催化学报  2015, Vol. 36 Issue (6): 845-854   PDF (809 KB)    
扩展功能
加入收藏夹
复制引文信息
加入引用管理器
Email Alert
RSS
本文作者相关文章
Changjiu Xiaa,b
Long Jub
Yi Zhaob
Hongyi Xua
Bin Zhub
Feifei Gaoa
Min Linb
Zhenyu Daib
Xiaodong Zoua
Xingtian Shub
Heterogeneous oxidation of cyclohexanone catalyzed by TS-1: Combined experimental and DFT studies
Changjiu Xiaa,b, Long Jub, Yi Zhaob, Hongyi Xua, Bin Zhub, Feifei Gaoa, Min Linb , Zhenyu Daib, Xiaodong Zoua , Xingtian Shub    
a Department of Materials and Environmental Chemistry, Stockholm University, SE-106 91 Stockholm, Sweden;
b State Key Laboratory of Catalytic Materials and Reaction Engineering, Research Institute of Petroleum Processing, SINOPEC, Beijing100083, China
Abstract: The reaction mechanism of the oxidation of cyclohexanone catalyzed by titanium silicate zeolite TS-1 using aqueous H2O2 as the oxidant was investigated by combining density function theory (DFT) calculations with experimental studies. DFT calculations showed that H2O2 was adsorbed and activated at the tetrahedral Ti sites. By taking into account the adsorption energy, molecular size, steric hindrance and structural information, a reaction mechanism of Baeyer-Villiger oxidation catalyzed by TS-1 that involves the activation of H2O2 was proposed. Experimental studies showed that the major products of cyclohexanone oxidation by H2O2 catalyzed by a hollow TS-1 zeolite were ε-carprolactone, 6-hydroxyhexanoic acid, and adipic acid. These products were analyzed by GC-MS and were in good agreement with the proposed mechanism. Our studies showed that the reaction mechanism on TS-1 zeolite was different from that on Sn-beta zeolite.
© 2015, Dalian Institute of Chemical Physics, Chinese Academy of Sciences.
Published by Elsevier B.V. All rights reserved.
Key words: Titanium silicate     Zeolite     Cyclohexanone     Baeyer-Villiger oxidation     Hydrogen peroxide     Lewis acid catalysis    

1. Introduction

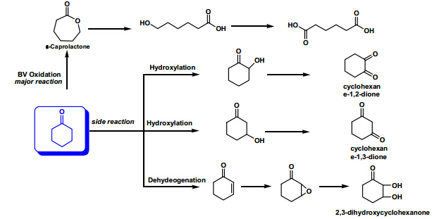
Baeyer-Villiger (BV) oxidation is an important organic reaction by which esters or lactones are produced from ketones. Esters and lactones are important organic intermediates in chemical processes [1, 2, 3, 4, 5, 6].For example, ε-carprolactone, which is widely used to synthesize polymers, is produced from cyclohexanone. Traditionally, peracids, e.g. perbenzoic acid, m-chloroperbenzoic acid and trifluoroperacetic acid, are used as oxidizing agents in BV oxidation reactions [7, 8, 9, 10, 11, 12]. Although the use of a peracid can lead to very high ketone conversion and fast product transformation, it is desirable to find cheaper and less polluting routes for BV oxidation for the preparation of lactones on the commercial scale [13, 14, 15, 16, 17, 18, 19].

Aqueous H2O2 solution (usually 30 wt%-50 wt%), which is environmentally-friendly, cheap and easy to handle, has been introduced as the oxidant to replace hazardous peracids. One drawback is that H2O2 is less effective than peracids in attacking nucleophiles in order to activate the carbonyl group of ketones. In previous works, much effort was devoted to develop both homogeneous and heterogeneous catalysts in order to improve the performance of BV oxidation of cyclohexanone [20, 21, 22, 23, 24].

Heterogeneous catalysts have an important advantage over homogeneous ones for industrial applications because it is easier to separate the catalyst from the reactants and products [25, 26, 27, 28]. There are two possible strategies to accelerate the heterogeneous BV oxidation of cyclohexanone using aqueous H2O2 solution (especially 30 wt%): (1) activate the carbonyl group of cyclohexanone with a Lewis acid catalyst to make the carbonyl C atom more easily attacked by the H2O2 molecule [29, 30, 31, 32]; (2) increase the nucleophilicity of H2O2 molecules by forming more nucleophilic M-OOH species (M represents transition metal ions, which can accept the lone electron pairs of O atoms in the H2O2 molecules by employing their empty 3d orbitals) [33, 34, 35, 36, 37, 38]. One excellent example is the Sn-beta zeolite catalyzed BV oxidation of cyclohexanone reported by Corma and coworkers, in which the lactone selectivity was close to 100% [22]. The Sn-beta zeolite has unique Lewis acid properties that make the carbonyl group more reactive to be attacked by H2O2 molecules. The Lewis acid site, especially in the form of Sn(SiO)3OH, can accept the lone electron pair from the cyclohexanone molecule, causing the electron cloud of the O atom in the carbonyl group to move towards the tetrahedral Sn atoms. As a consequence, the C atom in the carbonyl group becomes more easily attacked by H2O2 molecules.

