechanism by modulating the amount of Brönsted acid sites. The introduction of Zn into HZSM-5 zeolite in an optimal content is crucial for maximizing the aromatic selectivity.

References
[1] Liu H M, Li Y, Shen W J, Bao X H, Xu Y D. Catal Today, 2004, 93-95: 65
[2] Ai Sha N L H, Liu J X, He N, Guo H C. Chin J Catal (艾沙·努拉洪, 刘家旭, 贺宁, 郭洪臣. 催化学报), 2013, 34: 1262
[3] Song Y Q, Zhu X X, Xie S J, Wang Q X, Xu L Y. Catal Lett, 2004, 97: 31
[4] Song Y Q, Zhu X X, Xu L Y. Catal Comm, 2006, 7: 218
[5] Choudhary V R, Panjala D, Banerjee S, Kinage A K. Microporous Mesoporous Mater, 2001, 47: 253
[6] Choudhary V R, Banerjee S, Panjala D. J Catal, 2002, 205: 398
[7] Yakovlev A L, Shubin A A, Zhidomirov G M, Van Santen R A. Catal Lett, 2000, 70: 175
[8] Lubango L M, Scurrell M S. Appl Catal A, 2002, 235: 265
[9] Yin S F, Lin J, Yu Z W. Chin J Catal (尹双凤, 林洁, 于中伟. 催化学报), 2001, 22: 57
[10] Chen J, Zhang L, Kang H M, Ding F X. Chin J Catal (陈军, 张鎏, 康慧敏, 丁富新. 催化学报), 2001, 22: 229
[11] Ni Y M, Sun A M, Wu X L, Hu J L, Li T, Li G X. Chin J Chem Eng (倪友明, 孙爱明, 吴小岭, 胡江林, 李涛, 李光兴. 中国化学工程学报), 2011, 19: 439
[12] Xin Y B, Qi P Y, Duan X P, Lin H Q, Yuan Y Z. Catal Lett, 2013, 143: 798
[13] Chen J, Zhang L, Kang H M, Ding F X. Acta Petrol Sin (Petrol Process Section (陈军, 张鎏, 康慧敏, 丁富新. 石油学报石油加工), 2000, 16(5): 8
[14] Berndt H, Lietz G, Vöiter J. Appl Catal A, 1996, 146: 365
[15] Kolyagin Y G, Ordomsky V V, Khimyak Y Z, Rebrov A I, Fajula F, Ivanova I I, J Catal, 2006, 238: 122
[16] Biscardi J A, Meitzner G D, Iglesia E. J Catal, 1998, 179: 192
[17] Yakerson V I, Vasina T V, Lafer L I, Sytnyk V P, Dykh G L, Mokhov A V, Bragin O V, Minachev K M. Catal Lett, 1989, 3: 339
[18] Li Q H, Mihailova B, Creaser D, Sterte J. Microporous Mesoporous Mater, 2000, 40: 53
[19] Maderia F F, Tayeb K B, Pinard L, Vezin H, Maury S, Cadran N. Appl Catal A, 2012, 443-444: 171
[20] Ni Y M, Sun A M, Wu X L, Hai G L, Hu J L, Li T, Li G X. Microporous Mesoporous Mater, 2011, 143: 435
[21] El-Malki El-M, Van Santen R A, Sachtler W M H, J Phys Chem B, 1999, 103: 4611
[22] Kolyagin Y G, Ordomsky V V, Khimyak Y Z, Rebrov A I, Fajula F, Ivanova I I, J Catal, 2006, 238: 122
[23] Niu X J, Gao J, Miao Q, Dong M, Wang G F, Fan W B, Qin Z F, Wang J G. Microporous Mesoporous Mater, 2014, 197: 252
[24] Bordiga S, Lamberti C, Ricchiardi G, Regli L, Bonino F, Damin A, Lillerud K P, Bjorgen M, Zecchina A. Chem Commun, 2004, 20: 2300
[25] Haase M, Weller H, Henglein A. J Phys Chem, 1988, 92: 482
[26] Liu J X, Ai Sha N L H, He N, Liu G D, Liang C C, Zhang X F, Guo H C. Chem Eng J, 2013, 218: 1
[27] Tholkappiyan R, Vishista K. Physical B, 2014, 448: 177
[28] Qiu P, Lunsford J H, Rosynek M P. Catal Lett, 1998, 52: 37
[29] Bi Y, Wang Y L, Chen X, Yu Z X, Xu L. Chin J Catal (毕怡, 王莹利, 陈欣, 于政锡, 许磊. 催化学报), 2014, 35: 1740
[30] Choudhary V R, Panjala D, Banerjee S. Appl Catal A, 2002, 231: 243