In addition, it is well known that Ti-containing zeolites (in particular TS-1 zeolite) are good candidates to enhance nucleophilic attack by H2O2 molecules under moderate conditions, since the Ti atoms can accept the lone electron pairs of H2O2 by using its empty 3d orbitals to form a Ti-OOH species [39, 40, 41, 42]. The Ti-OOH species is much more reactive than H2O2, so nucleophilic attack of the C atom of the carbonyl group in cyclohexanone can be enhanced. Previous reports on BV oxidation of cyclohexanone catalyzed by TS-1 zeolite showed that many different products were formed in the absence of an organic solvent because ε-carprolactone was not stable and the Ti-OOH species could promote both the main BV oxidation and the side reactions simultaneously. Therefore, side products were obtained by consecutive ring opening and deep oxidation reactions.

There is no theoretical study of the mechanism of BV oxidation catalyzed by TS-1 zeolites using H2O2 as the oxidant. Here, we present a mechanistic study of the heterogeneous oxidation of cyclohexanone catalyzed by TS-1 zeolite using H2O2 as the oxidant based on density functional theory (DFT). We also performed catalytic experiments using a hollow TS-1 (HTS-1) zeolite [43, 44, 45] as the catalyst for the heterogeneous oxidation of cyclohexanone, and showed that the results support the proposed reaction mechanism.

2. Experimental
2.1. Synthesis of HTS-1 zeolite and catalytic experiments of the heterogeneous oxidation of cyclohexanone

First, TS-1 zeolite was prepared according to a conventional method [41]. Tetraethyl orthosilicate and titanium butoxide were added dropwise to an aqueous tetrapropylammonium hydroxide (TPAOH) solution under continuous stirring. The molar ratio of TiO2:SiO2:TPAOH:H2O was 0.03:1.00:0.15:22.0. The mixture was heated at 80 °C for 4 h to remove the alcohols, then transferred into a Teflon-lined stainless steel autoclave, and heated at 170 °C for 72 h under autogeneous pressure. The product, TS-1 zeolite, was collected by filtration, washed with water, and calcined at 550 °C in air for 6 h.

HTS-1 zeolite was synthesized from calcined TS-1 zeolite in an aqueous TPAOH solution at 170 °C for 24 h according to the literature [43, 45]. X-ray powder diffraction (XRD) results showed well-crystallized TS-1 and HTS-1 powders with the MFI structure (Fig. S1). Transmission electron microscopy (TEM) images showed uniformly sized TS-1 and HTS-1 particles with mesopores present in the HTS-1 particles (Fig. S2). N2 adsorption isotherms showed that HTS-1 contained mesopores (Fig. S3). The BET surface areas and pore volumes of TS-1 and HTS-1 are given in Table S1.

The heterogeneous oxidation reaction of cyclohexanone using H2O2 as the oxidant was carried out in a 100-ml three-necked flask under magnetic stirring. A mixture of the HTS-1 zeolite catalyst (5 wt%) and 0.01 mol cyclohexanone, either without an organic solvent or in the presence of an organic solvent (acetone or methanol), was added into the flask and heated to the reaction temperature. Then H2O2 solution (0.01 mol, 30 wt%) was injected into the flask. After several hours (4 or 8 h), a small amount of the mixture was extracted from the flask and analyzed by an Agilent 6890 gas chromatograph with a 3-m HP-5 column and hydrogen flame ionization detector. The main products and side products were confirmed by gas chromatography-mass spectrometry (GC-MS) on an Agilent 5977A series GC/MSD system.

2.2. Molecular models and computational methods

TS-1 has the MFI zeolite topology with the unit cell parameters a = 20.13 Å, b = 19.95 Å, c = 13.42 Å [1].There are 12 symmetry-independent and a total of 96 T-atoms in a unit cell. It has a three dimensional 10-ring channel system with straight channels along the [010) direction and sinusoidal channels perpendicular to the straight channels. The highest Ti content in the TS-1 framework was 2.5 mol% (Si/Ti = 39), i.e., on average two Si atoms in each unit cell were substituted by Ti atoms. To understand the adsorption and activation of cyclohexanone and H2O2 at the active sites of TS-1 zeolite, a Ti(OSiH3)4 cluster model was used [1, 2, 3], as shown in Fig. 1. The cluster was cut from the TS-1 zeolite structure and contains one Ti atom at the T7 site connected to four -O-SiH3 fragments. The direction of each H atom in the cluster was set to be the same as that of the corresponding O atom in the TS-1 zeolite framework in order to use the actual structure for the active site. The adsorption and activation of cyclohexanone and H2O2 on the active Ti site were calculated by the Adsorption Locator module in the MS software. The transition states were analyzed by using the effective core potential method and the DMol3 module in the MS software which uses the LST/QST protocol and employs the GGA/PW91 technique. Furthermore, the Ti(OSiH3)3OH cluster was considered as the active site for BV catalytic oxidation in TS-1 zeolite [39]. Its geometry optimization of the reaction pathway was performed using the B3PW91 method in order to investigate the mechanism of the catalytic oxidation of cyclohexanone.

Fig. 1. Models of H2O2 (a) and cyclohexanone (b) adsorbed on the Ti(OSiH3)4 cluster. Some Ti···O and O···H distances are given.
3. Results and discussion
3.1. Study of the reaction mechanism of the heterogeneous oxidation of cyclohexanone catalyzed by TS-1
3.1.1. Competitive adsorption and activation of cyclohexanone and H2O2
Table 1
Charge and charge difference of the Ti(OSiH3)4 cluster and a H2O2 molecule before and after H2O2 adsorption.

Table 2
Charge and charge difference of the Ti(OSiH3)4 cluster and a cyclohexanone molecule before and after cyclohexanone adsorption.

Without taking steric hindrance effect into account, the calculated adsorption energy of the unconstrained Ti(OSiH3)4 cluster is -135.1 kJ/mol for cyclohexanone and -384.6 kJ/mol for H2O2. The Ti···O distance is 2.37 Å for cyclohexanone and 2.45 Å for H2O2. When a H2O2 molecule approaches the active site, there is an interaction between the lowest unoccupied molecular orbital (LUMO) of TS-1 and the highest occupied molecular orbital (HOMO) of the O atoms in the H2O2 molecules (Ti···Oa = 2.45 Å) (Fig. 1(a) and Fig. S6). Meanwhile, the H atoms in the H2O2 molecule can interact with the O atoms around the tetrahedral Ti species by forming intermolecular hydrogen bonds between O and H atoms (O1···Hb = 1.77 Å and O2···Ha = 2.36 Å) to minimize the adsorption energy. On the other hand, the cyclohexanone molecule has a three dimensional non-planar structure, while the H2O2 molecule has a two dimensional non-linear structure. This means that the steric hindrance of cyclohexanone inside the channel of TS-1 zeolite is stronger than that of H2O2 so that H2O2 molecules are more easily adsorbed at the tetrahedral Ti active sites than cyclohexanone molecules. The adsorption energy is thus lower for H2O2 than for cyclohexanone.

It is well known that TS-1 zeolite is an excellent catalyst to improve the nucleophilic attack capability of H2O2 in many catalytically oxidative reactions [1, 2]. When a H2O2 molecule is adsorbed on the tetrahedral Ti site (Fig. 1(a)), the charges on the Oa and Ob atoms are -0.46 and -0.48, respectively, which are more negative than those in the original H2O2 molecules (about -0.43), as given in Table 1. This indicates that the H2O2 molecules are activated, followed by formation of a Ti-OOH species.

When a cyclohexanone molecule is adsorbed at the active site of the Ti(OSiH3)4 cluster (Fig. 1(b)), it is activated by the donor-acceptor interaction of the lone electron pair between the LUMO of Ti active sites in the Ti(OSiH3)4 clusters and the HOMO of C=O groups of the cyclohexanone molecule (Fig. S6). The charge differences of the atoms in the Ti(OSiH3)4 cluster and cyclohexanone before and after chemical adsorption are listed in Table 2. The positive charge of C1 atom after chemical adsorption (~0.48) is higher than that before the adsorption process (~0.41) in the cyclohexanone molecule. In the meantime, the C=O bond length in the model after the adsorption is 1.23 Å, while that in an isolated cyclohexanone molecule is 1.21 Å. These data indicate that the C=O double bond becomes slightly weaker, and the cyclohexanone molecule is adsorbed at the active site. This suggests that the C1 atom of the carbonyl group is more reactive and will more easily accept the nucleophilic attack of H2O2 molecules compared to those in the original cyclohexanone molecule. Therefore, it was confirmed that both H2O2 and cyclohexanone molecules are adsorbed and activated at the tetrahedral Ti active sites by the donor-acceptor interaction between the Ti species in TS-1 zeolite and O atoms in H2O2 (Oa) and cyclohexanone (Oc) molecules.

3.1.2. Reaction mechanism of Baeyer-Villiger oxidation of cyclohexanone catalyzed by TS-1 zeolite

By taking into consideration the calculated geometric structures, transition states and energy profiles, a reaction mechanism of TS-1 catalyzed BV oxidation is shown in Fig. 2. At the initial stage of the reaction, a Ti-OH group is formed through the hydrolysis of a Ti-O-Si bond in TS-1 zeolite [52]. A H2O2 molecule is then adsorbed on TS-1 by hydrogen bonds between Ha, Hb of the H2O2 molecule and O4, O3 that are connected to the active Ti site (see R1 in Fig. 2) to minimize the total energy of the adsorption system. Then, the Ti-Oa bonds become shorter because of the strong interaction of acceptor-donator with the lone electron pairs, while the Ti-O4 and Oa-Ha bonds are broken (see TS1 in Fig. 2). The calculated activation energy, which is defined as the energy difference between reactants (R1) and transition state (TS1), for this process is 58.0 kJ/mol because the energies required to break the Ti-O4 and Ha-Oa bonds are high. After one H2O molecule has been removed, one Ti-Oa-Ob-Hb group is produced (see P1 in Fig. 2).

Fig. 2. Reaction pathway and calculated energy profiles of TS-1 zeolite catalyzed cyclohexanone BV oxidation. ‡ represents the transition state.

In step 2, a cyclohexanone molecule is adsorbed by forming hydrogen bonds between Hb in the Ti-Oa-Ob-Hb group and Oc in the carbonyl group of cyclohexanone (P2 in Fig. 2). The Ob atom in the Ti-Oa-Ob-Hb group, which has a stronger negative charge than those in the H2O2 molecule, can make a nucleophilic attack on the C1 atom in the carbonyl group and its neighboring C2 atom in the cyclohexanone to form the Criegee intermediate (TS2 in Fig. 2). The Oa-Ob and C1-C2 bonds break, a new C1-Ob bond forms, and the Ti-Oa bond becomes shorter. The activation energy for this process is very high (73.6 kJ/mol), which may be attributed to the breaking of the strong Oa-Ob covalent bond. Then the Ob-Hb bond breaks, and a C1-Ob bond forms (P3 in Fig. 2). We noticed that the C1=Oc bond still remains with a bond length of 1.24 Å. Finally, one ε-carprolactone molecule and a P4 complex are generated (see C in Fig. 2).

In step 3, the Ti (OSiH3)3OHactive species (see P5 in Fig. 2) is regenerated from P4 by the cleavage of the O2-Hb bond and the formation of the Oa-Hb bond, and then a BV oxidation cycle is completed. The activation energy barrier for step 3 is 47.3 kJ/mol, which is much lower than those for the first two processes. Thus, it is demonstrated that step 2, the rearrangement of the Criegee intermediate, is the rate determining step for the BV oxidation of cyclohexanone catalyzed by TS-1 zeolite.

It has been reported that Sn-beta catalyzed BV oxidation involves the preferential activation of the carbonyl group of cyclohexanone by using the tetrahedral Sn(OSiH3)3OH species as a Lewis acidic catalyst [32, 34]. In order to demonstrate that TS-1 zeolite does not follow this reaction route, we performed DFT calculations on this hypothetical route (Fig. 3). We first studied the model that a cyclohexanone molecule is adsorbed at the Ti site (see R1 in Fig. 3). The distance between the Ti and Oc atoms is very long (3.58 Å), which indicates that there is no interaction between the Ti and the carbonyl group of cyclohexanone. However, there is a strong interaction between Oc and the Ti-O4H group (the Oc···H length is 1.86 Å), which results in the low energy for the R1 complex (-76.8 kJ/mol). Therefore, the cyclohexanone molecule was only adsorbed, but not activated at the Ti site. We also studied a model where both the cyclohexanone and H2O2 molecules are adsorbed simultaneously at the Ti site and via the O4-H group (see R2 in Fig. 3). The distances of Ti···Oc, C1···Ob and C2···Ob are 3.61, 5.39, and 5.44 Å, respectively, which means that the cyclohexanone molecule is neither activated at the tetrahedral Ti active site nor adsorbed via H2O2 molecules. Furthermore, the formation reaction of the R2 complex is endothermic, and the corresponding energy is 46.9 kJ/mol. From the above calculations, we believe that TS-1 catalyzed BV oxidation does not follow this reaction pathway. Thus, BV oxidation of cyclohexanone catalyzed by TS-1 has a different mechanism to that catalyzed by Sn-beta.

Fig. 3. Hypothetical reaction pathway of cyclohexanone BV oxidation catalyzed by TS-1 zeolite involving the preferential activation of the carbonyl group of the cyclohexanone molecule.
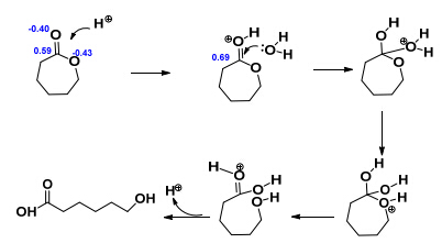
3.1.3. Reaction mechanism of the ring opening of ε-carprolactone

ε-carprolactone molecules are unstable. Their 7-membered rings can be opened to form 6-hydroxyhexanoic acids by hydrolysis in the presence of water [38]. Two possible O positions in ε-carprolactone can be attacked by protons, as shown in Fig. 4. The protons are contributed by H2O2 or Ti-OOH species [1, 2]. The energies required for a proton to attack the O atom in the carbonyl group and in the 7-membered ring are -1618.8 and -1618.7 kJ/mol, respectively. According to the minimum energy principle, proton ions prefer to attack the O atom in the carbonyl group of ε-carprolactone. Furthermore, the charge of the C atom in the carbonyl group increases to 0.69, which means that it can accept the nucleophilic attack of H2O molecules more easily. As a result, 6-hydroxyhexanoic acid molecules are produced by the pathway shown in Fig. 4 [1, 2, 38].

Fig. 4. Mechanism of ring opening reaction of ε-carprolactone catalyzed by Brönsted acid species in aqueous H2O2 solution.
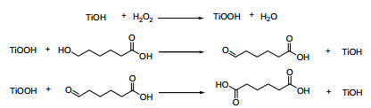
3.1.4. Catalytic reaction route of 6-hydroxyhexanoic acid

With respect to 6-hydroxyhexanoic acid molecule, there is one alcoholic hydroxyl group in its terminal position, which can be oxidized in the TS-1/H2O2/H2O system as reported in the literature [39]. Thus, it is likely that 6-hydroxyhexanoic acid is oxidized to produce adipic acid by the route illustrated in Fig. 5. As previously mentioned, H2O2 molecules can react with Ti-OH groups, forming highly oxidative Ti-OOH species. Meanwhile, 6-hydroxyhexanoic acid can be oxidized by the Ti-OOH species to produce 6-aldehyde caproic acid. Since 6-aldehyde caproic acid is very active in this condition, it is simultaneously transformed to adipic acid by oxidation with the participation of Ti-OOH species [56, 57, 58]. The detailed reaction mechanism of this reaction will be investigated in the future.

Fig. 5. Oxidation route of 6-hydroxyhexanoic acid catalyzed by TS-1 zeolite involving the activation of H2O2 molecule.
3.2. Catalytic performance of HTS-1 zeolite in the oxidation of cyclohexanone

In order to demonstrate the catalytic performance of HTS-1 zeolite in cyclohexanone oxidation and verify the proposed reaction mechanism, a series of catalytic experiments were carried out with different solvents and reaction temperatures. The details of the experimental conditions and results are listed in Table 3. As illustrated in Fig. 6, several different reactions can occur during cyclohexanone oxidation, namely BV oxidation, hydroxylation, epoxidation, hydrolysis and alcohol oxidation, leading to the formation of a number of organic products. We found that ε-carprolactone, 6-hydroxyhexanoic acid and adipic acid were the major products, which support the proposed reaction mechanisms. From the GC analysis, the overall catalytic network can be understood as the following: (1) ε-carprolactone is synthesized by the HTS-1 catalyzed BV oxidation of cyclohexanone, (2) ε-carprolactone is hydrolyzed to 6-hydroxyhexanoic acid, (3) the alcoholic hydroxyl groups in 6-hydroxyhexanoic acid are further oxidized to form adipic acid; (4) through hydroxylation and dehydrogenation, a small amount of side products can also be formed. From the application point of view, ε-carprolactone, 6-hydroxyhexanoic acid and adipic acid are very useful chemical intermediates for preparing different organic polymeric materials. The HTS-1 zeolite catalyzed cyclohexanone oxidation demonstrates the possibility of a “one-pot” reaction route to produce value added products from cyclohexanone.

Table 3
Catalytic performance of HTS-1 a zeolite in the cyclohexanone Baeyer-Villiger oxidation and comparison to that of Sn-Beta b.

Fig. 6. Reaction network of oxidation of cyclohexanone catalyzed by HTS-1 zeolite

Furthermore, we noticed that the reaction pathway catalyzed by HTS-1 zeolite was different from that of Sn-beta zeolite reported by Corma and coworkers. Sn-beta showed very high selectivity to lactone in the BV oxidation of cyclohexanone (over 98%) [22]. This is because ketone oxidation catalyzed by Sn-beta zeolite involves the activation of the carbonyl group of cyclohexanone without enhancing the nucleophilic attacking capability of H2O2 [14]. It is worth noting that a large amount of organic solvent, such as methyl t-butyl ether (MTBE) or dioxane, which can prevent the hydrolysis of ε-carprolactone [22, 38], was introduced into the Sn-beta zeolite catalyzed oxidation process. This would incur high energy consumption for separating the products from the solvent.

In entries 1-3 in Table 3, the effect of the solvent was studied. Catalytic reactions without an organic solvent and in the presence of acetone or methanol were carried out. In all three cases, the three major high value products, namely ε- carprolactone, 6-hydroxyhexanoic acid and adipic acid, were produced. These results agreed well with our proposed reaction mechanisms. The cyclohexanone conversion and total target product selectivity were sensitive to reaction temperature (Table 3, entries 4-7). High temperature was preferred for the HTS-1 catalyzed cyclohexanone oxidation reactions. The optimized reaction temperature was 90 °C, which gave a maximum cyclohexanone conversion of 60%, 90% selectivity of total production of ε-carprolactone, 6-hydroxyhexanoic acid and adipic acid molecules, and 79% H2O2 efficiency.

It is believed that at high temperature, both the BV oxidation and ring opening reaction are enhanced. Meanwhile, the reaction rate of alcoholic oxidation of 6-hydroxyhexanoic acid was less affected by temperature. As a consequence, it is expected that the production of both ε-carprolactone and 6-hydroxyhexanoic acid would be increased at higher temperature. However, due to the enhanced ring opening reaction, ε-carprolactone is converted into 6-hydroxyhexanoic acid more rapidly at higher temperature (above 80 °C), resulting in very low ε-carprolactone production, which is shown as entries 4 and 5 in Table 3. The results of the HTS-1 catalyzed cyclohexanone oxidation experiments supported our proposed mechanisms. The potential of an efficient “one-pot” industrial route of cyclohexanone oxidation for producing ε-carprolactone, 6-hydroxyhexanoic acid and adipic acid has been demonstrated. More important is that without using an organic solvent, the energy consumption for separation and purification is reduced. By using HTS-1 zeolite as the catalyst, no organic solvent is required to achieve high catalytic performance and selectivity.

4. Conclusions

DFT calculations were used to deduce the reaction mechanism of TS-1 catalyzed BV oxidation of cyclohexanone. H2O2 molecules are adsorbed and activated at a Ti active site by the interaction between the Ti species and the O atoms of H2O2. The activation of the H2O2 molecule accelerates both BV oxidation and alcoholic oxidation, with the formation of ε-carprolactone and adipic acid, respectively. The mechanism was verified by experiments using HTS-1 as the catalyst, which demonstrated that ε-carprolactone, 6-hydroxyhexanoic acid and adipic acid were the major products of this “one-pot” reaction. The experimental results showed that a high reaction temperature (90 °C) favored cyclohexanone conversion and the selectivity of the targeted products. Under the optimized conditions, the cyclohexanone conversion was 60%, and the total selectivity of target products was 90%.

References
[1] Jiménez-Sanchidrián C, Ruiz J R. Tetrahedron, 2008, 64: 2011
[2] ten Brink G J, Arends I W C E, Sheldon R A. Chem Rev, 2004, 104: 4105
[3] Krow G R. Org React , 1993, 43: 251
[4] Strukul G. Angew Chem Int Ed , 1998, 37: 1199
[5] Kotlewska A J, van Rantwijk F, Sheldon R A, Arends I W C E. Green Chem, 2011, 13: 2154
[6] Figg T M, Webb J R, Cundari T R, Gunnoe T B. J Am Chem Soc, 2012, 134: 2332
[7] Renz M, Meunier B. Eur J Org Chem, 1999: 737
[8] Bolm C, Schlingloff G, Weickhardt K. Angew Chem, 1994, 106: 1944
[9] Watanabe A, Uchida T, Ito K, Katsuki T. Tetrahedron Lett, 2002, 43: 4481
[10] Punniyamurthy T, Velusamy S, Iqbal J. Chem Rev, 2005, 105: 2329
[11] Fischer J, H?lderich W F. Appl Catal A, 1999, 180: 435
[12] von Baeyer A, Seyffert O. Ber Deut Chem Gesell, 1899, 32: 3619
[13] Pande C S, Jain N. Synth Commun, 1989, 19: 1271
[14] Renz M, Blasco T, Corma A, Fornés V, Jensen R, Nemeth L. Chem Eur J, 2002, 8: 4708
[15] Strukul G, Varagnolo A, Pinna F. J Mol Catal A , 1997, 117: 413
[16] Corma A, Navarro M T, Renz M. J Catal, 2003, 219: 242
[17] Koch S S C, Chamberlin A R. Synth Commun, 1989, 19: 829
[18] Bernini R, Coratti A, Fabrizi G, Goggiamani A. Tetrahedron Lett, 2003, 44: 8991
[19] Kaneda K, Yamashita T. Tetrahedron Lett , 1996, 37: 4555
[20] Kaneda K, Ueno S, Imanaka T. J Chem Soc, Chem Commun, 1994: 797
[21] Pillai U R, Sahle-Demessie E. J Mol Catal A, 2003, 191: 93
[22] Corma A, Nemeth L T, Renz M, Valencia S. Nature, 2001, 412: 423
[23] Lei Z Q, Zhang Q H, Luo J J, He X Y. Tetrahedron Lett, 2005, 46: 3505
[24] Ueno S, Ebitani K, Ookubo A, Kaneda K. Appl Surf Sci, 1997, 121: 366
[25] Kawabata T, Ohishi Y, Itsuki S, Fujisaki N, Shishido T, Takaki K, Zhang Q H, Wang Y, Takehira K. J Mol Catal A, 2005, 236: 99
[26] Lei Z Q, Ma G F, Jia C G. Catal Commun, 2007, 8: 305
[27] Raja R, Thomas J M, Sankar G. Chem Commun, 1999: 525
[28] Rafelt J S, Clark J H. Catal Today, 2000, 57: 33
[29] Boronat M, Concepción P, Corma A, Renz M. Catal Today, 2007, 121: 39
[30] Corma A, Renz M. Chem Commun, 2004, (5): 550
[31] Boronat M, Corma A, Renz M. J Phys Chem B, 2006, 110: 21168
[32] Wang Z B, Mizusaki T, Sano T, Kawakami Y. Bull Chem Soc Jpn , 1997, 70: 2567
[33] Xia C J, Lin M, Zhu B, Shu X T. Chin Petrol Proc & Petrochem Technol, 2012, 14: 7
[34] Xia C J, Zhu B, Lin M, Shu X T. Chin Petrol Proc & Petrochem Technol, 2012, 14: 33
[35] Peris G, Miller S J. Org Lett , 2008, 10: 3049
[36] Thangaraj A, Eapena M J, Sivasankera S, Ratnasamy P. Zeolites, 1992, 12: 943
[37] Moliner M, Román-Leshkov Y, Davis M E. Proc Natl Acad Sci, 2010, 107: 6164
[38] Cavani F, Raabova K, Bigi F, Quarantelli C. Chem Eur J, 2010, 16: 12962
[39] Bonino F, Damin A, Ricchiardi G, Ricci M, Spano G, D'Aloisio R, Zecchina A, Lamberti C, Prestipino C, Bordiga S. J Phys Chem B, 2004, 108: 3573
[40] Bordiga S, Damin A, Bonino F, Ricchiardi G, Lamberti C, Zecchina A. Angew Chem Int Edt, 2002, 41: 4734
[41] Perego G, Taramasso M, Notari B. US Patent 4410501. 1983
[42] Munakata H, Oumi Y, Miyamoto A. J Phys Chem B, 2001, 105: 3493
[43] Wang Y R, Lin M, Tuel A. Microporous Mesoporous Mater, 2007, 102: 80
[44] Zheng A G, Xia C J, Xiang Y J, Xin M D, Zhu B, Lin M, Xu G T, Shu X T. Catal Commun, 2014, 45: 34
[45] Wang Y R, Tuel A. Microporous Mesoporous Mater, 2008, 113: 286
[46] Peregot G, Bellussi G, Corno C, Taramasso M, Buonomo F, Esposito A. Stud Surf Sci Catal, 1986, 28: 129
[47] Corma A, Domine M E, Nemeth L, Valencia S. J Am Chem Soc, 2002, 124: 3194
[48] Roy S, Bakhmutsky K, Mahmoud E, Lobo R F, Gorte R J. ACS Catal, 2013, 3: 573
[49] Spanó E, Tabacchi G, Gamba A, Fois E. J Phys Chem B, 2006, 110: 21651
[50] Bordiga S, Bonino F, Damin A, Lamberti C. Phys Chem Chem Phys, 2007, 9: 4854
[51] Guo Q, Sun K J, Feng Z C, Li G N, Guo M L, Fan F T, Li C. Chem Eur J, 2012, 18: 13854
[52] Bhaumik A, Kumar P, Kumar R. Catal Lett, 1996, 40: 47
[53] Kumar R, Bhaumik A. Microporous Mesoporous Mater, 1998, 21: 497
[54] Kim M S, Seo K S, Khang G, Lee H B. Macromol Rapid Commun, 2005, 26: 643
[55] Dutta A, Pramanik M, Patra A K, Nandi M, Uyama H , Bhaumik A. Chem Commun, 2012, 48: 6738
[56] Thomas S M, DiCosimo R, Nagarajan V. Trends Biotechnol, 2002, 20: 238
[57] Usui Y, Sato K. Green Chem, 2003, 5: 373
[58] Labet M, Thielemans W. Chem Soc Rev, 2009, 38: 3484
Heterogeneous oxidation of cyclohexanone catalyzed by TS-1: Combined experimental and DFT studies
Changjiu Xiaa,b, Long Jub, Yi Zhaob, Hongyi Xua, Bin Zhub, Feifei Gaoa, Min Linb, Zhenyu Daib, Xiaodong Zoua, Xingtian Shub     
a Department of Materials and Environmental Chemistry, Stockholm University, SE-106 91 Stockholm, Sweden; b State Key Laboratory of Catalytic Materials and Reaction Engineering, Research Institute of Petroleum Processing, SINOPEC, Beijing100083, China
摘要:The reaction mechanism of the oxidation of cyclohexanone catalyzed by titanium silicate zeolite TS-1 using aqueous H2O2 as the oxidant was investigated by combining density function theory (DFT) calculations with experimental studies. DFT calculations showed that H2O2 was adsorbed and activated at the tetrahedral Ti sites. By taking into account the adsorption energy, molecular size, steric hindrance and structural information, a reaction mechanism of Baeyer-Villiger oxidation catalyzed by TS-1 that involves the activation of H2O2 was proposed. Experimental studies showed that the major products of cyclohexanone oxidation by H2O2 catalyzed by a hollow TS-1 zeolite were ε-carprolactone, 6-hydroxyhexanoic acid, and adipic acid. These products were analyzed by GC-MS and were in good agreement with the proposed mechanism. Our studies showed that the reaction mechanism on TS-1 zeolite was different from that on Sn-beta zeolite.
关键词Titanium silicate     Zeolite     Cyclohexanone     Baeyer-Villiger oxidation     Hydrogen peroxide     Lewis acid catalysis    

l Structural, physicochemical and surface properties of HTS-1 zeolite

The structural information, physicochemical and surface properties of TS-1 and HTS-1 were investigated by various techniques. X-ray fluorescence analysis (XRF) was made on a Rigaku 3271E X-ray fluorescence spectrometer with semi-quantitative analysis system. X-ray powder diffraction (XPRD) patterns were collected on a Bruker (Siemens) D5005 diffractometer using nickel filtered Cu Kα radiation (l = 0.15418 nm) under ambient conditions in the 2θ range of 5°-35° with a step size of 0.02° and exposure time of 1 s per step. N2 adsorption-desorption isotherms were collected at -196 °C using a Micromeretics ASAP 2010 apparatus. Before the measurement, about 50 mg of the sample was dehydrated under vacuum (10−3 Torr) at 300 °C overnight. The specific surface areas were determined from the linear part of the BET equation. TEM was carried out on a FEI G2 F20S-TWIN electron microscope.

Fourier transform infrared spectra (FT-IR) were recorded on a Nicolet 8210 infrared spectrometer in the range from 400 to 4000 cm-1. 29Si solid-state Nuclear Magnetic Resonance (NMR) experiments were performed with magic angle spinning (MAS) on an Inanity Plus-400 spectrometer. Samples were spun at 10 kHz in 4 mm zirconium rotors. A classical cross-polarization sequence was used with 2 ms contact time and a recycle delay of 10 s. The diffuse reflectance ultraviolet-visible (DR UV-Vis) spectrum was obtained on a Perkin-Elmer Lambda 20 UV-visible spectrometer in the range of 200-800 cm-1. X-ray photoemission spectroscopy (XPS) was carried out on a PHI model 590 spectrometer with Al radiation source.

The results of XRF analysis of both TS-1 and HTS-1 are summarized in Table S1. Both samples consist of SiO2 and TiO2, with similar SiO2/TiO2 ratios, demonstrating that the dissolution-recrystallization process of TS-1 has no significant effects on its composition. Fig. S1 shows XRPD patterns of TS-1 and HTS-1, which correspond to that of a typical MFI-type zeolite [1]. The relative crystallinity of both TS-1 and HTS-1 is high (Table S1), as calculated using the method described in Ref. [2].

Fig. S1. XRPD patterns of TS-1 and HTS-1 samples.

Table S1
XRF results, textural properties and crystallinity of TS-1 and HTS-1 samples.

TEM shows the presence of large amount of mesopores in the HTS-1 sample compared to the TS-1 sample (Fig. S2). This indicates that the post-treatment of TS-1 has an impact on the mesoporpous structure. Fig. S3 shows the N2 adsorption-desorption isotherm of HTS-1. It is observed that the isotherm at p/p0 = 0.4-1.0 exhibits hysteresis and is of the Type IV isotherm caused by mesopores [3]. The BET surface areas and pore volumes of TS-1 and HTS-1 are summarized in Table S1. Although the BET surface area of HTS-1 and the micropore volume are slightly smaller than those of TS-1, the mesopore volume of HTS-1 is significantly larger than that of TS-1.

Fig. S2. TEM images of TS-1 and HTS-1. (a) TS-1; (b) HTS-1.

Fig. S3. N2 adsorption/desorption isotherm of HTS-1.

The framework tetrahedral Ti (IV) species of TS-1 are considered as the active sites for catalytic oxidation of organic compounds [4]. In order to investigate the structural environment of Ti species in HTS-1, FT-IR, 29Si MAS NMR, XPS and DR UV-Vis spectroscopy were conducted, as shown in Figs. S4-S7.

Fig. S4. FT-IR spectra of TS-1 and HTS-1.

29Si MAS NMR of HTS-1 shows only one main peak at -114.1 ppm corresponding to Q4 (Fig. S5) [5]. This indicates that there is very little Si-OH group in the sample.

Fig. S5.29Si MAS NMR spectrum of HTS-1.

XPS provides information about the chemical composition and chemical state of titanium in the surface region (Fig. S6) [6, 7]. The Ti/Si atomic ratio estimated by XPS is 0.25/24.74 (or 1.00/98.68), which is evidently much lower than that (7.61/92.39) obtained by XRF analysis. This indicates that Ti is preferably distributed within the bulk than on the surface of the HTS-1 sample. The two peaks at 460.1 and 458.5 eV (Fig. S6(b)) correspond to framework tetrahedral Ti(IV) and extra-framework octahedral Ti(IV), respectively [8]. The DR UV-vis spectrum of HTS-1 exhibits two bands at 210 and 350 nm (Fig. S7), which can be assigned to oxygen-tetrahedral Ti(IV) and oxygen-octahedral Ti(IV), respectively [9]. This also agrees to the results obtained by XPS.

Fig. S6.The XPS spectra of HTS-1. (a) the survey XPS spectrum; (b) the Ti2p XPS spectrum.

Fig. S7.UV-Vis spectrum of HTS-1.

l The relevant orbital iso-surfaces

The orbital iso-surfaces of H2O2, Ti(OSiH3)OH and cyclohexanone molecules are shown in Fig. S8. There is no HOMO in the tetrahedral Ti active site, which means the Ti species can only coordinate with electron-rich functional groups by the acceptor-donator interaction between the LUMO of TS-1 and the HOMO of O atoms in the H2O2 and cyclohexanone molecules.

Fig. S8.Orbital iso-surfaces of H2O2, Ti(OSiH3)OH and cyclohexanone molecules.
References
[1] Thangaraj A, Eapena M J, Sivasankera S, Ratnasamy P. Zeolites, 1992, 12: 943
[2] ASTM D5758-01(2007) e-1 Standard Test Method for Determination of Relative Crystallinity of Zeolite ZSM-5 by X-Ray Diffraction, http://www.astm.org/Standards/D5758.htm.
[3] Somorjai G A, Li Y. Introduction to Surface Chemistry and Catalysis, New York: Wiley, 2010. 54
[4] Tozzola G, Mantegazza M A, Ranghino G, Petrini G, Bordiga S, Ricchiardi G, Lamberti C, Zulian R, Zecchina A. J Catal, 1998, 179: 64
[5] Thangaraj A, Sivasanker S. J Chem Soc, Chem Commun, 1992: 123
[6] Stöcker M. Microporous Mater, 1996, 6: 235
[7] Langerame F, Salvi A M, Silletti M, Moretti G. Surf Interf Anal, 2008, 40: 695
[8] Moretti G, Salvi A M, Guascito M R, Langerame F. Surf Interf Anal, 2004, 36: 1402
[9] Borin M F, da Silva T, Felisbino R F, Cardoso D. J Phys Chem B, 2006, 110: 15080